业余网球运动员老化后发球时间组织的保存。

IF 1.8 4区 心理学 Q4 PSYCHOLOGY, EXPERIMENTAL
Perceptual and Motor Skills Pub Date : 2025-08-01 Epub Date: 2025-02-26 DOI:10.1177/00315125251324419
Mohsen Shafizadeh, Hazun Hizan, Keith Davids
{"title":"业余网球运动员老化后发球时间组织的保存。","authors":"Mohsen Shafizadeh, Hazun Hizan, Keith Davids","doi":"10.1177/00315125251324419","DOIUrl":null,"url":null,"abstract":"<p><p><b>Background:</b> Ageing leads to functional changes in body systems. <b>Purpose:</b> This study sought to examine the age-based differences in temporal patterning, temporal variability and temporal regularity of tennis service in older adults. <b>Research design:</b> cross-sectional study. <b>Study sample:</b> Participants of this study were volunteers from young (<i>n</i> = 10) and older (<i>n</i> = 11) adults who were self-defined as non-competitive, participating in tennis at a recreational (sub-elite) level for 2-3 days per week regularly. <b>Data collection:</b> They were asked to perform 20 trials of the same serves (flat, slice or top-spin) on a regular size court. The timing (duration) of the serve action was recorded and analysed, using a high-speed digital camera. Participants performed the tennis serves during their routine training sessions on a tennis court. They undertook a structured general (10min) and a specific warm-up routine (10min) before performing services. There was a 30-second rest period between trials. <b>Results:</b> Findings showed that there were no statistically significant differences between the two groups in temporal patterning, whereas the younger group performed the serves with higher variability and regularity/consistency than the older adults in some phases of the action. <b>Conclusion:</b> Older adults who participate recreationally in sports are able to preserve some functional organisation of perceptual-motor capacities, such as timing, due to long-term practice effects. The findings illustrate how sport participation may help maintain functional movement organisation following ageing to mitigate age-related declines in perception and action in late adulthood.</p>","PeriodicalId":19869,"journal":{"name":"Perceptual and Motor Skills","volume":" ","pages":"747-763"},"PeriodicalIF":1.8000,"publicationDate":"2025-08-01","publicationTypes":"Journal Article","fieldsOfStudy":null,"isOpenAccess":false,"openAccessPdf":"https://www.ncbi.nlm.nih.gov/pmc/articles/PMC12209555/pdf/","citationCount":"0","resultStr":"{\"title\":\"Preservation of Temporal Organisation of Tennis Service Following Ageing in Recreational Players.\",\"authors\":\"Mohsen Shafizadeh, Hazun Hizan, Keith Davids\",\"doi\":\"10.1177/00315125251324419\",\"DOIUrl\":null,\"url\":null,\"abstract\":\"<p><p><b>Background:</b> Ageing leads to functional changes in body systems. <b>Purpose:</b> This study sought to examine the age-based differences in temporal patterning, temporal variability and temporal regularity of tennis service in older adults. <b>Research design:</b> cross-sectional study. <b>Study sample:</b> Participants of this study were volunteers from young (<i>n</i> = 10) and older (<i>n</i> = 11) adults who were self-defined as non-competitive, participating in tennis at a recreational (sub-elite) level for 2-3 days per week regularly. <b>Data collection:</b> They were asked to perform 20 trials of the same serves (flat, slice or top-spin) on a regular size court. The timing (duration) of the serve action was recorded and analysed, using a high-speed digital camera. Participants performed the tennis serves during their routine training sessions on a tennis court. They undertook a structured general (10min) and a specific warm-up routine (10min) before performing services. There was a 30-second rest period between trials. <b>Results:</b> Findings showed that there were no statistically significant differences between the two groups in temporal patterning, whereas the younger group performed the serves with higher variability and regularity/consistency than the older adults in some phases of the action. <b>Conclusion:</b> Older adults who participate recreationally in sports are able to preserve some functional organisation of perceptual-motor capacities, such as timing, due to long-term practice effects. The findings illustrate how sport participation may help maintain functional movement organisation following ageing to mitigate age-related declines in perception and action in late adulthood.</p>\",\"PeriodicalId\":19869,\"journal\":{\"name\":\"Perceptual and Motor Skills\",\"volume\":\" \",\"pages\":\"747-763\"},\"PeriodicalIF\":1.8000,\"publicationDate\":\"2025-08-01\",\"publicationTypes\":\"Journal Article\",\"fieldsOfStudy\":null,\"isOpenAccess\":false,\"openAccessPdf\":\"https://www.ncbi.nlm.nih.gov/pmc/articles/PMC12209555/pdf/\",\"citationCount\":\"0\",\"resultStr\":null,\"platform\":\"Semanticscholar\",\"paperid\":null,\"PeriodicalName\":\"Perceptual and Motor Skills\",\"FirstCategoryId\":\"102\",\"ListUrlMain\":\"https://doi.org/10.1177/00315125251324419\",\"RegionNum\":4,\"RegionCategory\":\"心理学\",\"ArticlePicture\":[],\"TitleCN\":null,\"AbstractTextCN\":null,\"PMCID\":null,\"EPubDate\":\"2025/2/26 0:00:00\",\"PubModel\":\"Epub\",\"JCR\":\"Q4\",\"JCRName\":\"PSYCHOLOGY, EXPERIMENTAL\",\"Score\":null,\"Total\":0}","platform":"Semanticscholar","paperid":null,"PeriodicalName":"Perceptual and Motor Skills","FirstCategoryId":"102","ListUrlMain":"https://doi.org/10.1177/00315125251324419","RegionNum":4,"RegionCategory":"心理学","ArticlePicture":[],"TitleCN":null,"AbstractTextCN":null,"PMCID":null,"EPubDate":"2025/2/26 0:00:00","PubModel":"Epub","JCR":"Q4","JCRName":"PSYCHOLOGY, EXPERIMENTAL","Score":null,"Total":0}
引用次数: 0

摘要

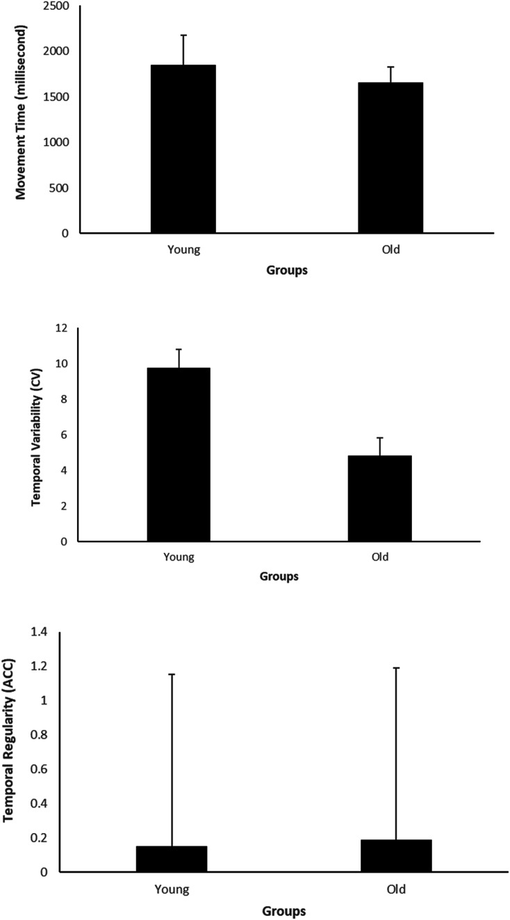
背景:衰老导致身体系统的功能改变。目的:本研究旨在探讨老年人网球发球的时间模式、时间变异性和时间规律性的年龄差异。研究设计:横断面研究。研究样本:本研究的参与者是年轻人(n = 10)和老年人(n = 11)的志愿者,他们自定义为非竞争性,每周定期参加2-3天的休闲(亚精英)水平的网球。数据收集:他们被要求在一个常规大小的场地上对相同的发球(平球、削球或上旋球)进行20次试验。使用高速数码相机记录和分析发球动作的时间(持续时间)。参与者在网球场上进行日常训练时进行网球发球。在进行服务之前,他们进行了结构化的一般活动(10分钟)和特定的热身活动(10分钟)。试验之间有30秒的休息时间。结果:研究结果显示,两组在时间模式上没有统计学上的显著差异,而年轻组在动作的某些阶段比老年人表现出更高的变异性和规律性/一致性。结论:由于长期的锻炼效果,参加娱乐性运动的老年人能够保留一些知觉运动能力的功能性组织,如时间。研究结果表明,参与体育运动可能有助于维持衰老后的功能性运动组织,以减轻成年后期与年龄相关的感知和行动能力下降。
本文章由计算机程序翻译,如有差异,请以英文原文为准。

Preservation of Temporal Organisation of Tennis Service Following Ageing in Recreational Players.

Preservation of Temporal Organisation of Tennis Service Following Ageing in Recreational Players.

Preservation of Temporal Organisation of Tennis Service Following Ageing in Recreational Players.

Preservation of Temporal Organisation of Tennis Service Following Ageing in Recreational Players.

Background: Ageing leads to functional changes in body systems. Purpose: This study sought to examine the age-based differences in temporal patterning, temporal variability and temporal regularity of tennis service in older adults. Research design: cross-sectional study. Study sample: Participants of this study were volunteers from young (n = 10) and older (n = 11) adults who were self-defined as non-competitive, participating in tennis at a recreational (sub-elite) level for 2-3 days per week regularly. Data collection: They were asked to perform 20 trials of the same serves (flat, slice or top-spin) on a regular size court. The timing (duration) of the serve action was recorded and analysed, using a high-speed digital camera. Participants performed the tennis serves during their routine training sessions on a tennis court. They undertook a structured general (10min) and a specific warm-up routine (10min) before performing services. There was a 30-second rest period between trials. Results: Findings showed that there were no statistically significant differences between the two groups in temporal patterning, whereas the younger group performed the serves with higher variability and regularity/consistency than the older adults in some phases of the action. Conclusion: Older adults who participate recreationally in sports are able to preserve some functional organisation of perceptual-motor capacities, such as timing, due to long-term practice effects. The findings illustrate how sport participation may help maintain functional movement organisation following ageing to mitigate age-related declines in perception and action in late adulthood.

求助全文
通过发布文献求助,成功后即可免费获取论文全文。 去求助
来源期刊
Perceptual and Motor Skills
Perceptual and Motor Skills PSYCHOLOGY, EXPERIMENTAL-
CiteScore
2.90
自引率
6.20%
发文量
110
×
引用
GB/T 7714-2015
复制
MLA
复制
APA
复制
导出至
BibTeX EndNote RefMan NoteFirst NoteExpress
×
提示
您的信息不完整,为了账户安全,请先补充。
现在去补充
×
提示
您因"违规操作"
具体请查看互助需知
我知道了
×
提示
确定
请完成安全验证×
copy
已复制链接
快去分享给好友吧!
我知道了
右上角分享
点击右上角分享
0
联系我们:info@booksci.cn Book学术提供免费学术资源搜索服务,方便国内外学者检索中英文文献。致力于提供最便捷和优质的服务体验。 Copyright © 2023 布克学术 All rights reserved.
京ICP备2023020795号-1
ghs 京公网安备 11010802042870号
Book学术文献互助
Book学术文献互助群
群 号:604180095
Book学术官方微信