教育扩张与生育:来自挪威大学改革的证据。

IF 2.6 2区 社会学 Q2 DEMOGRAPHY
Adrian Farner Rogne, Agnes Fauske, Rannveig Kaldager Hart
{"title":"教育扩张与生育:来自挪威大学改革的证据。","authors":"Adrian Farner Rogne, Agnes Fauske, Rannveig Kaldager Hart","doi":"10.1007/s10680-025-09737-7","DOIUrl":null,"url":null,"abstract":"<p><p>Previous research has pointed to educational expansions and increased educational attainment among women as an important factor contributing to reductions in fertility levels and changes in family formation patterns in the second half of the twentieth century. We investigate one potential mechanism that may have contributed to these developments-the establishment of local colleges providing access to higher education for broader segments of the population. We study the establishment of regional colleges in Norway 1973-83. Taking advantage of population-wide administrative register data, historical data sources and recent developments in difference-in-differences methodology, we employ an event study design to assess the impact of local colleges on cohort fertility and age-specific fertility outcomes, as well as age at marriage and regional mobility as potential mechanisms. Our findings suggest that access to local colleges did not impact fertility, family formation or mobility to any substantial degree.</p>","PeriodicalId":51496,"journal":{"name":"European Journal of Population-Revue Europeenne De Demographie","volume":"41 1","pages":"14"},"PeriodicalIF":2.6000,"publicationDate":"2025-06-02","publicationTypes":"Journal Article","fieldsOfStudy":null,"isOpenAccess":false,"openAccessPdf":"https://www.ncbi.nlm.nih.gov/pmc/articles/PMC12130375/pdf/","citationCount":"0","resultStr":"{\"title\":\"Educational Expansions and Fertility: Evidence from Norwegian College Reforms.\",\"authors\":\"Adrian Farner Rogne, Agnes Fauske, Rannveig Kaldager Hart\",\"doi\":\"10.1007/s10680-025-09737-7\",\"DOIUrl\":null,\"url\":null,\"abstract\":\"<p><p>Previous research has pointed to educational expansions and increased educational attainment among women as an important factor contributing to reductions in fertility levels and changes in family formation patterns in the second half of the twentieth century. We investigate one potential mechanism that may have contributed to these developments-the establishment of local colleges providing access to higher education for broader segments of the population. We study the establishment of regional colleges in Norway 1973-83. Taking advantage of population-wide administrative register data, historical data sources and recent developments in difference-in-differences methodology, we employ an event study design to assess the impact of local colleges on cohort fertility and age-specific fertility outcomes, as well as age at marriage and regional mobility as potential mechanisms. Our findings suggest that access to local colleges did not impact fertility, family formation or mobility to any substantial degree.</p>\",\"PeriodicalId\":51496,\"journal\":{\"name\":\"European Journal of Population-Revue Europeenne De Demographie\",\"volume\":\"41 1\",\"pages\":\"14\"},\"PeriodicalIF\":2.6000,\"publicationDate\":\"2025-06-02\",\"publicationTypes\":\"Journal Article\",\"fieldsOfStudy\":null,\"isOpenAccess\":false,\"openAccessPdf\":\"https://www.ncbi.nlm.nih.gov/pmc/articles/PMC12130375/pdf/\",\"citationCount\":\"0\",\"resultStr\":null,\"platform\":\"Semanticscholar\",\"paperid\":null,\"PeriodicalName\":\"European Journal of Population-Revue Europeenne De Demographie\",\"FirstCategoryId\":\"90\",\"ListUrlMain\":\"https://doi.org/10.1007/s10680-025-09737-7\",\"RegionNum\":2,\"RegionCategory\":\"社会学\",\"ArticlePicture\":[],\"TitleCN\":null,\"AbstractTextCN\":null,\"PMCID\":null,\"EPubDate\":\"\",\"PubModel\":\"\",\"JCR\":\"Q2\",\"JCRName\":\"DEMOGRAPHY\",\"Score\":null,\"Total\":0}","platform":"Semanticscholar","paperid":null,"PeriodicalName":"European Journal of Population-Revue Europeenne De Demographie","FirstCategoryId":"90","ListUrlMain":"https://doi.org/10.1007/s10680-025-09737-7","RegionNum":2,"RegionCategory":"社会学","ArticlePicture":[],"TitleCN":null,"AbstractTextCN":null,"PMCID":null,"EPubDate":"","PubModel":"","JCR":"Q2","JCRName":"DEMOGRAPHY","Score":null,"Total":0}
引用次数: 0

摘要

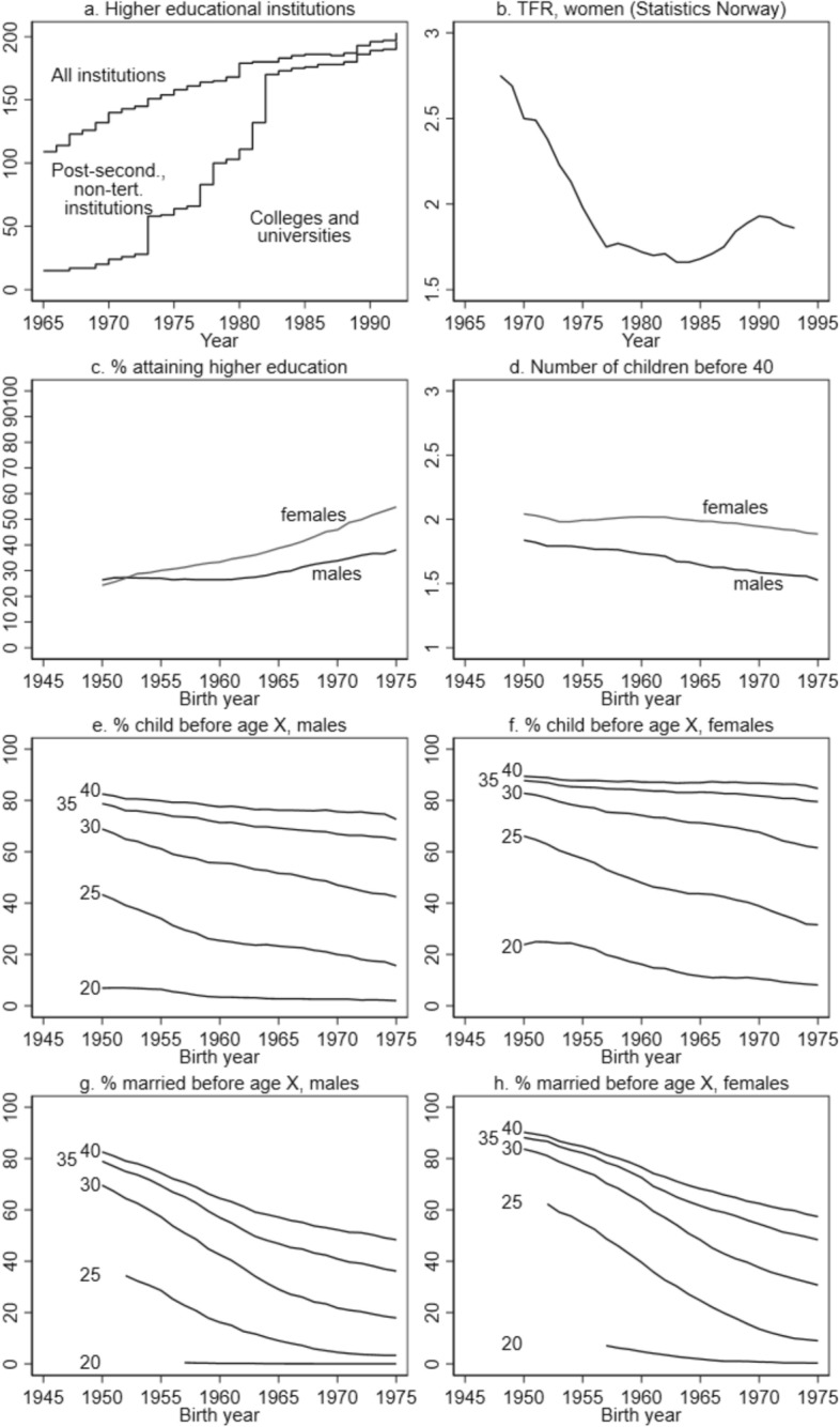
以前的研究指出,教育的扩大和妇女受教育程度的提高是20世纪下半叶生育率下降和家庭形成模式改变的一个重要因素。我们调查了一种可能促成这些发展的潜在机制——地方大学的建立为更广泛的人口提供了接受高等教育的机会。我们研究了1973-83年挪威地区学院的建立。利用人口范围内的行政登记数据、历史数据来源和差异中差异方法的最新发展,我们采用事件研究设计来评估地方大学对队列生育率和特定年龄生育率结果的影响,以及结婚年龄和区域流动性作为潜在机制的影响。我们的研究结果表明,进入当地大学并没有在很大程度上影响生育率、家庭组成或流动性。
本文章由计算机程序翻译,如有差异,请以英文原文为准。

Educational Expansions and Fertility: Evidence from Norwegian College Reforms.

Educational Expansions and Fertility: Evidence from Norwegian College Reforms.

Educational Expansions and Fertility: Evidence from Norwegian College Reforms.

Educational Expansions and Fertility: Evidence from Norwegian College Reforms.

Previous research has pointed to educational expansions and increased educational attainment among women as an important factor contributing to reductions in fertility levels and changes in family formation patterns in the second half of the twentieth century. We investigate one potential mechanism that may have contributed to these developments-the establishment of local colleges providing access to higher education for broader segments of the population. We study the establishment of regional colleges in Norway 1973-83. Taking advantage of population-wide administrative register data, historical data sources and recent developments in difference-in-differences methodology, we employ an event study design to assess the impact of local colleges on cohort fertility and age-specific fertility outcomes, as well as age at marriage and regional mobility as potential mechanisms. Our findings suggest that access to local colleges did not impact fertility, family formation or mobility to any substantial degree.

求助全文
通过发布文献求助,成功后即可免费获取论文全文。 去求助
来源期刊
CiteScore
4.20
自引率
8.00%
发文量
44
期刊介绍: European Journal of Population addresses a broad public of researchers, policy makers and others concerned with population processes and their consequences. Its aim is to improve understanding of population phenomena by giving priority to work that contributes to the development of theory and method, and that spans the boundaries between demography and such disciplines as sociology, anthropology, economics, geography, history, political science, epidemiology and other sciences contributing to public health. The Journal is open to authors from all over the world, and its articles cover European and non-European countries (specifically including developing countries) alike.
×
引用
GB/T 7714-2015
复制
MLA
复制
APA
复制
导出至
BibTeX EndNote RefMan NoteFirst NoteExpress
×
提示
您的信息不完整,为了账户安全,请先补充。
现在去补充
×
提示
您因"违规操作"
具体请查看互助需知
我知道了
×
提示
确定
请完成安全验证×
copy
已复制链接
快去分享给好友吧!
我知道了
右上角分享
点击右上角分享
0
联系我们:info@booksci.cn Book学术提供免费学术资源搜索服务,方便国内外学者检索中英文文献。致力于提供最便捷和优质的服务体验。 Copyright © 2023 布克学术 All rights reserved.
京ICP备2023020795号-1
ghs 京公网安备 11010802042870号
Book学术文献互助
Book学术文献互助群
群 号:604180095
Book学术官方微信