含乳球菌 T21 菌株的食物对改善皮肤状况的影响:一项随机、双盲、安慰剂对照、平行组研究。

IF 2.9 Q3 MICROBIOLOGY
Bioscience of microbiota, food and health Pub Date : 2024-01-01 Epub Date: 2024-08-06 DOI:10.12938/bmfh.2023-086
Kazuya Uehara, Yosuke Sunada, Sumio Kondo, Shinji Matsuo
{"title":"含乳球菌 T21 菌株的食物对改善皮肤状况的影响:一项随机、双盲、安慰剂对照、平行组研究。","authors":"Kazuya Uehara, Yosuke Sunada, Sumio Kondo, Shinji Matsuo","doi":"10.12938/bmfh.2023-086","DOIUrl":null,"url":null,"abstract":"<p><p>This research aimed to examine the effect of daily intake of food containing <i>Lactococcus lactis</i> strain T21 (T21) on skin conditions and inflammation-related markers in healthy adults who experience itching because of dry skin and have an atopic predisposition. A randomized, double-blind, placebo-controlled parallel-group study was conducted on 44 subjects aged 20 to 64 years. Subjects were randomly assigned to receive a T21-containing food or placebo daily for 8 weeks. The hydration of stratum corneum, trans-epidermal water loss, skin brightness (<i>L</i>*), skin redness (<i>a</i>*), and quality of life (QOL) scores were evaluated. Moreover, SCCA2, Th1/Th2, peripheral blood eosinophil count, TGF-β1, TARC, total IgE, and LDH were measured as inflammation-related markers. The results showed that, compared with the placebo, food containing T21 reduced trans-epidermal water loss in the neck and increased neck skin brightness (<i>L</i>*) after 8 weeks of consumption. Furthermore, a stratified analysis in subjects with a history of atopy showed improvements in neck skin redness (<i>a</i>*) and skin-related QOL. No significant improvement in inflammation-related markers was observed. Intake of food containing T21 for 8 weeks in healthy adult with atopic predisposition was suggested to improve skin barrier function in the neck and brightness in the neck skin. Furthermore, the results also suggested that it had the effect of improving rough skin and reducing discomfort due to dryness in healthy adults with a history of atopy.</p>","PeriodicalId":93908,"journal":{"name":"Bioscience of microbiota, food and health","volume":"43 4","pages":"381-390"},"PeriodicalIF":2.9000,"publicationDate":"2024-01-01","publicationTypes":"Journal Article","fieldsOfStudy":null,"isOpenAccess":false,"openAccessPdf":"https://www.ncbi.nlm.nih.gov/pmc/articles/PMC11444856/pdf/","citationCount":"0","resultStr":"{\"title\":\"Effects of food containing <i>Lactococcus lactis</i> strain T21 on the improvement of skin condition: a randomized, double-blind, placebo-controlled, parallel-group study.\",\"authors\":\"Kazuya Uehara, Yosuke Sunada, Sumio Kondo, Shinji Matsuo\",\"doi\":\"10.12938/bmfh.2023-086\",\"DOIUrl\":null,\"url\":null,\"abstract\":\"<p><p>This research aimed to examine the effect of daily intake of food containing <i>Lactococcus lactis</i> strain T21 (T21) on skin conditions and inflammation-related markers in healthy adults who experience itching because of dry skin and have an atopic predisposition. A randomized, double-blind, placebo-controlled parallel-group study was conducted on 44 subjects aged 20 to 64 years. Subjects were randomly assigned to receive a T21-containing food or placebo daily for 8 weeks. The hydration of stratum corneum, trans-epidermal water loss, skin brightness (<i>L</i>*), skin redness (<i>a</i>*), and quality of life (QOL) scores were evaluated. Moreover, SCCA2, Th1/Th2, peripheral blood eosinophil count, TGF-β1, TARC, total IgE, and LDH were measured as inflammation-related markers. The results showed that, compared with the placebo, food containing T21 reduced trans-epidermal water loss in the neck and increased neck skin brightness (<i>L</i>*) after 8 weeks of consumption. Furthermore, a stratified analysis in subjects with a history of atopy showed improvements in neck skin redness (<i>a</i>*) and skin-related QOL. No significant improvement in inflammation-related markers was observed. Intake of food containing T21 for 8 weeks in healthy adult with atopic predisposition was suggested to improve skin barrier function in the neck and brightness in the neck skin. Furthermore, the results also suggested that it had the effect of improving rough skin and reducing discomfort due to dryness in healthy adults with a history of atopy.</p>\",\"PeriodicalId\":93908,\"journal\":{\"name\":\"Bioscience of microbiota, food and health\",\"volume\":\"43 4\",\"pages\":\"381-390\"},\"PeriodicalIF\":2.9000,\"publicationDate\":\"2024-01-01\",\"publicationTypes\":\"Journal Article\",\"fieldsOfStudy\":null,\"isOpenAccess\":false,\"openAccessPdf\":\"https://www.ncbi.nlm.nih.gov/pmc/articles/PMC11444856/pdf/\",\"citationCount\":\"0\",\"resultStr\":null,\"platform\":\"Semanticscholar\",\"paperid\":null,\"PeriodicalName\":\"Bioscience of microbiota, food and health\",\"FirstCategoryId\":\"1085\",\"ListUrlMain\":\"https://doi.org/10.12938/bmfh.2023-086\",\"RegionNum\":0,\"RegionCategory\":null,\"ArticlePicture\":[],\"TitleCN\":null,\"AbstractTextCN\":null,\"PMCID\":null,\"EPubDate\":\"2024/8/6 0:00:00\",\"PubModel\":\"Epub\",\"JCR\":\"Q3\",\"JCRName\":\"MICROBIOLOGY\",\"Score\":null,\"Total\":0}","platform":"Semanticscholar","paperid":null,"PeriodicalName":"Bioscience of microbiota, food and health","FirstCategoryId":"1085","ListUrlMain":"https://doi.org/10.12938/bmfh.2023-086","RegionNum":0,"RegionCategory":null,"ArticlePicture":[],"TitleCN":null,"AbstractTextCN":null,"PMCID":null,"EPubDate":"2024/8/6 0:00:00","PubModel":"Epub","JCR":"Q3","JCRName":"MICROBIOLOGY","Score":null,"Total":0}
引用次数: 0

摘要

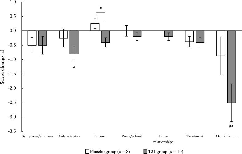
这项研究旨在探讨每天摄入含有乳酸乳球菌菌株 T21(T21)的食物对因皮肤干燥而瘙痒并有特应性皮炎倾向的健康成年人的皮肤状况和炎症相关指标的影响。一项随机、双盲、安慰剂对照的平行组研究在 44 名 20 至 64 岁的受试者中进行。受试者被随机分配到每天服用含 T21 的食品或安慰剂,为期 8 周。研究人员对受试者的角质层水合作用、跨表皮失水、皮肤亮度(L*)、皮肤发红(a*)和生活质量(QOL)评分进行了评估。此外,还测量了 SCCA2、Th1/Th2、外周血嗜酸性粒细胞计数、TGF-β1、TARC、总 IgE 和 LDH 等炎症相关指标。结果表明,与安慰剂相比,食用 T21 8 周后,含 T21 的食物可减少颈部跨表皮失水,增加颈部皮肤亮度(L*)。此外,对有过敏史的受试者进行的分层分析表明,颈部皮肤发红(a*)和与皮肤相关的 QOL 均有所改善。与炎症相关的指标未见明显改善。在有特应性倾向的健康成年人中连续 8 周摄入含有 T21 的食物,可改善颈部皮肤屏障功能和颈部皮肤亮度。此外,研究结果还表明,对于有特应性皮炎病史的健康成年人来说,T21 还具有改善皮肤粗糙和减轻因干燥引起的不适感的作用。
本文章由计算机程序翻译,如有差异,请以英文原文为准。

Effects of food containing <i>Lactococcus lactis</i> strain T21 on the improvement of skin condition: a randomized, double-blind, placebo-controlled, parallel-group study.

Effects of food containing <i>Lactococcus lactis</i> strain T21 on the improvement of skin condition: a randomized, double-blind, placebo-controlled, parallel-group study.

Effects of food containing <i>Lactococcus lactis</i> strain T21 on the improvement of skin condition: a randomized, double-blind, placebo-controlled, parallel-group study.

Effects of food containing Lactococcus lactis strain T21 on the improvement of skin condition: a randomized, double-blind, placebo-controlled, parallel-group study.

This research aimed to examine the effect of daily intake of food containing Lactococcus lactis strain T21 (T21) on skin conditions and inflammation-related markers in healthy adults who experience itching because of dry skin and have an atopic predisposition. A randomized, double-blind, placebo-controlled parallel-group study was conducted on 44 subjects aged 20 to 64 years. Subjects were randomly assigned to receive a T21-containing food or placebo daily for 8 weeks. The hydration of stratum corneum, trans-epidermal water loss, skin brightness (L*), skin redness (a*), and quality of life (QOL) scores were evaluated. Moreover, SCCA2, Th1/Th2, peripheral blood eosinophil count, TGF-β1, TARC, total IgE, and LDH were measured as inflammation-related markers. The results showed that, compared with the placebo, food containing T21 reduced trans-epidermal water loss in the neck and increased neck skin brightness (L*) after 8 weeks of consumption. Furthermore, a stratified analysis in subjects with a history of atopy showed improvements in neck skin redness (a*) and skin-related QOL. No significant improvement in inflammation-related markers was observed. Intake of food containing T21 for 8 weeks in healthy adult with atopic predisposition was suggested to improve skin barrier function in the neck and brightness in the neck skin. Furthermore, the results also suggested that it had the effect of improving rough skin and reducing discomfort due to dryness in healthy adults with a history of atopy.

求助全文
通过发布文献求助,成功后即可免费获取论文全文。 去求助
来源期刊
CiteScore
6.20
自引率
0.00%
发文量
0
×
引用
GB/T 7714-2015
复制
MLA
复制
APA
复制
导出至
BibTeX EndNote RefMan NoteFirst NoteExpress
×
提示
您的信息不完整,为了账户安全,请先补充。
现在去补充
×
提示
您因"违规操作"
具体请查看互助需知
我知道了
×
提示
确定
请完成安全验证×
copy
已复制链接
快去分享给好友吧!
我知道了
右上角分享
点击右上角分享
0
联系我们:info@booksci.cn Book学术提供免费学术资源搜索服务,方便国内外学者检索中英文文献。致力于提供最便捷和优质的服务体验。 Copyright © 2023 布克学术 All rights reserved.
京ICP备2023020795号-1
ghs 京公网安备 11010802042870号
Book学术文献互助
Book学术文献互助群
群 号:604180095
Book学术官方微信