寻常型银屑病患者鼻粘膜纤毛活性的评价。

IF 2.3 4区 医学 Q2 DERMATOLOGY
Mehmet Akif Dündar, Selami Aykut Temiz, İsmail Hakkı Tunçez, Elif Emre, Sadettin Emre, Recep Dursun
{"title":"寻常型银屑病患者鼻粘膜纤毛活性的评价。","authors":"Mehmet Akif Dündar, Selami Aykut Temiz, İsmail Hakkı Tunçez, Elif Emre, Sadettin Emre, Recep Dursun","doi":"10.5826/dpc.1502a5014","DOIUrl":null,"url":null,"abstract":"<p><strong>Introduction: </strong>Psoriasis, a chronic inflammatory dermatological condition, is marked by recurring periods of activity and quiescence. This persistent inflammation contributes to a range of associated health issues. The respiratory system relies on nasal mucociliary clearance as a fundamental defense mechanism. Mucociliary transport dysfunction is frequently observed in chronic inflammatory states.</p><p><strong>Objective: </strong>We aimed to determine the relationship between psoriasis and concomitant clinical conditions and nasal mucociliary clearance time (NMCT).</p><p><strong>Method: </strong>We conducted a study to evaluate NMCTin 34 individuals diagnosed with psoriasis and a control group of 35 healthy individuals.</p><p><strong>Results: </strong>Our results revealed a statistically significant prolongation of NMCT in the psoriasis group (11.26 ± 2 minutes) compared to the control group (9.2 ± 1.85 minutes, P<0.001). Moreover, a positive correlation was identified between NMCT and both the duration of psoriasis and the Psoriasis Area and Severity Index (PASI). This suggests that impaired nasal mucociliary clearance in individuals with psoriasis, especially those with more severe disease, may elevate their vulnerability to infections of the sinuses and nasal passages.</p><p><strong>Conclusion: </strong>This highlights the need to consider strategies for enhancing mucociliary function in this patient population.</p>","PeriodicalId":11168,"journal":{"name":"Dermatology practical & conceptual","volume":"15 2","pages":""},"PeriodicalIF":2.3000,"publicationDate":"2025-04-01","publicationTypes":"Journal Article","fieldsOfStudy":null,"isOpenAccess":false,"openAccessPdf":"https://www.ncbi.nlm.nih.gov/pmc/articles/PMC12090939/pdf/","citationCount":"0","resultStr":"{\"title\":\"Evaluation of Nasal Mucociliary Activity in Patients with Psoriasis Vulgaris.\",\"authors\":\"Mehmet Akif Dündar, Selami Aykut Temiz, İsmail Hakkı Tunçez, Elif Emre, Sadettin Emre, Recep Dursun\",\"doi\":\"10.5826/dpc.1502a5014\",\"DOIUrl\":null,\"url\":null,\"abstract\":\"<p><strong>Introduction: </strong>Psoriasis, a chronic inflammatory dermatological condition, is marked by recurring periods of activity and quiescence. This persistent inflammation contributes to a range of associated health issues. The respiratory system relies on nasal mucociliary clearance as a fundamental defense mechanism. Mucociliary transport dysfunction is frequently observed in chronic inflammatory states.</p><p><strong>Objective: </strong>We aimed to determine the relationship between psoriasis and concomitant clinical conditions and nasal mucociliary clearance time (NMCT).</p><p><strong>Method: </strong>We conducted a study to evaluate NMCTin 34 individuals diagnosed with psoriasis and a control group of 35 healthy individuals.</p><p><strong>Results: </strong>Our results revealed a statistically significant prolongation of NMCT in the psoriasis group (11.26 ± 2 minutes) compared to the control group (9.2 ± 1.85 minutes, P<0.001). Moreover, a positive correlation was identified between NMCT and both the duration of psoriasis and the Psoriasis Area and Severity Index (PASI). This suggests that impaired nasal mucociliary clearance in individuals with psoriasis, especially those with more severe disease, may elevate their vulnerability to infections of the sinuses and nasal passages.</p><p><strong>Conclusion: </strong>This highlights the need to consider strategies for enhancing mucociliary function in this patient population.</p>\",\"PeriodicalId\":11168,\"journal\":{\"name\":\"Dermatology practical & conceptual\",\"volume\":\"15 2\",\"pages\":\"\"},\"PeriodicalIF\":2.3000,\"publicationDate\":\"2025-04-01\",\"publicationTypes\":\"Journal Article\",\"fieldsOfStudy\":null,\"isOpenAccess\":false,\"openAccessPdf\":\"https://www.ncbi.nlm.nih.gov/pmc/articles/PMC12090939/pdf/\",\"citationCount\":\"0\",\"resultStr\":null,\"platform\":\"Semanticscholar\",\"paperid\":null,\"PeriodicalName\":\"Dermatology practical & conceptual\",\"FirstCategoryId\":\"3\",\"ListUrlMain\":\"https://doi.org/10.5826/dpc.1502a5014\",\"RegionNum\":4,\"RegionCategory\":\"医学\",\"ArticlePicture\":[],\"TitleCN\":null,\"AbstractTextCN\":null,\"PMCID\":null,\"EPubDate\":\"\",\"PubModel\":\"\",\"JCR\":\"Q2\",\"JCRName\":\"DERMATOLOGY\",\"Score\":null,\"Total\":0}","platform":"Semanticscholar","paperid":null,"PeriodicalName":"Dermatology practical & conceptual","FirstCategoryId":"3","ListUrlMain":"https://doi.org/10.5826/dpc.1502a5014","RegionNum":4,"RegionCategory":"医学","ArticlePicture":[],"TitleCN":null,"AbstractTextCN":null,"PMCID":null,"EPubDate":"","PubModel":"","JCR":"Q2","JCRName":"DERMATOLOGY","Score":null,"Total":0}
引用次数: 0

摘要

简介:银屑病是一种慢性炎症性皮肤病,其特点是反复发作。这种持续的炎症会导致一系列相关的健康问题。呼吸系统依赖于鼻粘膜纤毛清除作为一种基本的防御机制。纤毛黏液运输功能障碍常见于慢性炎症状态。目的:探讨银屑病与伴随临床状况及鼻黏膜纤毛清除时间(NMCT)的关系。方法:我们进行了一项研究,评估NMCTin 34名诊断为牛皮癣的个体和35名健康个体的对照组。结果:我们的研究结果显示,与对照组(9.2±1.85分钟)相比,银屑病组的NMCT延长(11.26±2分钟)具有统计学意义(p)。结论:这突出了需要考虑增强该患者群体粘液纤毛功能的策略。
本文章由计算机程序翻译,如有差异,请以英文原文为准。

Evaluation of Nasal Mucociliary Activity in Patients with Psoriasis Vulgaris.

Evaluation of Nasal Mucociliary Activity in Patients with Psoriasis Vulgaris.

Evaluation of Nasal Mucociliary Activity in Patients with Psoriasis Vulgaris.

Introduction: Psoriasis, a chronic inflammatory dermatological condition, is marked by recurring periods of activity and quiescence. This persistent inflammation contributes to a range of associated health issues. The respiratory system relies on nasal mucociliary clearance as a fundamental defense mechanism. Mucociliary transport dysfunction is frequently observed in chronic inflammatory states.

Objective: We aimed to determine the relationship between psoriasis and concomitant clinical conditions and nasal mucociliary clearance time (NMCT).

Method: We conducted a study to evaluate NMCTin 34 individuals diagnosed with psoriasis and a control group of 35 healthy individuals.

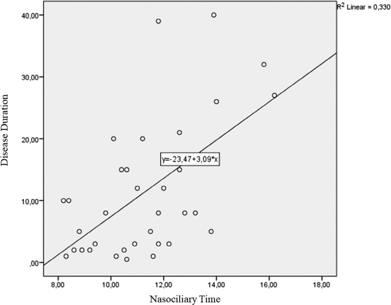
Results: Our results revealed a statistically significant prolongation of NMCT in the psoriasis group (11.26 ± 2 minutes) compared to the control group (9.2 ± 1.85 minutes, P<0.001). Moreover, a positive correlation was identified between NMCT and both the duration of psoriasis and the Psoriasis Area and Severity Index (PASI). This suggests that impaired nasal mucociliary clearance in individuals with psoriasis, especially those with more severe disease, may elevate their vulnerability to infections of the sinuses and nasal passages.

Conclusion: This highlights the need to consider strategies for enhancing mucociliary function in this patient population.

求助全文
通过发布文献求助,成功后即可免费获取论文全文。 去求助
来源期刊
CiteScore
1.40
自引率
0.00%
发文量
217
×
引用
GB/T 7714-2015
复制
MLA
复制
APA
复制
导出至
BibTeX EndNote RefMan NoteFirst NoteExpress
×
提示
您的信息不完整,为了账户安全,请先补充。
现在去补充
×
提示
您因"违规操作"
具体请查看互助需知
我知道了
×
提示
确定
请完成安全验证×
copy
已复制链接
快去分享给好友吧!
我知道了
右上角分享
点击右上角分享
0
联系我们:info@booksci.cn Book学术提供免费学术资源搜索服务,方便国内外学者检索中英文文献。致力于提供最便捷和优质的服务体验。 Copyright © 2023 布克学术 All rights reserved.
京ICP备2023020795号-1
ghs 京公网安备 11010802042870号
Book学术文献互助
Book学术文献互助群
群 号:604180095
Book学术官方微信