Sprague Dawley大鼠在跑步机上的有氧能力评估:不同方案的比较。

IF 1.9 4区 医学 Q2 BIOLOGY
C Dellavechia-De-Carvalho, M A Rebelo, C De-Moraes, M Papoti
{"title":"Sprague Dawley大鼠在跑步机上的有氧能力评估:不同方案的比较。","authors":"C Dellavechia-De-Carvalho, M A Rebelo, C De-Moraes, M Papoti","doi":"10.1590/1414-431X2025e13517","DOIUrl":null,"url":null,"abstract":"<p><p>The objective of the present study was to compare and test the applicability of different protocols for accessing aerobic capacity in Sprague Dawley rats using treadmill running. Fifteen 70-day-old adult Sprague Dawley rats (270-290 g) were used. After 5 days of adaptation to the treadmill, the animals underwent 7 days of evaluations with a 48-h interval between each protocol. On the first two days, they underwent, in random order, a graded exercise test, with (GXT2) or without (GXT1) blood sample collections to determine blood lactate concentrations and the anaerobic threshold. In the subsequent 4 days, they underwent continuous 30-min efforts to determine the maximal lactate steady state (MLSS) with the intensity prescribed in percentages of the maximum speed (MaxS) obtained in GXT1, and on the last day they underwent the minimum lactate (ML) protocol. The MaxS obtained in GXT2 was higher than in GXT1, and there was a moderate correlation (r=0.614, P=0.011) between them. In many cases, lactate and glucose blood concentrations did not show the expected kinetics, making aerobic capacity determination impossible using these protocols. MLSS showed a higher success rate compared to other protocols (MLSS=80%; GXT2=47%; ML=60%). In conclusion, with the MLSS protocol, it is only possible to measure time to exhaustion at each intensity, which does not exactly reflect aerobic capacity, and the use of blood lactate and glucose concentrations to evaluate the aerobic capacity of rats in incremental and ML treadmill running protocols is still discouraged.</p>","PeriodicalId":9088,"journal":{"name":"Brazilian Journal of Medical and Biological Research","volume":"58 ","pages":"e13517"},"PeriodicalIF":1.9000,"publicationDate":"2025-04-14","publicationTypes":"Journal Article","fieldsOfStudy":null,"isOpenAccess":false,"openAccessPdf":"https://www.ncbi.nlm.nih.gov/pmc/articles/PMC11996167/pdf/","citationCount":"0","resultStr":"{\"title\":\"Aerobic capacity evaluation of Sprague Dawley rats in treadmill running: comparison between protocols.\",\"authors\":\"C Dellavechia-De-Carvalho, M A Rebelo, C De-Moraes, M Papoti\",\"doi\":\"10.1590/1414-431X2025e13517\",\"DOIUrl\":null,\"url\":null,\"abstract\":\"<p><p>The objective of the present study was to compare and test the applicability of different protocols for accessing aerobic capacity in Sprague Dawley rats using treadmill running. Fifteen 70-day-old adult Sprague Dawley rats (270-290 g) were used. After 5 days of adaptation to the treadmill, the animals underwent 7 days of evaluations with a 48-h interval between each protocol. On the first two days, they underwent, in random order, a graded exercise test, with (GXT2) or without (GXT1) blood sample collections to determine blood lactate concentrations and the anaerobic threshold. In the subsequent 4 days, they underwent continuous 30-min efforts to determine the maximal lactate steady state (MLSS) with the intensity prescribed in percentages of the maximum speed (MaxS) obtained in GXT1, and on the last day they underwent the minimum lactate (ML) protocol. The MaxS obtained in GXT2 was higher than in GXT1, and there was a moderate correlation (r=0.614, P=0.011) between them. In many cases, lactate and glucose blood concentrations did not show the expected kinetics, making aerobic capacity determination impossible using these protocols. MLSS showed a higher success rate compared to other protocols (MLSS=80%; GXT2=47%; ML=60%). In conclusion, with the MLSS protocol, it is only possible to measure time to exhaustion at each intensity, which does not exactly reflect aerobic capacity, and the use of blood lactate and glucose concentrations to evaluate the aerobic capacity of rats in incremental and ML treadmill running protocols is still discouraged.</p>\",\"PeriodicalId\":9088,\"journal\":{\"name\":\"Brazilian Journal of Medical and Biological Research\",\"volume\":\"58 \",\"pages\":\"e13517\"},\"PeriodicalIF\":1.9000,\"publicationDate\":\"2025-04-14\",\"publicationTypes\":\"Journal Article\",\"fieldsOfStudy\":null,\"isOpenAccess\":false,\"openAccessPdf\":\"https://www.ncbi.nlm.nih.gov/pmc/articles/PMC11996167/pdf/\",\"citationCount\":\"0\",\"resultStr\":null,\"platform\":\"Semanticscholar\",\"paperid\":null,\"PeriodicalName\":\"Brazilian Journal of Medical and Biological Research\",\"FirstCategoryId\":\"3\",\"ListUrlMain\":\"https://doi.org/10.1590/1414-431X2025e13517\",\"RegionNum\":4,\"RegionCategory\":\"医学\",\"ArticlePicture\":[],\"TitleCN\":null,\"AbstractTextCN\":null,\"PMCID\":null,\"EPubDate\":\"2025/1/1 0:00:00\",\"PubModel\":\"eCollection\",\"JCR\":\"Q2\",\"JCRName\":\"BIOLOGY\",\"Score\":null,\"Total\":0}","platform":"Semanticscholar","paperid":null,"PeriodicalName":"Brazilian Journal of Medical and Biological Research","FirstCategoryId":"3","ListUrlMain":"https://doi.org/10.1590/1414-431X2025e13517","RegionNum":4,"RegionCategory":"医学","ArticlePicture":[],"TitleCN":null,"AbstractTextCN":null,"PMCID":null,"EPubDate":"2025/1/1 0:00:00","PubModel":"eCollection","JCR":"Q2","JCRName":"BIOLOGY","Score":null,"Total":0}
引用次数: 0

摘要

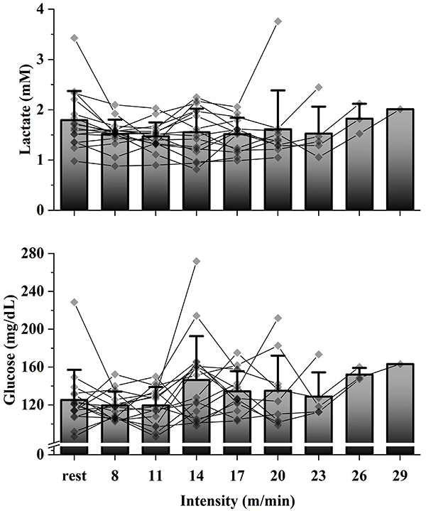
本研究的目的是比较和测试Sprague Dawley大鼠使用跑步机跑步获得有氧能力的不同方案的适用性。选用70日龄成年大鼠15只(270 ~ 290 g)。在适应跑步机5天后,动物进行了7天的评估,每个方案之间间隔48小时。在前两天,他们随机进行分级运动测试,采集(GXT2)或不采集(GXT1)血液样本,以测定血乳酸浓度和厌氧阈值。在接下来的4天里,它们连续30分钟测定最大乳酸稳态(MLSS),强度以GXT1获得的最大速度(MaxS)的百分比规定,最后一天进行最低乳酸(ML)方案。GXT2组的MaxS高于GXT1组,两者呈中等相关性(r=0.614, P=0.011)。在许多情况下,乳酸和葡萄糖血浓度没有显示出预期的动力学,使得使用这些方案无法确定有氧能力。与其他协议相比,MLSS的成功率更高(MLSS=80%;GXT2 = 47%;毫升= 60%)。总之,在MLSS方案中,只能测量每个强度下的疲劳时间,这并不能准确反映有氧能力,并且仍然不鼓励使用血乳酸和葡萄糖浓度来评估大鼠在增量和ML跑步机方案中的有氧能力。
本文章由计算机程序翻译,如有差异,请以英文原文为准。

Aerobic capacity evaluation of Sprague Dawley rats in treadmill running: comparison between protocols.

Aerobic capacity evaluation of Sprague Dawley rats in treadmill running: comparison between protocols.

Aerobic capacity evaluation of Sprague Dawley rats in treadmill running: comparison between protocols.

Aerobic capacity evaluation of Sprague Dawley rats in treadmill running: comparison between protocols.

The objective of the present study was to compare and test the applicability of different protocols for accessing aerobic capacity in Sprague Dawley rats using treadmill running. Fifteen 70-day-old adult Sprague Dawley rats (270-290 g) were used. After 5 days of adaptation to the treadmill, the animals underwent 7 days of evaluations with a 48-h interval between each protocol. On the first two days, they underwent, in random order, a graded exercise test, with (GXT2) or without (GXT1) blood sample collections to determine blood lactate concentrations and the anaerobic threshold. In the subsequent 4 days, they underwent continuous 30-min efforts to determine the maximal lactate steady state (MLSS) with the intensity prescribed in percentages of the maximum speed (MaxS) obtained in GXT1, and on the last day they underwent the minimum lactate (ML) protocol. The MaxS obtained in GXT2 was higher than in GXT1, and there was a moderate correlation (r=0.614, P=0.011) between them. In many cases, lactate and glucose blood concentrations did not show the expected kinetics, making aerobic capacity determination impossible using these protocols. MLSS showed a higher success rate compared to other protocols (MLSS=80%; GXT2=47%; ML=60%). In conclusion, with the MLSS protocol, it is only possible to measure time to exhaustion at each intensity, which does not exactly reflect aerobic capacity, and the use of blood lactate and glucose concentrations to evaluate the aerobic capacity of rats in incremental and ML treadmill running protocols is still discouraged.

求助全文
通过发布文献求助,成功后即可免费获取论文全文。 去求助
来源期刊
CiteScore
4.00
自引率
0.00%
发文量
129
审稿时长
2 months
期刊介绍: The Brazilian Journal of Medical and Biological Research, founded by Michel Jamra, is edited and published monthly by the Associação Brasileira de Divulgação Científica (ABDC), a federation of Brazilian scientific societies: - Sociedade Brasileira de Biofísica (SBBf) - Sociedade Brasileira de Farmacologia e Terapêutica Experimental (SBFTE) - Sociedade Brasileira de Fisiologia (SBFis) - Sociedade Brasileira de Imunologia (SBI) - Sociedade Brasileira de Investigação Clínica (SBIC) - Sociedade Brasileira de Neurociências e Comportamento (SBNeC).
×
引用
GB/T 7714-2015
复制
MLA
复制
APA
复制
导出至
BibTeX EndNote RefMan NoteFirst NoteExpress
×
提示
您的信息不完整,为了账户安全,请先补充。
现在去补充
×
提示
您因"违规操作"
具体请查看互助需知
我知道了
×
提示
确定
请完成安全验证×
copy
已复制链接
快去分享给好友吧!
我知道了
右上角分享
点击右上角分享
0
联系我们:info@booksci.cn Book学术提供免费学术资源搜索服务,方便国内外学者检索中英文文献。致力于提供最便捷和优质的服务体验。 Copyright © 2023 布克学术 All rights reserved.
京ICP备2023020795号-1
ghs 京公网安备 11010802042870号
Book学术文献互助
Book学术文献互助群
群 号:604180095
Book学术官方微信