2019冠状病毒病大流行第一年,患有和不患有痴呆症的成年人长期服务和支持的变化

IF 4.3 3区 医学 Q1 GERIATRICS & GERONTOLOGY
Innovation in Aging Pub Date : 2025-01-10 eCollection Date: 2025-01-01 DOI:10.1093/geroni/igaf003
Yulya Truskinovsky, Vicki A Freedman, Geoffrey J Hoffman, Amanda N Leggett, Emily Wiemers
{"title":"2019冠状病毒病大流行第一年,患有和不患有痴呆症的成年人长期服务和支持的变化","authors":"Yulya Truskinovsky, Vicki A Freedman, Geoffrey J Hoffman, Amanda N Leggett, Emily Wiemers","doi":"10.1093/geroni/igaf003","DOIUrl":null,"url":null,"abstract":"<p><strong>Background and objectives: </strong>This study draws upon local coronavirus disease 2019 (COVID-19) mortality rates as a proxy for pandemic severity to determine if the COVID-19 pandemic disrupted long-term services and supports (LTSS) for adults with dementia, relative to adults with care needs unrelated to dementia.</p><p><strong>Research design and methods: </strong>We used the Health and Retirement Study to estimate associations between local COVID-19 mortality rates from March 2020 through April 2021 and LTSS outcomes (receiving paid and unpaid help, monthly hours of paid and unpaid help, number of paid and unpaid helpers, living in a residential care setting, or living with adult children). We compared 2 groups of adults ages 51 and older: those with dementia (<i>n</i> = 522) and those without dementia but having difficulty with at least one activity of daily living (<i>n</i> = 2,036).</p><p><strong>Results: </strong>We found that higher local COVID-19 mortality rates were associated with a reduction in paid care and living in residential care settings for both groups of adults with care needs. In addition, higher local COVID-19 mortality rates were associated with a greater likelihood of living with adult children among those without dementia and greater hours of unpaid help among those with dementia.</p><p><strong>Discussion and implications: </strong>Although we did not find differences in disruptions of LTSS between persons with and without dementia, observed declines in paid LTSS and increases in unpaid care in the first year of the pandemic may nevertheless have different implications for persons with dementia. Future research should investigate if COVID-19 related disruptions in LTSS led to differential changes in health and unmet needs among adults with dementia, increased strain for their caregivers, and the equitable availability of high-quality paid care.</p>","PeriodicalId":13596,"journal":{"name":"Innovation in Aging","volume":"9 2","pages":"igaf003"},"PeriodicalIF":4.3000,"publicationDate":"2025-01-10","publicationTypes":"Journal Article","fieldsOfStudy":null,"isOpenAccess":false,"openAccessPdf":"https://www.ncbi.nlm.nih.gov/pmc/articles/PMC11831224/pdf/","citationCount":"0","resultStr":"{\"title\":\"Changes in Long-term Services and Supports Among Adults With and Without Dementia During the First Year of the COVID-19 Pandemic.\",\"authors\":\"Yulya Truskinovsky, Vicki A Freedman, Geoffrey J Hoffman, Amanda N Leggett, Emily Wiemers\",\"doi\":\"10.1093/geroni/igaf003\",\"DOIUrl\":null,\"url\":null,\"abstract\":\"<p><strong>Background and objectives: </strong>This study draws upon local coronavirus disease 2019 (COVID-19) mortality rates as a proxy for pandemic severity to determine if the COVID-19 pandemic disrupted long-term services and supports (LTSS) for adults with dementia, relative to adults with care needs unrelated to dementia.</p><p><strong>Research design and methods: </strong>We used the Health and Retirement Study to estimate associations between local COVID-19 mortality rates from March 2020 through April 2021 and LTSS outcomes (receiving paid and unpaid help, monthly hours of paid and unpaid help, number of paid and unpaid helpers, living in a residential care setting, or living with adult children). We compared 2 groups of adults ages 51 and older: those with dementia (<i>n</i> = 522) and those without dementia but having difficulty with at least one activity of daily living (<i>n</i> = 2,036).</p><p><strong>Results: </strong>We found that higher local COVID-19 mortality rates were associated with a reduction in paid care and living in residential care settings for both groups of adults with care needs. In addition, higher local COVID-19 mortality rates were associated with a greater likelihood of living with adult children among those without dementia and greater hours of unpaid help among those with dementia.</p><p><strong>Discussion and implications: </strong>Although we did not find differences in disruptions of LTSS between persons with and without dementia, observed declines in paid LTSS and increases in unpaid care in the first year of the pandemic may nevertheless have different implications for persons with dementia. Future research should investigate if COVID-19 related disruptions in LTSS led to differential changes in health and unmet needs among adults with dementia, increased strain for their caregivers, and the equitable availability of high-quality paid care.</p>\",\"PeriodicalId\":13596,\"journal\":{\"name\":\"Innovation in Aging\",\"volume\":\"9 2\",\"pages\":\"igaf003\"},\"PeriodicalIF\":4.3000,\"publicationDate\":\"2025-01-10\",\"publicationTypes\":\"Journal Article\",\"fieldsOfStudy\":null,\"isOpenAccess\":false,\"openAccessPdf\":\"https://www.ncbi.nlm.nih.gov/pmc/articles/PMC11831224/pdf/\",\"citationCount\":\"0\",\"resultStr\":null,\"platform\":\"Semanticscholar\",\"paperid\":null,\"PeriodicalName\":\"Innovation in Aging\",\"FirstCategoryId\":\"3\",\"ListUrlMain\":\"https://doi.org/10.1093/geroni/igaf003\",\"RegionNum\":3,\"RegionCategory\":\"医学\",\"ArticlePicture\":[],\"TitleCN\":null,\"AbstractTextCN\":null,\"PMCID\":null,\"EPubDate\":\"2025/1/1 0:00:00\",\"PubModel\":\"eCollection\",\"JCR\":\"Q1\",\"JCRName\":\"GERIATRICS & GERONTOLOGY\",\"Score\":null,\"Total\":0}","platform":"Semanticscholar","paperid":null,"PeriodicalName":"Innovation in Aging","FirstCategoryId":"3","ListUrlMain":"https://doi.org/10.1093/geroni/igaf003","RegionNum":3,"RegionCategory":"医学","ArticlePicture":[],"TitleCN":null,"AbstractTextCN":null,"PMCID":null,"EPubDate":"2025/1/1 0:00:00","PubModel":"eCollection","JCR":"Q1","JCRName":"GERIATRICS & GERONTOLOGY","Score":null,"Total":0}
引用次数: 0

摘要

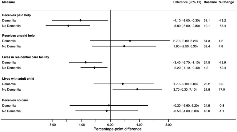
背景和目的:本研究利用2019年当地冠状病毒病(COVID-19)死亡率作为大流行严重程度的代表,以确定COVID-19大流行是否扰乱了成人痴呆症患者的长期服务和支持(LTSS),相对于有与痴呆症无关的护理需求的成年人。研究设计和方法:我们使用健康与退休研究来估计2020年3月至2021年4月当地COVID-19死亡率与LTSS结果(接受有偿和无偿帮助、每月有偿和无偿帮助的小时数、有偿和无偿帮助者的数量、住在寄宿护理机构或与成年子女住在一起)之间的关联。我们比较了两组年龄在51岁及以上的成年人:痴呆症患者(n = 522)和没有痴呆症但至少有一项日常生活活动困难的患者(n = 2036)。结果:我们发现,当地较高的COVID-19死亡率与两组有护理需求的成年人的付费护理和居住在寄宿护理机构的减少有关。此外,当地COVID-19死亡率较高,与没有痴呆症的人与成年子女生活在一起的可能性更大,与痴呆症患者获得无偿帮助的时间更长有关。讨论和影响:虽然我们没有发现痴呆症患者和非痴呆症患者长期生活服务中断的差异,但在大流行的第一年观察到的有偿长期生活服务的下降和无偿护理的增加可能对痴呆症患者有不同的影响。未来的研究应调查LTSS中与COVID-19相关的中断是否导致痴呆成人健康和未满足需求的差异变化,其护理人员的压力增加,以及高质量有偿护理的公平可得性。
本文章由计算机程序翻译,如有差异,请以英文原文为准。

Changes in Long-term Services and Supports Among Adults With and Without Dementia During the First Year of the COVID-19 Pandemic.

Changes in Long-term Services and Supports Among Adults With and Without Dementia During the First Year of the COVID-19 Pandemic.

Changes in Long-term Services and Supports Among Adults With and Without Dementia During the First Year of the COVID-19 Pandemic.

Changes in Long-term Services and Supports Among Adults With and Without Dementia During the First Year of the COVID-19 Pandemic.

Background and objectives: This study draws upon local coronavirus disease 2019 (COVID-19) mortality rates as a proxy for pandemic severity to determine if the COVID-19 pandemic disrupted long-term services and supports (LTSS) for adults with dementia, relative to adults with care needs unrelated to dementia.

Research design and methods: We used the Health and Retirement Study to estimate associations between local COVID-19 mortality rates from March 2020 through April 2021 and LTSS outcomes (receiving paid and unpaid help, monthly hours of paid and unpaid help, number of paid and unpaid helpers, living in a residential care setting, or living with adult children). We compared 2 groups of adults ages 51 and older: those with dementia (n = 522) and those without dementia but having difficulty with at least one activity of daily living (n = 2,036).

Results: We found that higher local COVID-19 mortality rates were associated with a reduction in paid care and living in residential care settings for both groups of adults with care needs. In addition, higher local COVID-19 mortality rates were associated with a greater likelihood of living with adult children among those without dementia and greater hours of unpaid help among those with dementia.

Discussion and implications: Although we did not find differences in disruptions of LTSS between persons with and without dementia, observed declines in paid LTSS and increases in unpaid care in the first year of the pandemic may nevertheless have different implications for persons with dementia. Future research should investigate if COVID-19 related disruptions in LTSS led to differential changes in health and unmet needs among adults with dementia, increased strain for their caregivers, and the equitable availability of high-quality paid care.

求助全文
通过发布文献求助,成功后即可免费获取论文全文。 去求助
来源期刊
Innovation in Aging
Innovation in Aging GERIATRICS & GERONTOLOGY-
CiteScore
4.10
自引率
0.00%
发文量
72
审稿时长
15 weeks
期刊介绍: Innovation in Aging, an interdisciplinary Open Access journal of the Gerontological Society of America (GSA), is dedicated to publishing innovative, conceptually robust, and methodologically rigorous research focused on aging and the life course. The journal aims to present studies with the potential to significantly enhance the health, functionality, and overall well-being of older adults by translating scientific insights into practical applications. Research published in the journal spans a variety of settings, including community, clinical, and laboratory contexts, with a clear emphasis on issues that are directly pertinent to aging and the dynamics of life over time. The content of the journal mirrors the diverse research interests of GSA members and encompasses a range of study types. These include the validation of new conceptual or theoretical models, assessments of factors impacting the health and well-being of older adults, evaluations of interventions and policies, the implementation of groundbreaking research methodologies, interdisciplinary research that adapts concepts and methods from other fields to aging studies, and the use of modeling and simulations to understand factors and processes influencing aging outcomes. The journal welcomes contributions from scholars across various disciplines, such as technology, engineering, architecture, economics, business, law, political science, public policy, education, public health, social and psychological sciences, biomedical and health sciences, and the humanities and arts, reflecting a holistic approach to advancing knowledge in gerontology.
×
引用
GB/T 7714-2015
复制
MLA
复制
APA
复制
导出至
BibTeX EndNote RefMan NoteFirst NoteExpress
×
提示
您的信息不完整,为了账户安全,请先补充。
现在去补充
×
提示
您因"违规操作"
具体请查看互助需知
我知道了
×
提示
确定
请完成安全验证×
copy
已复制链接
快去分享给好友吧!
我知道了
右上角分享
点击右上角分享
0
联系我们:info@booksci.cn Book学术提供免费学术资源搜索服务,方便国内外学者检索中英文文献。致力于提供最便捷和优质的服务体验。 Copyright © 2023 布克学术 All rights reserved.
京ICP备2023020795号-1
ghs 京公网安备 11010802042870号
Book学术文献互助
Book学术文献互助群
群 号:604180095
Book学术官方微信