强加和自我选择运动对老年女性和男性力量训练的感知和情感反应、肌肉功能、质量和功能的影响:一项随机试验。

IF 1.9 4区 医学 Q2 BIOLOGY
E D S A Garcia, S S Ferreira, R Lazzarotto, J K F da Silva, P C B Bento
{"title":"强加和自我选择运动对老年女性和男性力量训练的感知和情感反应、肌肉功能、质量和功能的影响:一项随机试验。","authors":"E D S A Garcia, S S Ferreira, R Lazzarotto, J K F da Silva, P C B Bento","doi":"10.1590/1414-431X2024e13968","DOIUrl":null,"url":null,"abstract":"<p><p>The objective of the present randomized trial was to verify the effect of twelve weeks of strength training with self-selected and imposed loads on muscle function, functionality, muscle quality, and perceptual and affective responses in elderly men and women. Twenty-four volunteers were divided into two groups of 12 individuals each: self-selected group (SS) (8 women, 4 men; mean age=66.92±6.18 years) and imposed group (IMP) (8 women, 4 men; mean age=65.33±2.42 years). The strength exercise program lasted 12 weeks (3 d/w). All exercises were performed on machines. The SS group was instructed to select a weight that would allow them to complete three sets of 10 repetitions, while the IMP group had the load imposed by the researchers following the exercise prescription model recommended by American College of Sports Medicine (ACSM). Rated perceived exertion (RPE) and affective responses were recorded at the end of each session. Muscle function, functionality, and muscle quality were assessed before and after the intervention. Both groups demonstrated similar improvements in strength and functional capacity. Furthermore, the SS group reported lower RPE and higher affective responses compared to the IMP group at 8-12 weeks. In summary, the findings from this study highlighted the effectiveness of both IMP and SS intensity resistance training programs in enhancing muscle strength and functional capacity among older adults.</p>","PeriodicalId":9088,"journal":{"name":"Brazilian Journal of Medical and Biological Research","volume":"57 ","pages":"e13968"},"PeriodicalIF":1.9000,"publicationDate":"2024-12-02","publicationTypes":"Journal Article","fieldsOfStudy":null,"isOpenAccess":false,"openAccessPdf":"https://www.ncbi.nlm.nih.gov/pmc/articles/PMC11653500/pdf/","citationCount":"0","resultStr":"{\"title\":\"Effects of imposed and self-selected exercise on perceptual and affective responses, muscle function, quality, and functionality of strength training in older women and men: a randomized trial.\",\"authors\":\"E D S A Garcia, S S Ferreira, R Lazzarotto, J K F da Silva, P C B Bento\",\"doi\":\"10.1590/1414-431X2024e13968\",\"DOIUrl\":null,\"url\":null,\"abstract\":\"<p><p>The objective of the present randomized trial was to verify the effect of twelve weeks of strength training with self-selected and imposed loads on muscle function, functionality, muscle quality, and perceptual and affective responses in elderly men and women. Twenty-four volunteers were divided into two groups of 12 individuals each: self-selected group (SS) (8 women, 4 men; mean age=66.92±6.18 years) and imposed group (IMP) (8 women, 4 men; mean age=65.33±2.42 years). The strength exercise program lasted 12 weeks (3 d/w). All exercises were performed on machines. The SS group was instructed to select a weight that would allow them to complete three sets of 10 repetitions, while the IMP group had the load imposed by the researchers following the exercise prescription model recommended by American College of Sports Medicine (ACSM). Rated perceived exertion (RPE) and affective responses were recorded at the end of each session. Muscle function, functionality, and muscle quality were assessed before and after the intervention. Both groups demonstrated similar improvements in strength and functional capacity. Furthermore, the SS group reported lower RPE and higher affective responses compared to the IMP group at 8-12 weeks. In summary, the findings from this study highlighted the effectiveness of both IMP and SS intensity resistance training programs in enhancing muscle strength and functional capacity among older adults.</p>\",\"PeriodicalId\":9088,\"journal\":{\"name\":\"Brazilian Journal of Medical and Biological Research\",\"volume\":\"57 \",\"pages\":\"e13968\"},\"PeriodicalIF\":1.9000,\"publicationDate\":\"2024-12-02\",\"publicationTypes\":\"Journal Article\",\"fieldsOfStudy\":null,\"isOpenAccess\":false,\"openAccessPdf\":\"https://www.ncbi.nlm.nih.gov/pmc/articles/PMC11653500/pdf/\",\"citationCount\":\"0\",\"resultStr\":null,\"platform\":\"Semanticscholar\",\"paperid\":null,\"PeriodicalName\":\"Brazilian Journal of Medical and Biological Research\",\"FirstCategoryId\":\"3\",\"ListUrlMain\":\"https://doi.org/10.1590/1414-431X2024e13968\",\"RegionNum\":4,\"RegionCategory\":\"医学\",\"ArticlePicture\":[],\"TitleCN\":null,\"AbstractTextCN\":null,\"PMCID\":null,\"EPubDate\":\"2024/1/1 0:00:00\",\"PubModel\":\"eCollection\",\"JCR\":\"Q2\",\"JCRName\":\"BIOLOGY\",\"Score\":null,\"Total\":0}","platform":"Semanticscholar","paperid":null,"PeriodicalName":"Brazilian Journal of Medical and Biological Research","FirstCategoryId":"3","ListUrlMain":"https://doi.org/10.1590/1414-431X2024e13968","RegionNum":4,"RegionCategory":"医学","ArticlePicture":[],"TitleCN":null,"AbstractTextCN":null,"PMCID":null,"EPubDate":"2024/1/1 0:00:00","PubModel":"eCollection","JCR":"Q2","JCRName":"BIOLOGY","Score":null,"Total":0}
引用次数: 0

摘要

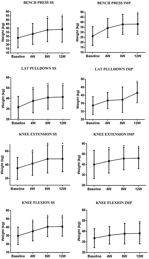
本随机试验的目的是验证12周自我选择和强加负荷的力量训练对老年男性和女性肌肉功能、功能、肌肉质量以及感知和情感反应的影响。24名志愿者被分为两组,每组12人:自我选择组(SS)(8名女性,4名男性;平均年龄=66.92±6.18岁)和强加组(IMP)(女性8人,男性4人;平均年龄=65.33±2.42岁)。力量训练计划持续12周(3 d/w)。所有的锻炼都在机器上进行。SS组被要求选择一个可以让他们完成三组10次重复的重量,而IMP组的负荷是由研究人员根据美国运动医学学院(ACSM)推荐的运动处方模型施加的。在每个疗程结束时,记录受试者的感知运动强度(RPE)和情感反应。在干预前后评估肌肉功能、功能性和肌肉质量。两组在力量和功能能力方面表现出相似的改善。此外,在8-12周时,与IMP组相比,SS组报告了更低的RPE和更高的情感反应。总之,这项研究的结果强调了IMP和SS强度阻力训练计划在增强老年人肌肉力量和功能能力方面的有效性。
本文章由计算机程序翻译,如有差异,请以英文原文为准。

Effects of imposed and self-selected exercise on perceptual and affective responses, muscle function, quality, and functionality of strength training in older women and men: a randomized trial.

Effects of imposed and self-selected exercise on perceptual and affective responses, muscle function, quality, and functionality of strength training in older women and men: a randomized trial.

The objective of the present randomized trial was to verify the effect of twelve weeks of strength training with self-selected and imposed loads on muscle function, functionality, muscle quality, and perceptual and affective responses in elderly men and women. Twenty-four volunteers were divided into two groups of 12 individuals each: self-selected group (SS) (8 women, 4 men; mean age=66.92±6.18 years) and imposed group (IMP) (8 women, 4 men; mean age=65.33±2.42 years). The strength exercise program lasted 12 weeks (3 d/w). All exercises were performed on machines. The SS group was instructed to select a weight that would allow them to complete three sets of 10 repetitions, while the IMP group had the load imposed by the researchers following the exercise prescription model recommended by American College of Sports Medicine (ACSM). Rated perceived exertion (RPE) and affective responses were recorded at the end of each session. Muscle function, functionality, and muscle quality were assessed before and after the intervention. Both groups demonstrated similar improvements in strength and functional capacity. Furthermore, the SS group reported lower RPE and higher affective responses compared to the IMP group at 8-12 weeks. In summary, the findings from this study highlighted the effectiveness of both IMP and SS intensity resistance training programs in enhancing muscle strength and functional capacity among older adults.

求助全文
通过发布文献求助,成功后即可免费获取论文全文。 去求助
来源期刊
CiteScore
4.00
自引率
0.00%
发文量
129
审稿时长
2 months
期刊介绍: The Brazilian Journal of Medical and Biological Research, founded by Michel Jamra, is edited and published monthly by the Associação Brasileira de Divulgação Científica (ABDC), a federation of Brazilian scientific societies: - Sociedade Brasileira de Biofísica (SBBf) - Sociedade Brasileira de Farmacologia e Terapêutica Experimental (SBFTE) - Sociedade Brasileira de Fisiologia (SBFis) - Sociedade Brasileira de Imunologia (SBI) - Sociedade Brasileira de Investigação Clínica (SBIC) - Sociedade Brasileira de Neurociências e Comportamento (SBNeC).
×
引用
GB/T 7714-2015
复制
MLA
复制
APA
复制
导出至
BibTeX EndNote RefMan NoteFirst NoteExpress
×
提示
您的信息不完整,为了账户安全,请先补充。
现在去补充
×
提示
您因"违规操作"
具体请查看互助需知
我知道了
×
提示
确定
请完成安全验证×
copy
已复制链接
快去分享给好友吧!
我知道了
右上角分享
点击右上角分享
0
联系我们:info@booksci.cn Book学术提供免费学术资源搜索服务,方便国内外学者检索中英文文献。致力于提供最便捷和优质的服务体验。 Copyright © 2023 布克学术 All rights reserved.
京ICP备2023020795号-1
ghs 京公网安备 11010802042870号
Book学术文献互助
Book学术文献互助群
群 号:604180095
Book学术官方微信