突尼斯撒哈拉沙漠南部两个地热绿洲嗜盐古菌群落的元分类分析。

IF 2.2 4区 生物学 Q3 MICROBIOLOGY
Afef Najjari, Khaled Elmnasri, Hanene Cherif, Stephen Burleigh, Amel Guesmi, Mouna Mahjoubi, Javier A Linares-Pastén, Ameur Cherif, Hadda-Imene Ouzari
{"title":"突尼斯撒哈拉沙漠南部两个地热绿洲嗜盐古菌群落的元分类分析。","authors":"Afef Najjari, Khaled Elmnasri, Hanene Cherif, Stephen Burleigh, Amel Guesmi, Mouna Mahjoubi, Javier A Linares-Pastén, Ameur Cherif, Hadda-Imene Ouzari","doi":"10.1093/femsle/fnae106","DOIUrl":null,"url":null,"abstract":"<p><p>This study assesses halophilic archaea's phylogenetic diversity in southern Tunisia's geothermal water. In the arid southern regions, limited surface freshwater resources make geothermal waters a vital source for oases and greenhouse irrigation. Three samples, including water, sediment, and halite soil crust, were collected downstream of two geothermal springs of the Ksar Ghilane (KGH) and Zaouet Al Aness (ZAN) oases, Tunisia. The samples were subjected to 16S rRNA gene sequencing using the Illumina Miseq sequencing approach. Several haloarchaea were identified in the geothermal springs. The average taxonomic composition revealed that 20 out of 33 genera were shared between the two geothermal sources, with uneven distribution, where the Halogranum genus was the most represented genus with an abundance of 18.9% and 11.58% for ZAW and KGH, respectively. Several unique site-specific genera were observed: Halonotius, Halopelagius, Natronorubrum, and Haloarcula in ZAN, and Haloprofundus, Halomarina, Halovivax, Haloplanus, Natrinema, Halobium, Natronoarchaeum, and Haloterrigena in the KGH pool. Most genus members are typically found in low-salinity ecosystems. These findings suggest that haloarchaea can disperse downstream from geothermal sources and may survive temperature and chemical fluctuations in the runoff.</p>","PeriodicalId":12214,"journal":{"name":"Fems Microbiology Letters","volume":" ","pages":""},"PeriodicalIF":2.2000,"publicationDate":"2025-01-10","publicationTypes":"Journal Article","fieldsOfStudy":null,"isOpenAccess":false,"openAccessPdf":"https://www.ncbi.nlm.nih.gov/pmc/articles/PMC11719619/pdf/","citationCount":"0","resultStr":"{\"title\":\"Metataxonomic analysis of halophilic archaea community in two geothermal oases in the southern Tunisian Sahara.\",\"authors\":\"Afef Najjari, Khaled Elmnasri, Hanene Cherif, Stephen Burleigh, Amel Guesmi, Mouna Mahjoubi, Javier A Linares-Pastén, Ameur Cherif, Hadda-Imene Ouzari\",\"doi\":\"10.1093/femsle/fnae106\",\"DOIUrl\":null,\"url\":null,\"abstract\":\"<p><p>This study assesses halophilic archaea's phylogenetic diversity in southern Tunisia's geothermal water. In the arid southern regions, limited surface freshwater resources make geothermal waters a vital source for oases and greenhouse irrigation. Three samples, including water, sediment, and halite soil crust, were collected downstream of two geothermal springs of the Ksar Ghilane (KGH) and Zaouet Al Aness (ZAN) oases, Tunisia. The samples were subjected to 16S rRNA gene sequencing using the Illumina Miseq sequencing approach. Several haloarchaea were identified in the geothermal springs. The average taxonomic composition revealed that 20 out of 33 genera were shared between the two geothermal sources, with uneven distribution, where the Halogranum genus was the most represented genus with an abundance of 18.9% and 11.58% for ZAW and KGH, respectively. Several unique site-specific genera were observed: Halonotius, Halopelagius, Natronorubrum, and Haloarcula in ZAN, and Haloprofundus, Halomarina, Halovivax, Haloplanus, Natrinema, Halobium, Natronoarchaeum, and Haloterrigena in the KGH pool. Most genus members are typically found in low-salinity ecosystems. These findings suggest that haloarchaea can disperse downstream from geothermal sources and may survive temperature and chemical fluctuations in the runoff.</p>\",\"PeriodicalId\":12214,\"journal\":{\"name\":\"Fems Microbiology Letters\",\"volume\":\" \",\"pages\":\"\"},\"PeriodicalIF\":2.2000,\"publicationDate\":\"2025-01-10\",\"publicationTypes\":\"Journal Article\",\"fieldsOfStudy\":null,\"isOpenAccess\":false,\"openAccessPdf\":\"https://www.ncbi.nlm.nih.gov/pmc/articles/PMC11719619/pdf/\",\"citationCount\":\"0\",\"resultStr\":null,\"platform\":\"Semanticscholar\",\"paperid\":null,\"PeriodicalName\":\"Fems Microbiology Letters\",\"FirstCategoryId\":\"99\",\"ListUrlMain\":\"https://doi.org/10.1093/femsle/fnae106\",\"RegionNum\":4,\"RegionCategory\":\"生物学\",\"ArticlePicture\":[],\"TitleCN\":null,\"AbstractTextCN\":null,\"PMCID\":null,\"EPubDate\":\"\",\"PubModel\":\"\",\"JCR\":\"Q3\",\"JCRName\":\"MICROBIOLOGY\",\"Score\":null,\"Total\":0}","platform":"Semanticscholar","paperid":null,"PeriodicalName":"Fems Microbiology Letters","FirstCategoryId":"99","ListUrlMain":"https://doi.org/10.1093/femsle/fnae106","RegionNum":4,"RegionCategory":"生物学","ArticlePicture":[],"TitleCN":null,"AbstractTextCN":null,"PMCID":null,"EPubDate":"","PubModel":"","JCR":"Q3","JCRName":"MICROBIOLOGY","Score":null,"Total":0}
引用次数: 0

摘要

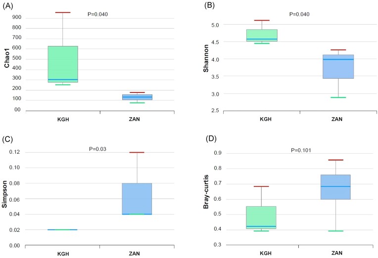
本研究评估了突尼斯南部地热水中嗜盐古细菌的系统发育多样性。在干旱的南方地区,有限的地表淡水资源使地热水成为绿洲和温室灌溉的重要来源。在突尼斯Ksar Ghilane (KGH)和Zaouet Al Aness (ZAN)绿洲的两个地热泉下游采集了水、沉积物和盐土结皮3个样品。采用Illumina Miseq测序方法对样品进行16S rRNA基因测序。在地热泉中发现了几种盐古菌。33个属中有20个属分布不均匀,其中以Halogranum属最具代表性,ZAW和KGH的丰度分别为18.9%和11.58%。发现了几个独特的特定地点属:ZAN中的Halonotius、Halopelagius、Natronorubrum和Haloarcula, KGH池中的haloproundus、Halomarina、Halovivax、Haloplanus、Natrinema、Halobium、Natronoarchaeum和Haloterrigena。大多数属成员通常在低盐度生态系统中发现。这些发现表明,盐古菌可以从地热源向下游扩散,并可能在径流的温度和化学波动中存活下来。
本文章由计算机程序翻译,如有差异,请以英文原文为准。

Metataxonomic analysis of halophilic archaea community in two geothermal oases in the southern Tunisian Sahara.

Metataxonomic analysis of halophilic archaea community in two geothermal oases in the southern Tunisian Sahara.

Metataxonomic analysis of halophilic archaea community in two geothermal oases in the southern Tunisian Sahara.

Metataxonomic analysis of halophilic archaea community in two geothermal oases in the southern Tunisian Sahara.

This study assesses halophilic archaea's phylogenetic diversity in southern Tunisia's geothermal water. In the arid southern regions, limited surface freshwater resources make geothermal waters a vital source for oases and greenhouse irrigation. Three samples, including water, sediment, and halite soil crust, were collected downstream of two geothermal springs of the Ksar Ghilane (KGH) and Zaouet Al Aness (ZAN) oases, Tunisia. The samples were subjected to 16S rRNA gene sequencing using the Illumina Miseq sequencing approach. Several haloarchaea were identified in the geothermal springs. The average taxonomic composition revealed that 20 out of 33 genera were shared between the two geothermal sources, with uneven distribution, where the Halogranum genus was the most represented genus with an abundance of 18.9% and 11.58% for ZAW and KGH, respectively. Several unique site-specific genera were observed: Halonotius, Halopelagius, Natronorubrum, and Haloarcula in ZAN, and Haloprofundus, Halomarina, Halovivax, Haloplanus, Natrinema, Halobium, Natronoarchaeum, and Haloterrigena in the KGH pool. Most genus members are typically found in low-salinity ecosystems. These findings suggest that haloarchaea can disperse downstream from geothermal sources and may survive temperature and chemical fluctuations in the runoff.

求助全文
通过发布文献求助,成功后即可免费获取论文全文。 去求助
来源期刊
Fems Microbiology Letters
Fems Microbiology Letters 生物-微生物学
CiteScore
4.30
自引率
0.00%
发文量
112
审稿时长
1.9 months
期刊介绍: FEMS Microbiology Letters gives priority to concise papers that merit rapid publication by virtue of their originality, general interest and contribution to new developments in microbiology. All aspects of microbiology, including virology, are covered. 2019 Impact Factor: 1.987, Journal Citation Reports (Source Clarivate, 2020) Ranking: 98/135 (Microbiology) The journal is divided into eight Sections: Physiology and Biochemistry (including genetics, molecular biology and ‘omic’ studies) Food Microbiology (from food production and biotechnology to spoilage and food borne pathogens) Biotechnology and Synthetic Biology Pathogens and Pathogenicity (including medical, veterinary, plant and insect pathogens – particularly those relating to food security – with the exception of viruses) Environmental Microbiology (including ecophysiology, ecogenomics and meta-omic studies) Virology (viruses infecting any organism, including Bacteria and Archaea) Taxonomy and Systematics (for publication of novel taxa, taxonomic reclassifications and reviews of a taxonomic nature) Professional Development (including education, training, CPD, research assessment frameworks, research and publication metrics, best-practice, careers and history of microbiology) If you are unsure which Section is most appropriate for your manuscript, for example in the case of transdisciplinary studies, we recommend that you contact the Editor-In-Chief by email prior to submission. Our scope includes any type of microorganism - all members of the Bacteria and the Archaea and microbial members of the Eukarya (yeasts, filamentous fungi, microbial algae, protozoa, oomycetes, myxomycetes, etc.) as well as all viruses.
×
引用
GB/T 7714-2015
复制
MLA
复制
APA
复制
导出至
BibTeX EndNote RefMan NoteFirst NoteExpress
×
提示
您的信息不完整,为了账户安全,请先补充。
现在去补充
×
提示
您因"违规操作"
具体请查看互助需知
我知道了
×
提示
确定
请完成安全验证×
copy
已复制链接
快去分享给好友吧!
我知道了
右上角分享
点击右上角分享
0
联系我们:info@booksci.cn Book学术提供免费学术资源搜索服务,方便国内外学者检索中英文文献。致力于提供最便捷和优质的服务体验。 Copyright © 2023 布克学术 All rights reserved.
京ICP备2023020795号-1
ghs 京公网安备 11010802042870号
Book学术文献互助
Book学术文献互助群
群 号:604180095
Book学术官方微信