通过综合生物信息学分析鉴定子宫内膜癌转移的关键途径和分子参与者。

IF 2.2 4区 工程技术 Q3 PHARMACOLOGY & PHARMACY
Bioimpacts Pub Date : 2024-06-26 eCollection Date: 2025-01-01 DOI:10.34172/bi.30222
Maryam Rezazadeh, Shahla Danaei-Mehrabad, Nahideh Afshar Zakariya, Fatemeh Kazemi, Marziyeh Sadat Moslehian, Amin Tamadon, Reza Shirazi, Mahdi Mahdipour, Parvin Hakimi
{"title":"通过综合生物信息学分析鉴定子宫内膜癌转移的关键途径和分子参与者。","authors":"Maryam Rezazadeh, Shahla Danaei-Mehrabad, Nahideh Afshar Zakariya, Fatemeh Kazemi, Marziyeh Sadat Moslehian, Amin Tamadon, Reza Shirazi, Mahdi Mahdipour, Parvin Hakimi","doi":"10.34172/bi.30222","DOIUrl":null,"url":null,"abstract":"<p><p></p><p><strong>Introduction: </strong>Endometrial cancer (EC) is a particularly frequent gynecological cancer, and metastasis is the leading cause of death in patients with EC. Using publicly accessible gene expression data, a bioinformatics study was carried out to increase our knowledge and reveal treatment targets for EC metastasis. This study aimed to identify new important molecular actors and clarify the molecular processes and pathways underlying EC metastasis.</p><p><strong>Methods: </strong>The GEOexplorer and R programming languages were used to analyze and visualize gene expression data from EC metastatic gene expression datasets, and differentially expressed genes (DEGs) and differentially expressed lncRNAs (DElncRNAs) were identified using bioinformatics with P-value thresholds of < 0.05, and |log2FC| > 1.5. KEGG pathway enrichment analysis and gene ontology enrichment was used to enrich the observed DEGs, protein-protein interactions were established, and hub genes were identified.</p><p><strong>Results: </strong>The findings revealed that DEGs were considerably enriched in a number of pathways, including the \"Pathways in cancer\", \"Breast cancer\", and \"<i>Rap1</i> signaling pathway.\" DEGs were also found to be involved in a number of biological processes, cellular components, and molecular activities. The PPI network included the hub genes <i>CTNNB1</i>, <i>FGFR3</i>, <i>ESR1</i>, and <i>SRSF3</i> as well as a number of DElncRNAs, such as <i>LINC01541, SNHG17, LINC00520, BHLHE22-AS1, LOC100509445, H19</i>, and <i>HOTAIRM1</i>.</p><p><strong>Conclusion: </strong>This study contributes to our understanding of the molecular processes driving EC metastasis, which may result in the development of new treatment targets and indicators for the early identification of EC metastasis. More studies are needed to validate these findings and to understand the functional roles of these key factors in EC metastasis.</p>","PeriodicalId":48614,"journal":{"name":"Bioimpacts","volume":"15 ","pages":"30222"},"PeriodicalIF":2.2000,"publicationDate":"2024-06-26","publicationTypes":"Journal Article","fieldsOfStudy":null,"isOpenAccess":false,"openAccessPdf":"https://www.ncbi.nlm.nih.gov/pmc/articles/PMC11954752/pdf/","citationCount":"0","resultStr":"{\"title\":\"Identification of key pathways and molecular players potentially involved in endometrial cancer metastasis through integrated bioinformatics analyses.\",\"authors\":\"Maryam Rezazadeh, Shahla Danaei-Mehrabad, Nahideh Afshar Zakariya, Fatemeh Kazemi, Marziyeh Sadat Moslehian, Amin Tamadon, Reza Shirazi, Mahdi Mahdipour, Parvin Hakimi\",\"doi\":\"10.34172/bi.30222\",\"DOIUrl\":null,\"url\":null,\"abstract\":\"<p><p></p><p><strong>Introduction: </strong>Endometrial cancer (EC) is a particularly frequent gynecological cancer, and metastasis is the leading cause of death in patients with EC. Using publicly accessible gene expression data, a bioinformatics study was carried out to increase our knowledge and reveal treatment targets for EC metastasis. This study aimed to identify new important molecular actors and clarify the molecular processes and pathways underlying EC metastasis.</p><p><strong>Methods: </strong>The GEOexplorer and R programming languages were used to analyze and visualize gene expression data from EC metastatic gene expression datasets, and differentially expressed genes (DEGs) and differentially expressed lncRNAs (DElncRNAs) were identified using bioinformatics with P-value thresholds of < 0.05, and |log2FC| > 1.5. KEGG pathway enrichment analysis and gene ontology enrichment was used to enrich the observed DEGs, protein-protein interactions were established, and hub genes were identified.</p><p><strong>Results: </strong>The findings revealed that DEGs were considerably enriched in a number of pathways, including the \\\"Pathways in cancer\\\", \\\"Breast cancer\\\", and \\\"<i>Rap1</i> signaling pathway.\\\" DEGs were also found to be involved in a number of biological processes, cellular components, and molecular activities. The PPI network included the hub genes <i>CTNNB1</i>, <i>FGFR3</i>, <i>ESR1</i>, and <i>SRSF3</i> as well as a number of DElncRNAs, such as <i>LINC01541, SNHG17, LINC00520, BHLHE22-AS1, LOC100509445, H19</i>, and <i>HOTAIRM1</i>.</p><p><strong>Conclusion: </strong>This study contributes to our understanding of the molecular processes driving EC metastasis, which may result in the development of new treatment targets and indicators for the early identification of EC metastasis. More studies are needed to validate these findings and to understand the functional roles of these key factors in EC metastasis.</p>\",\"PeriodicalId\":48614,\"journal\":{\"name\":\"Bioimpacts\",\"volume\":\"15 \",\"pages\":\"30222\"},\"PeriodicalIF\":2.2000,\"publicationDate\":\"2024-06-26\",\"publicationTypes\":\"Journal Article\",\"fieldsOfStudy\":null,\"isOpenAccess\":false,\"openAccessPdf\":\"https://www.ncbi.nlm.nih.gov/pmc/articles/PMC11954752/pdf/\",\"citationCount\":\"0\",\"resultStr\":null,\"platform\":\"Semanticscholar\",\"paperid\":null,\"PeriodicalName\":\"Bioimpacts\",\"FirstCategoryId\":\"5\",\"ListUrlMain\":\"https://doi.org/10.34172/bi.30222\",\"RegionNum\":4,\"RegionCategory\":\"工程技术\",\"ArticlePicture\":[],\"TitleCN\":null,\"AbstractTextCN\":null,\"PMCID\":null,\"EPubDate\":\"2025/1/1 0:00:00\",\"PubModel\":\"eCollection\",\"JCR\":\"Q3\",\"JCRName\":\"PHARMACOLOGY & PHARMACY\",\"Score\":null,\"Total\":0}","platform":"Semanticscholar","paperid":null,"PeriodicalName":"Bioimpacts","FirstCategoryId":"5","ListUrlMain":"https://doi.org/10.34172/bi.30222","RegionNum":4,"RegionCategory":"工程技术","ArticlePicture":[],"TitleCN":null,"AbstractTextCN":null,"PMCID":null,"EPubDate":"2025/1/1 0:00:00","PubModel":"eCollection","JCR":"Q3","JCRName":"PHARMACOLOGY & PHARMACY","Score":null,"Total":0}
引用次数: 0

摘要

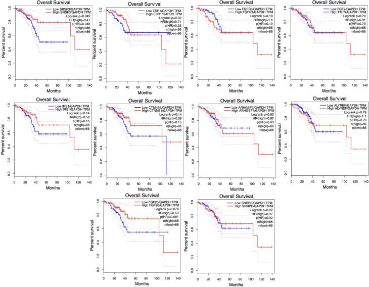
简介:子宫内膜癌(EC)是一种特别常见的妇科癌症,转移是EC患者死亡的主要原因。利用可公开获取的基因表达数据,开展了一项生物信息学研究,以增加我们的知识并揭示EC转移的治疗靶点。本研究旨在发现新的重要分子因子,阐明EC转移的分子过程和途径。方法:采用GEOexplorer和R编程语言对EC转移性基因表达数据集的基因表达数据进行分析和可视化,采用生物信息学方法鉴定差异表达基因(DEGs)和差异表达lncRNAs (DElncRNAs), p值阈值为1.5。利用KEGG通路富集分析和基因本体富集对观察到的deg进行富集,建立蛋白相互作用,鉴定枢纽基因。结果:研究结果显示,deg在包括“癌症途径”、“乳腺癌途径”和“Rap1信号通路”在内的许多途径中都大量富集。deg还被发现参与了许多生物过程、细胞成分和分子活动。PPI网络包括枢纽基因CTNNB1、FGFR3、ESR1和SRSF3以及一些DElncRNAs,如LINC01541、SNHG17、LINC00520、BHLHE22-AS1、LOC100509445、H19和HOTAIRM1。结论:本研究有助于我们了解EC转移的分子过程,为早期发现EC转移提供新的治疗靶点和指标。需要更多的研究来验证这些发现,并了解这些关键因素在EC转移中的功能作用。
本文章由计算机程序翻译,如有差异,请以英文原文为准。

Identification of key pathways and molecular players potentially involved in endometrial cancer metastasis through integrated bioinformatics analyses.

Identification of key pathways and molecular players potentially involved in endometrial cancer metastasis through integrated bioinformatics analyses.

Identification of key pathways and molecular players potentially involved in endometrial cancer metastasis through integrated bioinformatics analyses.

Identification of key pathways and molecular players potentially involved in endometrial cancer metastasis through integrated bioinformatics analyses.

Introduction: Endometrial cancer (EC) is a particularly frequent gynecological cancer, and metastasis is the leading cause of death in patients with EC. Using publicly accessible gene expression data, a bioinformatics study was carried out to increase our knowledge and reveal treatment targets for EC metastasis. This study aimed to identify new important molecular actors and clarify the molecular processes and pathways underlying EC metastasis.

Methods: The GEOexplorer and R programming languages were used to analyze and visualize gene expression data from EC metastatic gene expression datasets, and differentially expressed genes (DEGs) and differentially expressed lncRNAs (DElncRNAs) were identified using bioinformatics with P-value thresholds of < 0.05, and |log2FC| > 1.5. KEGG pathway enrichment analysis and gene ontology enrichment was used to enrich the observed DEGs, protein-protein interactions were established, and hub genes were identified.

Results: The findings revealed that DEGs were considerably enriched in a number of pathways, including the "Pathways in cancer", "Breast cancer", and "Rap1 signaling pathway." DEGs were also found to be involved in a number of biological processes, cellular components, and molecular activities. The PPI network included the hub genes CTNNB1, FGFR3, ESR1, and SRSF3 as well as a number of DElncRNAs, such as LINC01541, SNHG17, LINC00520, BHLHE22-AS1, LOC100509445, H19, and HOTAIRM1.

Conclusion: This study contributes to our understanding of the molecular processes driving EC metastasis, which may result in the development of new treatment targets and indicators for the early identification of EC metastasis. More studies are needed to validate these findings and to understand the functional roles of these key factors in EC metastasis.

求助全文
通过发布文献求助,成功后即可免费获取论文全文。 去求助
来源期刊
Bioimpacts
Bioimpacts Pharmacology, Toxicology and Pharmaceutics-Pharmaceutical Science
CiteScore
4.80
自引率
7.70%
发文量
36
审稿时长
5 weeks
期刊介绍: BioImpacts (BI) is a peer-reviewed multidisciplinary international journal, covering original research articles, reviews, commentaries, hypotheses, methodologies, and visions/reflections dealing with all aspects of biological and biomedical researches at molecular, cellular, functional and translational dimensions.
×
引用
GB/T 7714-2015
复制
MLA
复制
APA
复制
导出至
BibTeX EndNote RefMan NoteFirst NoteExpress
×
提示
您的信息不完整,为了账户安全,请先补充。
现在去补充
×
提示
您因"违规操作"
具体请查看互助需知
我知道了
×
提示
确定
请完成安全验证×
copy
已复制链接
快去分享给好友吧!
我知道了
右上角分享
点击右上角分享
0
联系我们:info@booksci.cn Book学术提供免费学术资源搜索服务,方便国内外学者检索中英文文献。致力于提供最便捷和优质的服务体验。 Copyright © 2023 布克学术 All rights reserved.
京ICP备2023020795号-1
ghs 京公网安备 11010802042870号
Book学术文献互助
Book学术文献互助群
群 号:604180095
Book学术官方微信