住院酒精戒断患者的特征和结局综述

IF 0.6 Q3 MEDICINE, GENERAL & INTERNAL
Harsh R Desai, Joan S Hyland, Erica Paulos, Eric Shaw, Nayda Parisio-Poldiak, Maulikkumar Patel
{"title":"住院酒精戒断患者的特征和结局综述","authors":"Harsh R Desai, Joan S Hyland, Erica Paulos, Eric Shaw, Nayda Parisio-Poldiak, Maulikkumar Patel","doi":"10.55729/2000-9666.1420","DOIUrl":null,"url":null,"abstract":"<p><strong>Background: </strong>Alcohol abuse leads to millions of hospital admissions each year in the United States. Alcohol withdrawal syndrome (AWS) is associated with several serious complications, including seizures, delirium tremens, and death. Benzodiazepines have been the mainstay of treatment for hospitalized patients with alcohol withdrawal.</p><p><strong>Objective: </strong>To compare hospital length of stay (LOS) among different protocols for the management of AWS in hospitalized patients.</p><p><strong>Methods: </strong>We conducted a retrospective study of 49,125 adult patients admitted over 4 years (2018-2022) to HCA Healthcare hospitals across the USA with a diagnosis of alcohol use disorder or alcohol withdrawal. Hospital LOS was the primary outcome examined across various treatment groups (chlordiazepoxide, diazepam, gabapentin, lorazepam, phenobarbital). Secondary outcomes included the initial Clinical Institute Withdrawal Assessment (CIWA) score, intensive care unit (ICU) admission rates, readmission rates, and mortality.</p><p><strong>Results: </strong>The average age of patients admitted was 48 years, and the majority (72%) were White males. Lorazepam was the most frequently used protocol and was associated with the lowest LOS (3.96 days). Patients treated with lorazepam had relatively higher initial CIWA scores. Only 11% of patients were admitted to the ICU during their hospitalization, and only 2% were intubated or ventilated. There were no 30-day readmissions, and less than 1% of patients admitted with a diagnosis of AWS died. Other protocols, such as gabapentin, diazepam, phenobarbital, and chlordiazepoxide, were less commonly used and had variable impacts on the outcomes studied.</p><p><strong>Conclusions: </strong>The results of this retrospective study support lorazepam as an effective treatment for AWS management. Future research should focus on comparing the effectiveness of alcohol withdrawal assessment tools in patients with baseline psychiatric disorders.</p>","PeriodicalId":15460,"journal":{"name":"Journal of Community Hospital Internal Medicine Perspectives","volume":"14 6","pages":"35-42"},"PeriodicalIF":0.6000,"publicationDate":"2024-11-02","publicationTypes":"Journal Article","fieldsOfStudy":null,"isOpenAccess":false,"openAccessPdf":"https://www.ncbi.nlm.nih.gov/pmc/articles/PMC11745179/pdf/","citationCount":"0","resultStr":"{\"title\":\"Review of Attributes and Outcomes of Hospitalized Patients with Alcohol Withdrawal.\",\"authors\":\"Harsh R Desai, Joan S Hyland, Erica Paulos, Eric Shaw, Nayda Parisio-Poldiak, Maulikkumar Patel\",\"doi\":\"10.55729/2000-9666.1420\",\"DOIUrl\":null,\"url\":null,\"abstract\":\"<p><strong>Background: </strong>Alcohol abuse leads to millions of hospital admissions each year in the United States. Alcohol withdrawal syndrome (AWS) is associated with several serious complications, including seizures, delirium tremens, and death. Benzodiazepines have been the mainstay of treatment for hospitalized patients with alcohol withdrawal.</p><p><strong>Objective: </strong>To compare hospital length of stay (LOS) among different protocols for the management of AWS in hospitalized patients.</p><p><strong>Methods: </strong>We conducted a retrospective study of 49,125 adult patients admitted over 4 years (2018-2022) to HCA Healthcare hospitals across the USA with a diagnosis of alcohol use disorder or alcohol withdrawal. Hospital LOS was the primary outcome examined across various treatment groups (chlordiazepoxide, diazepam, gabapentin, lorazepam, phenobarbital). Secondary outcomes included the initial Clinical Institute Withdrawal Assessment (CIWA) score, intensive care unit (ICU) admission rates, readmission rates, and mortality.</p><p><strong>Results: </strong>The average age of patients admitted was 48 years, and the majority (72%) were White males. Lorazepam was the most frequently used protocol and was associated with the lowest LOS (3.96 days). Patients treated with lorazepam had relatively higher initial CIWA scores. Only 11% of patients were admitted to the ICU during their hospitalization, and only 2% were intubated or ventilated. There were no 30-day readmissions, and less than 1% of patients admitted with a diagnosis of AWS died. Other protocols, such as gabapentin, diazepam, phenobarbital, and chlordiazepoxide, were less commonly used and had variable impacts on the outcomes studied.</p><p><strong>Conclusions: </strong>The results of this retrospective study support lorazepam as an effective treatment for AWS management. Future research should focus on comparing the effectiveness of alcohol withdrawal assessment tools in patients with baseline psychiatric disorders.</p>\",\"PeriodicalId\":15460,\"journal\":{\"name\":\"Journal of Community Hospital Internal Medicine Perspectives\",\"volume\":\"14 6\",\"pages\":\"35-42\"},\"PeriodicalIF\":0.6000,\"publicationDate\":\"2024-11-02\",\"publicationTypes\":\"Journal Article\",\"fieldsOfStudy\":null,\"isOpenAccess\":false,\"openAccessPdf\":\"https://www.ncbi.nlm.nih.gov/pmc/articles/PMC11745179/pdf/\",\"citationCount\":\"0\",\"resultStr\":null,\"platform\":\"Semanticscholar\",\"paperid\":null,\"PeriodicalName\":\"Journal of Community Hospital Internal Medicine Perspectives\",\"FirstCategoryId\":\"1085\",\"ListUrlMain\":\"https://doi.org/10.55729/2000-9666.1420\",\"RegionNum\":0,\"RegionCategory\":null,\"ArticlePicture\":[],\"TitleCN\":null,\"AbstractTextCN\":null,\"PMCID\":null,\"EPubDate\":\"2024/1/1 0:00:00\",\"PubModel\":\"eCollection\",\"JCR\":\"Q3\",\"JCRName\":\"MEDICINE, GENERAL & INTERNAL\",\"Score\":null,\"Total\":0}","platform":"Semanticscholar","paperid":null,"PeriodicalName":"Journal of Community Hospital Internal Medicine Perspectives","FirstCategoryId":"1085","ListUrlMain":"https://doi.org/10.55729/2000-9666.1420","RegionNum":0,"RegionCategory":null,"ArticlePicture":[],"TitleCN":null,"AbstractTextCN":null,"PMCID":null,"EPubDate":"2024/1/1 0:00:00","PubModel":"eCollection","JCR":"Q3","JCRName":"MEDICINE, GENERAL & INTERNAL","Score":null,"Total":0}
引用次数: 0

摘要

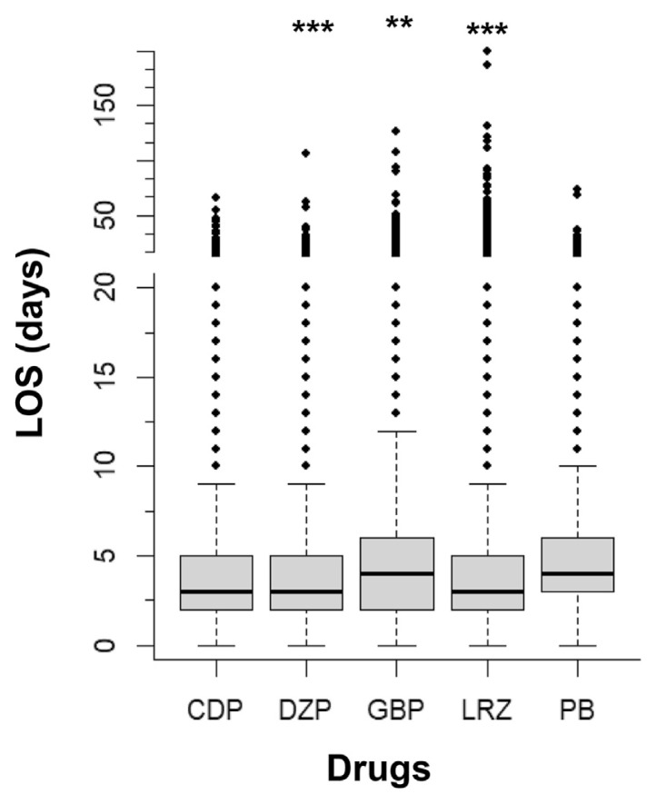
背景:在美国,酒精滥用每年导致数百万人住院。酒精戒断综合征(AWS)与一些严重的并发症有关,包括癫痫发作、震颤谵妄和死亡。苯二氮卓类药物一直是治疗酒精戒断住院患者的主要药物。目的:比较不同治疗方案对住院患者急性脑水肿的住院时间(LOS)的影响。方法:我们对49125名诊断为酒精使用障碍或酒精戒断的美国HCA医疗保健医院住院4年(2018-2022年)的成年患者进行了回顾性研究。医院LOS是不同治疗组(氯二氮吡嗪、地西泮、加巴喷丁、劳拉西泮、苯巴比妥)的主要结局。次要结局包括初始临床研究所戒断评估(CIWA)评分、重症监护病房(ICU)入院率、再入院率和死亡率。结果:住院患者平均年龄48岁,以白人男性居多(72%)。劳拉西泮是最常用的治疗方案,与最低的LOS(3.96天)相关。劳拉西泮治疗的患者初始CIWA评分相对较高。只有11%的患者在住院期间入住ICU,只有2%的患者进行了插管或通气。没有30天的再入院,不到1%的确诊为AWS的患者死亡。其他方案,如加巴喷丁、地西泮、苯巴比妥和氯二氮环氧化合物,使用较少,对研究结果有不同的影响。结论:本回顾性研究的结果支持劳拉西泮是一种有效的治疗AWS的方法。未来的研究应侧重于比较酒精戒断评估工具在基线精神障碍患者中的有效性。
本文章由计算机程序翻译,如有差异,请以英文原文为准。

Review of Attributes and Outcomes of Hospitalized Patients with Alcohol Withdrawal.

Review of Attributes and Outcomes of Hospitalized Patients with Alcohol Withdrawal.

Background: Alcohol abuse leads to millions of hospital admissions each year in the United States. Alcohol withdrawal syndrome (AWS) is associated with several serious complications, including seizures, delirium tremens, and death. Benzodiazepines have been the mainstay of treatment for hospitalized patients with alcohol withdrawal.

Objective: To compare hospital length of stay (LOS) among different protocols for the management of AWS in hospitalized patients.

Methods: We conducted a retrospective study of 49,125 adult patients admitted over 4 years (2018-2022) to HCA Healthcare hospitals across the USA with a diagnosis of alcohol use disorder or alcohol withdrawal. Hospital LOS was the primary outcome examined across various treatment groups (chlordiazepoxide, diazepam, gabapentin, lorazepam, phenobarbital). Secondary outcomes included the initial Clinical Institute Withdrawal Assessment (CIWA) score, intensive care unit (ICU) admission rates, readmission rates, and mortality.

Results: The average age of patients admitted was 48 years, and the majority (72%) were White males. Lorazepam was the most frequently used protocol and was associated with the lowest LOS (3.96 days). Patients treated with lorazepam had relatively higher initial CIWA scores. Only 11% of patients were admitted to the ICU during their hospitalization, and only 2% were intubated or ventilated. There were no 30-day readmissions, and less than 1% of patients admitted with a diagnosis of AWS died. Other protocols, such as gabapentin, diazepam, phenobarbital, and chlordiazepoxide, were less commonly used and had variable impacts on the outcomes studied.

Conclusions: The results of this retrospective study support lorazepam as an effective treatment for AWS management. Future research should focus on comparing the effectiveness of alcohol withdrawal assessment tools in patients with baseline psychiatric disorders.

求助全文
通过发布文献求助,成功后即可免费获取论文全文。 去求助
来源期刊
自引率
0.00%
发文量
106
审稿时长
17 weeks
期刊介绍: JCHIMP provides: up-to-date information in the field of Internal Medicine to community hospital medical professionals a platform for clinical faculty, residents, and medical students to publish research relevant to community hospital programs. Manuscripts that explore aspects of medicine at community hospitals welcome, including but not limited to: the best practices of community academic programs community hospital-based research opinion and insight from community hospital leadership and faculty the scholarly work of residents and medical students affiliated with community hospitals.
×
引用
GB/T 7714-2015
复制
MLA
复制
APA
复制
导出至
BibTeX EndNote RefMan NoteFirst NoteExpress
×
提示
您的信息不完整,为了账户安全,请先补充。
现在去补充
×
提示
您因"违规操作"
具体请查看互助需知
我知道了
×
提示
确定
请完成安全验证×
copy
已复制链接
快去分享给好友吧!
我知道了
右上角分享
点击右上角分享
0
联系我们:info@booksci.cn Book学术提供免费学术资源搜索服务,方便国内外学者检索中英文文献。致力于提供最便捷和优质的服务体验。 Copyright © 2023 布克学术 All rights reserved.
京ICP备2023020795号-1
ghs 京公网安备 11010802042870号
Book学术文献互助
Book学术文献互助群
群 号:604180095
Book学术官方微信