胃癌气敏蛋白的诊断和预后价值。

IF 1.9 4区 医学 Q2 BIOLOGY
Yeqiong Xu, Jie Chen, Ping Wang, Huanhuan Chen, Yilin Zhao, Xuexian Cao, Chuandan Wan, Yulan Gu
{"title":"胃癌气敏蛋白的诊断和预后价值。","authors":"Yeqiong Xu, Jie Chen, Ping Wang, Huanhuan Chen, Yilin Zhao, Xuexian Cao, Chuandan Wan, Yulan Gu","doi":"10.1590/1414-431X2024e13817","DOIUrl":null,"url":null,"abstract":"<p><p>Pyroptosis has attracted attention due to its role in various cancers. Recently, gasdermins (GSDMs) involved in pyroptosis have been reported to be associated with several types of cancers. However, the role of GSDMs expression in the diagnosis and prognosis of gastric cancer (GC) is still not well understood. We analyzed the transcriptional and prognostic information and the role of GSDMs in patients with GC from TIMER, UALCAN, Human Protein Atlas (HPA), GEPIA, and Kaplan-Meier Plotter databases. The cBioPortal platform was used to discover the genetic alterations, significance, and networks of GSDMs. Furthermore, STRING, Cytoscape, and TIMER were used to explore functional enrichment and immunomodulation. GSDMB, GSDMC, GSDMD, and GSDME were more highly expressed in GC than in normal tissues in the TIMER database. Moreover, survival analyses in two databases showed that high expression of GSDME was related to shorter overall survival (OS) in patients with GC. Additionally, functional enrichment revealed that GSDMs may be involved in endopeptidase activity, peptidase regulatory activity, and cysteine peptidase activity. GSDMs correlated with infiltration levels of immune cells in GC, and GSDME correlated with the infiltrating level of CD4+ T, CD8+ T, neutrophils, macrophages, and dendritic cells. This study indicated the potential diagnostic and prognostic value of GSDMs in GC. Our results showed that GSDME could play a significant oncogenic role in GC diagnosis and prognosis. However, our bioinformatics analyses should be validated in further prospective studies.</p>","PeriodicalId":9088,"journal":{"name":"Brazilian Journal of Medical and Biological Research","volume":"57 ","pages":"e13817"},"PeriodicalIF":1.9000,"publicationDate":"2024-11-25","publicationTypes":"Journal Article","fieldsOfStudy":null,"isOpenAccess":false,"openAccessPdf":"https://www.ncbi.nlm.nih.gov/pmc/articles/PMC11653469/pdf/","citationCount":"0","resultStr":"{\"title\":\"Diagnostic and prognostic value of the gasdermins in gastric cancer.\",\"authors\":\"Yeqiong Xu, Jie Chen, Ping Wang, Huanhuan Chen, Yilin Zhao, Xuexian Cao, Chuandan Wan, Yulan Gu\",\"doi\":\"10.1590/1414-431X2024e13817\",\"DOIUrl\":null,\"url\":null,\"abstract\":\"<p><p>Pyroptosis has attracted attention due to its role in various cancers. Recently, gasdermins (GSDMs) involved in pyroptosis have been reported to be associated with several types of cancers. However, the role of GSDMs expression in the diagnosis and prognosis of gastric cancer (GC) is still not well understood. We analyzed the transcriptional and prognostic information and the role of GSDMs in patients with GC from TIMER, UALCAN, Human Protein Atlas (HPA), GEPIA, and Kaplan-Meier Plotter databases. The cBioPortal platform was used to discover the genetic alterations, significance, and networks of GSDMs. Furthermore, STRING, Cytoscape, and TIMER were used to explore functional enrichment and immunomodulation. GSDMB, GSDMC, GSDMD, and GSDME were more highly expressed in GC than in normal tissues in the TIMER database. Moreover, survival analyses in two databases showed that high expression of GSDME was related to shorter overall survival (OS) in patients with GC. Additionally, functional enrichment revealed that GSDMs may be involved in endopeptidase activity, peptidase regulatory activity, and cysteine peptidase activity. GSDMs correlated with infiltration levels of immune cells in GC, and GSDME correlated with the infiltrating level of CD4+ T, CD8+ T, neutrophils, macrophages, and dendritic cells. This study indicated the potential diagnostic and prognostic value of GSDMs in GC. Our results showed that GSDME could play a significant oncogenic role in GC diagnosis and prognosis. However, our bioinformatics analyses should be validated in further prospective studies.</p>\",\"PeriodicalId\":9088,\"journal\":{\"name\":\"Brazilian Journal of Medical and Biological Research\",\"volume\":\"57 \",\"pages\":\"e13817\"},\"PeriodicalIF\":1.9000,\"publicationDate\":\"2024-11-25\",\"publicationTypes\":\"Journal Article\",\"fieldsOfStudy\":null,\"isOpenAccess\":false,\"openAccessPdf\":\"https://www.ncbi.nlm.nih.gov/pmc/articles/PMC11653469/pdf/\",\"citationCount\":\"0\",\"resultStr\":null,\"platform\":\"Semanticscholar\",\"paperid\":null,\"PeriodicalName\":\"Brazilian Journal of Medical and Biological Research\",\"FirstCategoryId\":\"3\",\"ListUrlMain\":\"https://doi.org/10.1590/1414-431X2024e13817\",\"RegionNum\":4,\"RegionCategory\":\"医学\",\"ArticlePicture\":[],\"TitleCN\":null,\"AbstractTextCN\":null,\"PMCID\":null,\"EPubDate\":\"2024/1/1 0:00:00\",\"PubModel\":\"eCollection\",\"JCR\":\"Q2\",\"JCRName\":\"BIOLOGY\",\"Score\":null,\"Total\":0}","platform":"Semanticscholar","paperid":null,"PeriodicalName":"Brazilian Journal of Medical and Biological Research","FirstCategoryId":"3","ListUrlMain":"https://doi.org/10.1590/1414-431X2024e13817","RegionNum":4,"RegionCategory":"医学","ArticlePicture":[],"TitleCN":null,"AbstractTextCN":null,"PMCID":null,"EPubDate":"2024/1/1 0:00:00","PubModel":"eCollection","JCR":"Q2","JCRName":"BIOLOGY","Score":null,"Total":0}
引用次数: 0

摘要

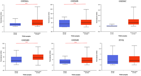
由于在各种癌症中的作用,热蛋白沉积引起了人们的关注。最近,有报道称参与化脓过程的气敏蛋白(GSDMs)与多种癌症有关。然而,GSDMs的表达在胃癌(GC)的诊断和预后中的作用仍不甚明了。我们分析了 TIMER、UALCAN、人类蛋白质图谱(HPA)、GEPIA 和 Kaplan-Meier Plotter 数据库中的转录和预后信息以及 GSDMs 在胃癌患者中的作用。cBioPortal 平台用于发现 GSDMs 的基因改变、意义和网络。此外,还利用 STRING、Cytoscape 和 TIMER 来探索功能富集和免疫调节。在TIMER数据库中,GSDMB、GSDMC、GSDMD和GSDME在GC中的表达高于正常组织。此外,两个数据库的生存分析表明,GSDME的高表达与GC患者较短的总生存期(OS)有关。此外,功能富集显示 GSDMs 可能参与了内肽酶活性、肽酶调节活性和半胱氨酸肽酶活性。GSDMs 与 GC 免疫细胞的浸润水平相关,GSDME 与 CD4+ T、CD8+ T、中性粒细胞、巨噬细胞和树突状细胞的浸润水平相关。这项研究表明,GSDMs 在 GC 中具有潜在的诊断和预后价值。我们的研究结果表明,GSDME 在 GC 的诊断和预后中可发挥重要的致癌作用。然而,我们的生物信息学分析还需要在进一步的前瞻性研究中加以验证。
本文章由计算机程序翻译,如有差异,请以英文原文为准。

Diagnostic and prognostic value of the gasdermins in gastric cancer.

Diagnostic and prognostic value of the gasdermins in gastric cancer.

Diagnostic and prognostic value of the gasdermins in gastric cancer.

Diagnostic and prognostic value of the gasdermins in gastric cancer.

Pyroptosis has attracted attention due to its role in various cancers. Recently, gasdermins (GSDMs) involved in pyroptosis have been reported to be associated with several types of cancers. However, the role of GSDMs expression in the diagnosis and prognosis of gastric cancer (GC) is still not well understood. We analyzed the transcriptional and prognostic information and the role of GSDMs in patients with GC from TIMER, UALCAN, Human Protein Atlas (HPA), GEPIA, and Kaplan-Meier Plotter databases. The cBioPortal platform was used to discover the genetic alterations, significance, and networks of GSDMs. Furthermore, STRING, Cytoscape, and TIMER were used to explore functional enrichment and immunomodulation. GSDMB, GSDMC, GSDMD, and GSDME were more highly expressed in GC than in normal tissues in the TIMER database. Moreover, survival analyses in two databases showed that high expression of GSDME was related to shorter overall survival (OS) in patients with GC. Additionally, functional enrichment revealed that GSDMs may be involved in endopeptidase activity, peptidase regulatory activity, and cysteine peptidase activity. GSDMs correlated with infiltration levels of immune cells in GC, and GSDME correlated with the infiltrating level of CD4+ T, CD8+ T, neutrophils, macrophages, and dendritic cells. This study indicated the potential diagnostic and prognostic value of GSDMs in GC. Our results showed that GSDME could play a significant oncogenic role in GC diagnosis and prognosis. However, our bioinformatics analyses should be validated in further prospective studies.

求助全文
通过发布文献求助,成功后即可免费获取论文全文。 去求助
来源期刊
CiteScore
4.00
自引率
0.00%
发文量
129
审稿时长
2 months
期刊介绍: The Brazilian Journal of Medical and Biological Research, founded by Michel Jamra, is edited and published monthly by the Associação Brasileira de Divulgação Científica (ABDC), a federation of Brazilian scientific societies: - Sociedade Brasileira de Biofísica (SBBf) - Sociedade Brasileira de Farmacologia e Terapêutica Experimental (SBFTE) - Sociedade Brasileira de Fisiologia (SBFis) - Sociedade Brasileira de Imunologia (SBI) - Sociedade Brasileira de Investigação Clínica (SBIC) - Sociedade Brasileira de Neurociências e Comportamento (SBNeC).
×
引用
GB/T 7714-2015
复制
MLA
复制
APA
复制
导出至
BibTeX EndNote RefMan NoteFirst NoteExpress
×
提示
您的信息不完整,为了账户安全,请先补充。
现在去补充
×
提示
您因"违规操作"
具体请查看互助需知
我知道了
×
提示
确定
请完成安全验证×
copy
已复制链接
快去分享给好友吧!
我知道了
右上角分享
点击右上角分享
0
联系我们:info@booksci.cn Book学术提供免费学术资源搜索服务,方便国内外学者检索中英文文献。致力于提供最便捷和优质的服务体验。 Copyright © 2023 布克学术 All rights reserved.
京ICP备2023020795号-1
ghs 京公网安备 11010802042870号
Book学术文献互助
Book学术文献互助群
群 号:604180095
Book学术官方微信