多任务处理:任务切换是否会增加双重任务对日常驾驶行为的影响?

IF 3.1 2区 心理学 Q1 PSYCHOLOGY, EXPERIMENTAL
Piesie A G Asuako, Robert Stojan, Otmar Bock, Melanie Mack, Claudia Voelcker-Rehage
{"title":"多任务处理:任务切换是否会增加双重任务对日常驾驶行为的影响?","authors":"Piesie A G Asuako, Robert Stojan, Otmar Bock, Melanie Mack, Claudia Voelcker-Rehage","doi":"10.1186/s41235-025-00611-y","DOIUrl":null,"url":null,"abstract":"<p><p>It is well established that performing multiple tasks simultaneously (dual-tasking) or sequentially (task-switching) degrades performance on one or both tasks. However, it is unknown whether task-switching adds to the effects of dual-tasking in a single setup. We investigated this in a simulated everyday-like car driving scenario. We expected an additive effect of task-switching on dual-tasking, leading to a stronger deterioration of driving performance due to the increased cognitive load required to handle multiple task-sets. Forty-five young adults aged 18 to 30 years (age: 23.62 ± 2.51, 28 females) were instructed to follow a lead car driving at a constant speed of 70 km/h through a rural landscape while concurrently performing additional tasks. The additional tasks were typing and arguing, in response to stimuli presented visually or auditorily. The tasks were presented either in separate blocks or in intermixed order (conditions: repetitive vs. switching). Driving performance was assessed by use of the average velocity and the standard deviation of lateral position, and performance in the additional tasks was assessed by reaction time. Linear-mixed effect models revealed better performance in the repetitive, compared to the switch condition only for the standard deviation of the lateral lane position while performing the additional typing task. This provides limited evidence for the view that task-switching adds to the challenges of dual-tasking. We therefore posit that already dual-tasking alone involves processing demands that are not substantially increased by adding switching demands.</p>","PeriodicalId":46827,"journal":{"name":"Cognitive Research-Principles and Implications","volume":"10 1","pages":"5"},"PeriodicalIF":3.1000,"publicationDate":"2025-02-08","publicationTypes":"Journal Article","fieldsOfStudy":null,"isOpenAccess":false,"openAccessPdf":"https://www.ncbi.nlm.nih.gov/pmc/articles/PMC11807033/pdf/","citationCount":"0","resultStr":"{\"title\":\"Multitasking: does task-switching add to the effect of dual-tasking on everyday-like driving behavior?\",\"authors\":\"Piesie A G Asuako, Robert Stojan, Otmar Bock, Melanie Mack, Claudia Voelcker-Rehage\",\"doi\":\"10.1186/s41235-025-00611-y\",\"DOIUrl\":null,\"url\":null,\"abstract\":\"<p><p>It is well established that performing multiple tasks simultaneously (dual-tasking) or sequentially (task-switching) degrades performance on one or both tasks. However, it is unknown whether task-switching adds to the effects of dual-tasking in a single setup. We investigated this in a simulated everyday-like car driving scenario. We expected an additive effect of task-switching on dual-tasking, leading to a stronger deterioration of driving performance due to the increased cognitive load required to handle multiple task-sets. Forty-five young adults aged 18 to 30 years (age: 23.62 ± 2.51, 28 females) were instructed to follow a lead car driving at a constant speed of 70 km/h through a rural landscape while concurrently performing additional tasks. The additional tasks were typing and arguing, in response to stimuli presented visually or auditorily. The tasks were presented either in separate blocks or in intermixed order (conditions: repetitive vs. switching). Driving performance was assessed by use of the average velocity and the standard deviation of lateral position, and performance in the additional tasks was assessed by reaction time. Linear-mixed effect models revealed better performance in the repetitive, compared to the switch condition only for the standard deviation of the lateral lane position while performing the additional typing task. This provides limited evidence for the view that task-switching adds to the challenges of dual-tasking. We therefore posit that already dual-tasking alone involves processing demands that are not substantially increased by adding switching demands.</p>\",\"PeriodicalId\":46827,\"journal\":{\"name\":\"Cognitive Research-Principles and Implications\",\"volume\":\"10 1\",\"pages\":\"5\"},\"PeriodicalIF\":3.1000,\"publicationDate\":\"2025-02-08\",\"publicationTypes\":\"Journal Article\",\"fieldsOfStudy\":null,\"isOpenAccess\":false,\"openAccessPdf\":\"https://www.ncbi.nlm.nih.gov/pmc/articles/PMC11807033/pdf/\",\"citationCount\":\"0\",\"resultStr\":null,\"platform\":\"Semanticscholar\",\"paperid\":null,\"PeriodicalName\":\"Cognitive Research-Principles and Implications\",\"FirstCategoryId\":\"102\",\"ListUrlMain\":\"https://doi.org/10.1186/s41235-025-00611-y\",\"RegionNum\":2,\"RegionCategory\":\"心理学\",\"ArticlePicture\":[],\"TitleCN\":null,\"AbstractTextCN\":null,\"PMCID\":null,\"EPubDate\":\"\",\"PubModel\":\"\",\"JCR\":\"Q1\",\"JCRName\":\"PSYCHOLOGY, EXPERIMENTAL\",\"Score\":null,\"Total\":0}","platform":"Semanticscholar","paperid":null,"PeriodicalName":"Cognitive Research-Principles and Implications","FirstCategoryId":"102","ListUrlMain":"https://doi.org/10.1186/s41235-025-00611-y","RegionNum":2,"RegionCategory":"心理学","ArticlePicture":[],"TitleCN":null,"AbstractTextCN":null,"PMCID":null,"EPubDate":"","PubModel":"","JCR":"Q1","JCRName":"PSYCHOLOGY, EXPERIMENTAL","Score":null,"Total":0}
引用次数: 0

摘要

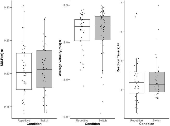
众所周知,同时执行多个任务(双任务)或顺序执行多个任务(任务切换)会降低一个或两个任务的性能。然而,目前尚不清楚任务切换是否会在单一设置中增加双任务的影响。我们在模拟日常汽车驾驶场景中对此进行了调查。我们预计任务切换对双任务的累加效应,由于处理多个任务集所需的认知负荷增加,导致驾驶性能更严重的恶化。45名年龄在18至30岁之间的年轻人(年龄:23.62±2.51,女性28人)被要求跟随一辆以70公里/小时的恒定速度行驶的领头车穿过乡村景观,同时执行其他任务。额外的任务是打字和辩论,以回应视觉或听觉上的刺激。任务要么以单独的块呈现,要么以混合顺序呈现(条件:重复或切换)。驾驶表现用平均速度和横向位置的标准偏差来评估,在附加任务中的表现用反应时间来评估。线性混合效应模型显示,在执行额外打字任务时,与仅在侧道位置标准偏差的切换条件相比,在重复条件下的表现更好。这为任务切换增加双重任务挑战的观点提供了有限的证据。因此,我们假设双任务本身涉及的处理需求不会因增加切换需求而大幅增加。
本文章由计算机程序翻译,如有差异,请以英文原文为准。

Multitasking: does task-switching add to the effect of dual-tasking on everyday-like driving behavior?

Multitasking: does task-switching add to the effect of dual-tasking on everyday-like driving behavior?

Multitasking: does task-switching add to the effect of dual-tasking on everyday-like driving behavior?

Multitasking: does task-switching add to the effect of dual-tasking on everyday-like driving behavior?

It is well established that performing multiple tasks simultaneously (dual-tasking) or sequentially (task-switching) degrades performance on one or both tasks. However, it is unknown whether task-switching adds to the effects of dual-tasking in a single setup. We investigated this in a simulated everyday-like car driving scenario. We expected an additive effect of task-switching on dual-tasking, leading to a stronger deterioration of driving performance due to the increased cognitive load required to handle multiple task-sets. Forty-five young adults aged 18 to 30 years (age: 23.62 ± 2.51, 28 females) were instructed to follow a lead car driving at a constant speed of 70 km/h through a rural landscape while concurrently performing additional tasks. The additional tasks were typing and arguing, in response to stimuli presented visually or auditorily. The tasks were presented either in separate blocks or in intermixed order (conditions: repetitive vs. switching). Driving performance was assessed by use of the average velocity and the standard deviation of lateral position, and performance in the additional tasks was assessed by reaction time. Linear-mixed effect models revealed better performance in the repetitive, compared to the switch condition only for the standard deviation of the lateral lane position while performing the additional typing task. This provides limited evidence for the view that task-switching adds to the challenges of dual-tasking. We therefore posit that already dual-tasking alone involves processing demands that are not substantially increased by adding switching demands.

求助全文
通过发布文献求助,成功后即可免费获取论文全文。 去求助
来源期刊
CiteScore
6.80
自引率
7.30%
发文量
96
审稿时长
25 weeks
×
引用
GB/T 7714-2015
复制
MLA
复制
APA
复制
导出至
BibTeX EndNote RefMan NoteFirst NoteExpress
×
提示
您的信息不完整,为了账户安全,请先补充。
现在去补充
×
提示
您因"违规操作"
具体请查看互助需知
我知道了
×
提示
确定
请完成安全验证×
copy
已复制链接
快去分享给好友吧!
我知道了
右上角分享
点击右上角分享
0
联系我们:info@booksci.cn Book学术提供免费学术资源搜索服务,方便国内外学者检索中英文文献。致力于提供最便捷和优质的服务体验。 Copyright © 2023 布克学术 All rights reserved.
京ICP备2023020795号-1
ghs 京公网安备 11010802042870号
Book学术文献互助
Book学术文献互助群
群 号:604180095
Book学术官方微信