模拟体外消化前后野生植物浸剂和煎剂中植物化学物质的生物可及性和生物活性。

IF 3.6 2区 农林科学 Q2 CHEMISTRY, APPLIED
Stefania Monari, Maura Ferri, Alessandro Zappi, Rita Escórcio, Vanessa G Correia, André Cairrão, Artur Bento, Cristina Silva Pereira, Annalisa Tassoni
{"title":"模拟体外消化前后野生植物浸剂和煎剂中植物化学物质的生物可及性和生物活性。","authors":"Stefania Monari, Maura Ferri, Alessandro Zappi, Rita Escórcio, Vanessa G Correia, André Cairrão, Artur Bento, Cristina Silva Pereira, Annalisa Tassoni","doi":"10.1007/s11130-025-01327-6","DOIUrl":null,"url":null,"abstract":"<p><p>The wild plants Borago officinalis L. (Boraginaceae) and Hypericum perforatum L. (Hypericaceae) are known to have both food and medicinal uses. The aim of the work was to evaluate the bioaccessibility of potentially bioactive phytochemicals in organ-specific infusions and decoctions pre- and post- simulated in vitro oro-gastrointestinal human digestion aiming at both oral intake and topical applications. (Poly)phenols, reducing sugars, and proteins were analysed by spectroscopic and spectrometry techniques (NMR and HPLC-DAD) as well as their antioxidant and antimicrobial activities pre- and post-digestion. As expected, in vitro digestion altered the composition of the extracts. Specifically, the total amount of (poly)phenols as well as the largely correlated antioxidant activity decreased post-digestion, while reducing sugars and proteins increased. Catechins and rutin were detected in both plants. Rosmarinic acid was the most abundant compound in B. officinalis (on average 90% in infusions), while rutin and hyperoside in H. perforatum (up to 100% in stem digested extracts). Hypericum extracts exhibited similar activity against both Gram-positive and Gram-negative bacteria, while the Borago extracts showed higher activity against Gram-negative bacteria. Overall, the minimal inhibitory concentrations ranged from 0.47 to 0.94 mg/ml. In conclusion, the studied herbal preparations may provide significant amounts of bioactive compounds both pre- and post-digestion able to potentially mitigate oxidative stress-related disorders after ingestion and/or to treat skin infection diseases when applied topically.</p>","PeriodicalId":20092,"journal":{"name":"Plant Foods for Human Nutrition","volume":"80 1","pages":"81"},"PeriodicalIF":3.6000,"publicationDate":"2025-02-25","publicationTypes":"Journal Article","fieldsOfStudy":null,"isOpenAccess":false,"openAccessPdf":"https://www.ncbi.nlm.nih.gov/pmc/articles/PMC11861409/pdf/","citationCount":"0","resultStr":"{\"title\":\"Bioaccessibility and Biological Activities of Phytochemicals from Wild Plant Infusions and Decoctions Before and After Simulated In Vitro Digestion.\",\"authors\":\"Stefania Monari, Maura Ferri, Alessandro Zappi, Rita Escórcio, Vanessa G Correia, André Cairrão, Artur Bento, Cristina Silva Pereira, Annalisa Tassoni\",\"doi\":\"10.1007/s11130-025-01327-6\",\"DOIUrl\":null,\"url\":null,\"abstract\":\"<p><p>The wild plants Borago officinalis L. (Boraginaceae) and Hypericum perforatum L. (Hypericaceae) are known to have both food and medicinal uses. The aim of the work was to evaluate the bioaccessibility of potentially bioactive phytochemicals in organ-specific infusions and decoctions pre- and post- simulated in vitro oro-gastrointestinal human digestion aiming at both oral intake and topical applications. (Poly)phenols, reducing sugars, and proteins were analysed by spectroscopic and spectrometry techniques (NMR and HPLC-DAD) as well as their antioxidant and antimicrobial activities pre- and post-digestion. As expected, in vitro digestion altered the composition of the extracts. Specifically, the total amount of (poly)phenols as well as the largely correlated antioxidant activity decreased post-digestion, while reducing sugars and proteins increased. Catechins and rutin were detected in both plants. Rosmarinic acid was the most abundant compound in B. officinalis (on average 90% in infusions), while rutin and hyperoside in H. perforatum (up to 100% in stem digested extracts). Hypericum extracts exhibited similar activity against both Gram-positive and Gram-negative bacteria, while the Borago extracts showed higher activity against Gram-negative bacteria. Overall, the minimal inhibitory concentrations ranged from 0.47 to 0.94 mg/ml. In conclusion, the studied herbal preparations may provide significant amounts of bioactive compounds both pre- and post-digestion able to potentially mitigate oxidative stress-related disorders after ingestion and/or to treat skin infection diseases when applied topically.</p>\",\"PeriodicalId\":20092,\"journal\":{\"name\":\"Plant Foods for Human Nutrition\",\"volume\":\"80 1\",\"pages\":\"81\"},\"PeriodicalIF\":3.6000,\"publicationDate\":\"2025-02-25\",\"publicationTypes\":\"Journal Article\",\"fieldsOfStudy\":null,\"isOpenAccess\":false,\"openAccessPdf\":\"https://www.ncbi.nlm.nih.gov/pmc/articles/PMC11861409/pdf/\",\"citationCount\":\"0\",\"resultStr\":null,\"platform\":\"Semanticscholar\",\"paperid\":null,\"PeriodicalName\":\"Plant Foods for Human Nutrition\",\"FirstCategoryId\":\"97\",\"ListUrlMain\":\"https://doi.org/10.1007/s11130-025-01327-6\",\"RegionNum\":2,\"RegionCategory\":\"农林科学\",\"ArticlePicture\":[],\"TitleCN\":null,\"AbstractTextCN\":null,\"PMCID\":null,\"EPubDate\":\"\",\"PubModel\":\"\",\"JCR\":\"Q2\",\"JCRName\":\"CHEMISTRY, APPLIED\",\"Score\":null,\"Total\":0}","platform":"Semanticscholar","paperid":null,"PeriodicalName":"Plant Foods for Human Nutrition","FirstCategoryId":"97","ListUrlMain":"https://doi.org/10.1007/s11130-025-01327-6","RegionNum":2,"RegionCategory":"农林科学","ArticlePicture":[],"TitleCN":null,"AbstractTextCN":null,"PMCID":null,"EPubDate":"","PubModel":"","JCR":"Q2","JCRName":"CHEMISTRY, APPLIED","Score":null,"Total":0}
引用次数: 0

摘要

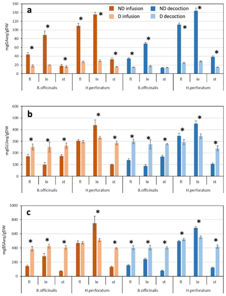
野生植物婆罗苣苔(Borago officinalis L., Boraginaceae)和贯叶连翘(Hypericum perforatum L.,金丝桃科)是已知的既可食用又可药用的植物。本研究的目的是评估潜在生物活性植物化学物质在器官特异性输注和煎剂中的生物可及性,并模拟体外口服和局部应用的人体胃肠道消化。通过波谱和光谱技术(NMR和HPLC-DAD)分析(多)酚、还原糖和蛋白质,以及它们在消化前和消化后的抗氧化和抗菌活性。正如预期的那样,体外消化改变了提取物的组成。具体来说,(多)酚的总量以及主要相关的抗氧化活性在消化后下降,而还原糖和蛋白质增加。两种植物均检测到儿茶素和芦丁。其中迷迭香酸含量最高(平均含量90%),而贯叶连翘中芦丁和金丝桃苷含量最高(茎消化提取物含量高达100%)。金丝桃提取物对革兰氏阳性菌和革兰氏阴性菌的活性相似,而硼砂提取物对革兰氏阴性菌的活性更高。总体而言,最小抑制浓度范围为0.47至0.94 mg/ml。总之,所研究的草药制剂可以在消化前和消化后提供大量的生物活性化合物,能够在摄入后潜在地减轻氧化应激相关疾病和/或局部应用时治疗皮肤感染疾病。
本文章由计算机程序翻译,如有差异,请以英文原文为准。

Bioaccessibility and Biological Activities of Phytochemicals from Wild Plant Infusions and Decoctions Before and After Simulated In Vitro Digestion.

Bioaccessibility and Biological Activities of Phytochemicals from Wild Plant Infusions and Decoctions Before and After Simulated In Vitro Digestion.

Bioaccessibility and Biological Activities of Phytochemicals from Wild Plant Infusions and Decoctions Before and After Simulated In Vitro Digestion.

Bioaccessibility and Biological Activities of Phytochemicals from Wild Plant Infusions and Decoctions Before and After Simulated In Vitro Digestion.

The wild plants Borago officinalis L. (Boraginaceae) and Hypericum perforatum L. (Hypericaceae) are known to have both food and medicinal uses. The aim of the work was to evaluate the bioaccessibility of potentially bioactive phytochemicals in organ-specific infusions and decoctions pre- and post- simulated in vitro oro-gastrointestinal human digestion aiming at both oral intake and topical applications. (Poly)phenols, reducing sugars, and proteins were analysed by spectroscopic and spectrometry techniques (NMR and HPLC-DAD) as well as their antioxidant and antimicrobial activities pre- and post-digestion. As expected, in vitro digestion altered the composition of the extracts. Specifically, the total amount of (poly)phenols as well as the largely correlated antioxidant activity decreased post-digestion, while reducing sugars and proteins increased. Catechins and rutin were detected in both plants. Rosmarinic acid was the most abundant compound in B. officinalis (on average 90% in infusions), while rutin and hyperoside in H. perforatum (up to 100% in stem digested extracts). Hypericum extracts exhibited similar activity against both Gram-positive and Gram-negative bacteria, while the Borago extracts showed higher activity against Gram-negative bacteria. Overall, the minimal inhibitory concentrations ranged from 0.47 to 0.94 mg/ml. In conclusion, the studied herbal preparations may provide significant amounts of bioactive compounds both pre- and post-digestion able to potentially mitigate oxidative stress-related disorders after ingestion and/or to treat skin infection diseases when applied topically.

求助全文
通过发布文献求助,成功后即可免费获取论文全文。 去求助
来源期刊
Plant Foods for Human Nutrition
Plant Foods for Human Nutrition 工程技术-食品科技
CiteScore
6.80
自引率
7.50%
发文量
89
审稿时长
12-24 weeks
期刊介绍: Plant Foods for Human Nutrition (previously Qualitas Plantarum) is an international journal that publishes reports of original research and critical reviews concerned with the improvement and evaluation of the nutritional quality of plant foods for humans, as they are influenced by: - Biotechnology (all fields, including molecular biology and genetic engineering) - Food science and technology - Functional, nutraceutical or pharma foods - Other nutrients and non-nutrients inherent in plant foods
×
引用
GB/T 7714-2015
复制
MLA
复制
APA
复制
导出至
BibTeX EndNote RefMan NoteFirst NoteExpress
×
提示
您的信息不完整,为了账户安全,请先补充。
现在去补充
×
提示
您因"违规操作"
具体请查看互助需知
我知道了
×
提示
确定
请完成安全验证×
copy
已复制链接
快去分享给好友吧!
我知道了
右上角分享
点击右上角分享
0
联系我们:info@booksci.cn Book学术提供免费学术资源搜索服务,方便国内外学者检索中英文文献。致力于提供最便捷和优质的服务体验。 Copyright © 2023 布克学术 All rights reserved.
京ICP备2023020795号-1
ghs 京公网安备 11010802042870号
Book学术文献互助
Book学术文献互助群
群 号:604180095
Book学术官方微信