坚果和种子的食用量与心血管疾病、糖尿病和代谢性疾病、癌症和死亡率等健康结果:综述》。

IF 9.2
Rajiv Balakrishna, Tonje Bjørnerud, Mitra Bemanian, Dagfinn Aune, Lars T Fadnes
{"title":"坚果和种子的食用量与心血管疾病、糖尿病和代谢性疾病、癌症和死亡率等健康结果:综述》。","authors":"Rajiv Balakrishna, Tonje Bjørnerud, Mitra Bemanian, Dagfinn Aune, Lars T Fadnes","doi":"10.1093/advances/nmac077","DOIUrl":null,"url":null,"abstract":"<p><p>Consumption of nuts and seeds is associated with a range of health outcomes. Summarizing the best evidence on essential health outcomes from the consumption of nuts is essential to provide optimal recommendations. Our objective is to comprehensively assess health outcome associations related to the consumption of nuts and seeds, using a culinary definition including tree nuts and peanuts (registered in PROSPERO: CRD42021258300). Health outcomes of interest include cardiovascular disease, cancer, diabetes, obesity, respiratory disease, mortality, and their disease biomarkers. We present associations for high compared with low consumption, per serving, and dose-response relations. MEDLINE, Embase, Cochrane, and Epistemonikos were searched and screened for systematic reviews and meta-analyses. Evidence was extracted from 89 articles on the consumption of nuts and relevant health outcomes, including 23 articles with meta-analysis on disease and mortality, 66 articles on biomarkers for disease, and 9 articles on allergy/adverse outcomes. Intake of nuts was associated with reduced risk of cardiovascular diseases and related risk factors, with moderate quality of evidence. An intake of 28 g/d nuts compared with not eating nuts was associated with a 21% RR reduction of cardiovascular disease (including coronary heart disease incidence and mortality, atrial fibrillation, and stroke mortality), an 11% risk reduction of cancer deaths, and 22% reduction in all-cause mortality. Nut consumption was also inversely associated with mortality from respiratory diseases, infectious diseases, and diabetes; however, associations between nut consumption and diabetes incidence were mixed. Meta-analyses of trials on biomarkers for disease generally mirrored meta-analyses from observational studies on cardiovascular disease, cancers, and diabetes. Allergy and related adverse reactions to nuts were observed in 1-2% of adult populations, with substantial heterogeneity between studies. Overall, the current evidence supports dietary recommendations to consume a handful of nuts and seeds per day for people without allergies to these foods.</p>","PeriodicalId":72101,"journal":{"name":"Advances in nutrition (Bethesda, Md.)","volume":"13 6","pages":"2136-2148"},"PeriodicalIF":9.2000,"publicationDate":"2022-12-22","publicationTypes":"Journal Article","fieldsOfStudy":null,"isOpenAccess":false,"openAccessPdf":"https://www.ncbi.nlm.nih.gov/pmc/articles/PMC9776667/pdf/","citationCount":"0","resultStr":"{\"title\":\"Consumption of Nuts and Seeds and Health Outcomes Including Cardiovascular Disease, Diabetes and Metabolic Disease, Cancer, and Mortality: An Umbrella Review.\",\"authors\":\"Rajiv Balakrishna, Tonje Bjørnerud, Mitra Bemanian, Dagfinn Aune, Lars T Fadnes\",\"doi\":\"10.1093/advances/nmac077\",\"DOIUrl\":null,\"url\":null,\"abstract\":\"<p><p>Consumption of nuts and seeds is associated with a range of health outcomes. Summarizing the best evidence on essential health outcomes from the consumption of nuts is essential to provide optimal recommendations. Our objective is to comprehensively assess health outcome associations related to the consumption of nuts and seeds, using a culinary definition including tree nuts and peanuts (registered in PROSPERO: CRD42021258300). Health outcomes of interest include cardiovascular disease, cancer, diabetes, obesity, respiratory disease, mortality, and their disease biomarkers. We present associations for high compared with low consumption, per serving, and dose-response relations. MEDLINE, Embase, Cochrane, and Epistemonikos were searched and screened for systematic reviews and meta-analyses. Evidence was extracted from 89 articles on the consumption of nuts and relevant health outcomes, including 23 articles with meta-analysis on disease and mortality, 66 articles on biomarkers for disease, and 9 articles on allergy/adverse outcomes. Intake of nuts was associated with reduced risk of cardiovascular diseases and related risk factors, with moderate quality of evidence. An intake of 28 g/d nuts compared with not eating nuts was associated with a 21% RR reduction of cardiovascular disease (including coronary heart disease incidence and mortality, atrial fibrillation, and stroke mortality), an 11% risk reduction of cancer deaths, and 22% reduction in all-cause mortality. Nut consumption was also inversely associated with mortality from respiratory diseases, infectious diseases, and diabetes; however, associations between nut consumption and diabetes incidence were mixed. Meta-analyses of trials on biomarkers for disease generally mirrored meta-analyses from observational studies on cardiovascular disease, cancers, and diabetes. Allergy and related adverse reactions to nuts were observed in 1-2% of adult populations, with substantial heterogeneity between studies. Overall, the current evidence supports dietary recommendations to consume a handful of nuts and seeds per day for people without allergies to these foods.</p>\",\"PeriodicalId\":72101,\"journal\":{\"name\":\"Advances in nutrition (Bethesda, Md.)\",\"volume\":\"13 6\",\"pages\":\"2136-2148\"},\"PeriodicalIF\":9.2000,\"publicationDate\":\"2022-12-22\",\"publicationTypes\":\"Journal Article\",\"fieldsOfStudy\":null,\"isOpenAccess\":false,\"openAccessPdf\":\"https://www.ncbi.nlm.nih.gov/pmc/articles/PMC9776667/pdf/\",\"citationCount\":\"0\",\"resultStr\":null,\"platform\":\"Semanticscholar\",\"paperid\":null,\"PeriodicalName\":\"Advances in nutrition (Bethesda, Md.)\",\"FirstCategoryId\":\"1085\",\"ListUrlMain\":\"https://doi.org/10.1093/advances/nmac077\",\"RegionNum\":0,\"RegionCategory\":null,\"ArticlePicture\":[],\"TitleCN\":null,\"AbstractTextCN\":null,\"PMCID\":null,\"EPubDate\":\"\",\"PubModel\":\"\",\"JCR\":\"\",\"JCRName\":\"\",\"Score\":null,\"Total\":0}","platform":"Semanticscholar","paperid":null,"PeriodicalName":"Advances in nutrition (Bethesda, Md.)","FirstCategoryId":"1085","ListUrlMain":"https://doi.org/10.1093/advances/nmac077","RegionNum":0,"RegionCategory":null,"ArticlePicture":[],"TitleCN":null,"AbstractTextCN":null,"PMCID":null,"EPubDate":"","PubModel":"","JCR":"","JCRName":"","Score":null,"Total":0}
引用次数: 0

摘要

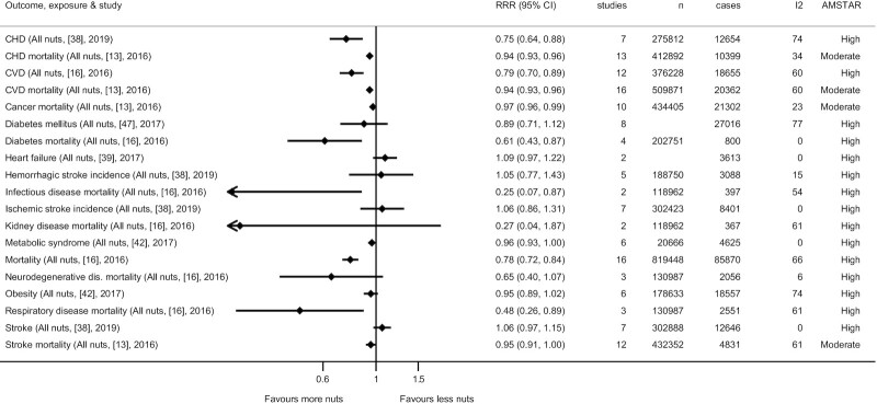
食用坚果和种子与一系列健康结果有关。总结食用坚果对健康产生重要影响的最佳证据对于提供最佳建议至关重要。我们的目标是采用包括树坚果和花生在内的烹饪定义(在 PROSPERO 注册:CRD42021258300),全面评估与食用坚果和种子相关的健康结果。我们关注的健康结果包括心血管疾病、癌症、糖尿病、肥胖、呼吸系统疾病、死亡率及其疾病生物标志物。我们介绍了高消费量与低消费量、每份消费量以及剂量-反应关系之间的关联。我们检索了 MEDLINE、Embase、Cochrane 和 Epistemonikos,并筛选了系统综述和荟萃分析。从 89 篇关于坚果消费和相关健康结果的文章中提取了证据,包括 23 篇关于疾病和死亡率的荟萃分析文章、66 篇关于疾病生物标志物的文章和 9 篇关于过敏/不良结果的文章。坚果的摄入量与心血管疾病风险和相关风险因素的降低有关,证据质量中等。与不吃坚果相比,每天摄入 28 克坚果可使心血管疾病(包括冠心病发病率和死亡率、心房颤动和中风死亡率)的死亡率降低 21%,癌症死亡风险降低 11%,全因死亡率降低 22%。坚果摄入量还与呼吸系统疾病、传染病和糖尿病的死亡率成反比;不过,坚果摄入量与糖尿病发病率之间的关系不一。对疾病生物标志物试验的荟萃分析通常反映了对心血管疾病、癌症和糖尿病观察研究的荟萃分析。在 1-2% 的成年人群中观察到了对坚果的过敏和相关不良反应,不同研究之间存在很大的异质性。总体而言,目前的证据支持对这些食物不过敏的人每天食用一把坚果和种子的饮食建议。
本文章由计算机程序翻译,如有差异,请以英文原文为准。

Consumption of Nuts and Seeds and Health Outcomes Including Cardiovascular Disease, Diabetes and Metabolic Disease, Cancer, and Mortality: An Umbrella Review.

Consumption of Nuts and Seeds and Health Outcomes Including Cardiovascular Disease, Diabetes and Metabolic Disease, Cancer, and Mortality: An Umbrella Review.

Consumption of Nuts and Seeds and Health Outcomes Including Cardiovascular Disease, Diabetes and Metabolic Disease, Cancer, and Mortality: An Umbrella Review.

Consumption of Nuts and Seeds and Health Outcomes Including Cardiovascular Disease, Diabetes and Metabolic Disease, Cancer, and Mortality: An Umbrella Review.

Consumption of nuts and seeds is associated with a range of health outcomes. Summarizing the best evidence on essential health outcomes from the consumption of nuts is essential to provide optimal recommendations. Our objective is to comprehensively assess health outcome associations related to the consumption of nuts and seeds, using a culinary definition including tree nuts and peanuts (registered in PROSPERO: CRD42021258300). Health outcomes of interest include cardiovascular disease, cancer, diabetes, obesity, respiratory disease, mortality, and their disease biomarkers. We present associations for high compared with low consumption, per serving, and dose-response relations. MEDLINE, Embase, Cochrane, and Epistemonikos were searched and screened for systematic reviews and meta-analyses. Evidence was extracted from 89 articles on the consumption of nuts and relevant health outcomes, including 23 articles with meta-analysis on disease and mortality, 66 articles on biomarkers for disease, and 9 articles on allergy/adverse outcomes. Intake of nuts was associated with reduced risk of cardiovascular diseases and related risk factors, with moderate quality of evidence. An intake of 28 g/d nuts compared with not eating nuts was associated with a 21% RR reduction of cardiovascular disease (including coronary heart disease incidence and mortality, atrial fibrillation, and stroke mortality), an 11% risk reduction of cancer deaths, and 22% reduction in all-cause mortality. Nut consumption was also inversely associated with mortality from respiratory diseases, infectious diseases, and diabetes; however, associations between nut consumption and diabetes incidence were mixed. Meta-analyses of trials on biomarkers for disease generally mirrored meta-analyses from observational studies on cardiovascular disease, cancers, and diabetes. Allergy and related adverse reactions to nuts were observed in 1-2% of adult populations, with substantial heterogeneity between studies. Overall, the current evidence supports dietary recommendations to consume a handful of nuts and seeds per day for people without allergies to these foods.

求助全文
通过发布文献求助,成功后即可免费获取论文全文。 去求助
来源期刊
自引率
0.00%
发文量
0
×
引用
GB/T 7714-2015
复制
MLA
复制
APA
复制
导出至
BibTeX EndNote RefMan NoteFirst NoteExpress
×
提示
您的信息不完整,为了账户安全,请先补充。
现在去补充
×
提示
您因"违规操作"
具体请查看互助需知
我知道了
×
提示
确定
请完成安全验证×
copy
已复制链接
快去分享给好友吧!
我知道了
右上角分享
点击右上角分享
0
联系我们:info@booksci.cn Book学术提供免费学术资源搜索服务,方便国内外学者检索中英文文献。致力于提供最便捷和优质的服务体验。 Copyright © 2023 布克学术 All rights reserved.
京ICP备2023020795号-1
ghs 京公网安备 11010802042870号
Book学术文献互助
Book学术文献互助群
群 号:604180095
Book学术官方微信