手势、物体和空间:探索幼儿园中教师的多模态交流。

IF 2.1 Q2 PSYCHOLOGY, MULTIDISCIPLINARY
Europes Journal of Psychology Pub Date : 2024-05-29 eCollection Date: 2024-05-01 DOI:10.5964/ejop.12291
Ana Moreno-Núñez, Marta Casla
{"title":"手势、物体和空间:探索幼儿园中教师的多模态交流。","authors":"Ana Moreno-Núñez, Marta Casla","doi":"10.5964/ejop.12291","DOIUrl":null,"url":null,"abstract":"<p><p>This study builds on the increasing evidence that the multimodal nature of adult-child interactions and the use of objects play an important role in early linguistic development. Most of these studies analyzed dyadic interactions at home, whereas few research has been conducted in early childhood education and care settings. In this paper, we characterized the multimodal nature of teachers' communicative bids during classroom-based group interactions in nursery schools. Observational data of circle-time activities was collected from 16 Spanish nursery school classrooms, comprising 16 teachers and 161 children between two and three years of age. We analyzed teachers' communicative bids (i.e., verbal utterances and verbal-gestural bids) considering the frequency of use of different types of gestures, to whom are they addressed (i.e., the whole group or a single child), the extent to which they involve the use of objects, the classroom layout, and the relationship between the communicative bids and the number of children that participated in each classroom. Teachers' communication with toddlers is highly multimodal and rely on different types of gestures, although the use of objects in our sample was scarce. Descriptive analysis suggest that certain classroom layouts may favor teachers' use of some types of gestures over others. In this article, we discuss the implications of both the use of objects and space for understanding how adults shape the linguistic contexts of young children, and the potential opportunities and limitations they pose for classroom interactions.</p>","PeriodicalId":47113,"journal":{"name":"Europes Journal of Psychology","volume":"20 2","pages":"129-142"},"PeriodicalIF":2.1000,"publicationDate":"2024-05-29","publicationTypes":"Journal Article","fieldsOfStudy":null,"isOpenAccess":false,"openAccessPdf":"https://www.ncbi.nlm.nih.gov/pmc/articles/PMC11304375/pdf/","citationCount":"0","resultStr":"{\"title\":\"Gestures, Objects, and Spaces: Exploring Teachers' Multimodal Communication in Nursery Schools.\",\"authors\":\"Ana Moreno-Núñez, Marta Casla\",\"doi\":\"10.5964/ejop.12291\",\"DOIUrl\":null,\"url\":null,\"abstract\":\"<p><p>This study builds on the increasing evidence that the multimodal nature of adult-child interactions and the use of objects play an important role in early linguistic development. Most of these studies analyzed dyadic interactions at home, whereas few research has been conducted in early childhood education and care settings. In this paper, we characterized the multimodal nature of teachers' communicative bids during classroom-based group interactions in nursery schools. Observational data of circle-time activities was collected from 16 Spanish nursery school classrooms, comprising 16 teachers and 161 children between two and three years of age. We analyzed teachers' communicative bids (i.e., verbal utterances and verbal-gestural bids) considering the frequency of use of different types of gestures, to whom are they addressed (i.e., the whole group or a single child), the extent to which they involve the use of objects, the classroom layout, and the relationship between the communicative bids and the number of children that participated in each classroom. Teachers' communication with toddlers is highly multimodal and rely on different types of gestures, although the use of objects in our sample was scarce. Descriptive analysis suggest that certain classroom layouts may favor teachers' use of some types of gestures over others. In this article, we discuss the implications of both the use of objects and space for understanding how adults shape the linguistic contexts of young children, and the potential opportunities and limitations they pose for classroom interactions.</p>\",\"PeriodicalId\":47113,\"journal\":{\"name\":\"Europes Journal of Psychology\",\"volume\":\"20 2\",\"pages\":\"129-142\"},\"PeriodicalIF\":2.1000,\"publicationDate\":\"2024-05-29\",\"publicationTypes\":\"Journal Article\",\"fieldsOfStudy\":null,\"isOpenAccess\":false,\"openAccessPdf\":\"https://www.ncbi.nlm.nih.gov/pmc/articles/PMC11304375/pdf/\",\"citationCount\":\"0\",\"resultStr\":null,\"platform\":\"Semanticscholar\",\"paperid\":null,\"PeriodicalName\":\"Europes Journal of Psychology\",\"FirstCategoryId\":\"1085\",\"ListUrlMain\":\"https://doi.org/10.5964/ejop.12291\",\"RegionNum\":0,\"RegionCategory\":null,\"ArticlePicture\":[],\"TitleCN\":null,\"AbstractTextCN\":null,\"PMCID\":null,\"EPubDate\":\"2024/5/1 0:00:00\",\"PubModel\":\"eCollection\",\"JCR\":\"Q2\",\"JCRName\":\"PSYCHOLOGY, MULTIDISCIPLINARY\",\"Score\":null,\"Total\":0}","platform":"Semanticscholar","paperid":null,"PeriodicalName":"Europes Journal of Psychology","FirstCategoryId":"1085","ListUrlMain":"https://doi.org/10.5964/ejop.12291","RegionNum":0,"RegionCategory":null,"ArticlePicture":[],"TitleCN":null,"AbstractTextCN":null,"PMCID":null,"EPubDate":"2024/5/1 0:00:00","PubModel":"eCollection","JCR":"Q2","JCRName":"PSYCHOLOGY, MULTIDISCIPLINARY","Score":null,"Total":0}
引用次数: 0

摘要

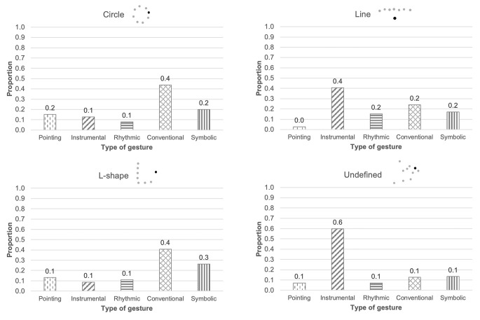
越来越多的证据表明,成人与儿童之间的多模态互动以及对物体的使用在早期语言发展中发挥着重要作用,本研究正是在此基础上开展的。这些研究大多分析的是家庭中的二人互动,而在幼儿教育和保育环境中进行的研究却很少。在本文中,我们描述了教师在幼儿园以课堂为基础的小组互动中的多模态交际行为。我们从 16 个西班牙幼儿园班级收集了圆圈活动的观察数据,其中包括 16 名教师和 161 名 2 至 3 岁的儿童。我们分析了教师的交流口令(即口头言语和口头-手势口令),考虑了不同类型手势的使用频率、它们的对象(即整个小组或单个儿童)、它们涉及使用物品的程度、教室布局以及交流口令与每个教室中参与儿童人数之间的关系。尽管在我们的样本中很少使用物品,但教师与幼儿的交流具有高度的多模态性,并依赖于不同类型的手势。描述性分析表明,某些教室布局可能更有利于教师使用某些类型的手势,而不是其他类型的手势。在本文中,我们将讨论物体和空间的使用对理解成人如何塑造幼儿语言环境的影响,以及它们对课堂互动带来的潜在机会和限制。
本文章由计算机程序翻译,如有差异,请以英文原文为准。

Gestures, Objects, and Spaces: Exploring Teachers' Multimodal Communication in Nursery Schools.

Gestures, Objects, and Spaces: Exploring Teachers' Multimodal Communication in Nursery Schools.

Gestures, Objects, and Spaces: Exploring Teachers' Multimodal Communication in Nursery Schools.

Gestures, Objects, and Spaces: Exploring Teachers' Multimodal Communication in Nursery Schools.

This study builds on the increasing evidence that the multimodal nature of adult-child interactions and the use of objects play an important role in early linguistic development. Most of these studies analyzed dyadic interactions at home, whereas few research has been conducted in early childhood education and care settings. In this paper, we characterized the multimodal nature of teachers' communicative bids during classroom-based group interactions in nursery schools. Observational data of circle-time activities was collected from 16 Spanish nursery school classrooms, comprising 16 teachers and 161 children between two and three years of age. We analyzed teachers' communicative bids (i.e., verbal utterances and verbal-gestural bids) considering the frequency of use of different types of gestures, to whom are they addressed (i.e., the whole group or a single child), the extent to which they involve the use of objects, the classroom layout, and the relationship between the communicative bids and the number of children that participated in each classroom. Teachers' communication with toddlers is highly multimodal and rely on different types of gestures, although the use of objects in our sample was scarce. Descriptive analysis suggest that certain classroom layouts may favor teachers' use of some types of gestures over others. In this article, we discuss the implications of both the use of objects and space for understanding how adults shape the linguistic contexts of young children, and the potential opportunities and limitations they pose for classroom interactions.

求助全文
通过发布文献求助,成功后即可免费获取论文全文。 去求助
来源期刊
Europes Journal of Psychology
Europes Journal of Psychology PSYCHOLOGY, MULTIDISCIPLINARY-
CiteScore
3.90
自引率
0.00%
发文量
27
审稿时长
31 weeks
×
引用
GB/T 7714-2015
复制
MLA
复制
APA
复制
导出至
BibTeX EndNote RefMan NoteFirst NoteExpress
×
提示
您的信息不完整,为了账户安全,请先补充。
现在去补充
×
提示
您因"违规操作"
具体请查看互助需知
我知道了
×
提示
确定
请完成安全验证×
copy
已复制链接
快去分享给好友吧!
我知道了
右上角分享
点击右上角分享
0
联系我们:info@booksci.cn Book学术提供免费学术资源搜索服务,方便国内外学者检索中英文文献。致力于提供最便捷和优质的服务体验。 Copyright © 2023 布克学术 All rights reserved.
京ICP备2023020795号-1
ghs 京公网安备 11010802042870号
Book学术文献互助
Book学术文献互助群
群 号:604180095
Book学术官方微信