边界内的思考:通过使用通用贴现函数的 Beta 回归,改进了用于差异点数据分析和模拟的误差分布。

IF 3.8 3区 心理学 Q2 PSYCHOLOGY, CLINICAL
Perspectives on Behavior Science Pub Date : 2024-06-04 eCollection Date: 2024-06-01 DOI:10.1007/s40614-024-00410-8
Mingang Kim, Mikhail N Koffarnus, Christopher T Franck
{"title":"边界内的思考:通过使用通用贴现函数的 Beta 回归,改进了用于差异点数据分析和模拟的误差分布。","authors":"Mingang Kim, Mikhail N Koffarnus, Christopher T Franck","doi":"10.1007/s40614-024-00410-8","DOIUrl":null,"url":null,"abstract":"<p><p>Standard nonlinear regression is commonly used when modeling indifference points due to its ability to closely follow observed data, resulting in a good model fit. However, standard nonlinear regression currently lacks a reasonable distribution-based framework for indifference points, which limits its ability to adequately describe the inherent variability in the data. Software commonly assumes data follow a normal distribution with constant variance. However, typical indifference points do not follow a normal distribution or exhibit constant variance. To address these limitations, this paper introduces a class of nonlinear beta regression models that offers excellent fit to discounting data and enhances simulation-based approaches. This beta regression model can accommodate popular discounting functions. This work proposes three specific advances. First, our model automatically captures non-constant variance as a function of delay. Second, our model improves simulation-based approaches since it obeys the natural boundaries of observable data, unlike the ordinary assumption of normal residuals and constant variance. Finally, we introduce a scale-location-truncation trick that allows beta regression to accommodate observed values of 0 and 1. A comparison between beta regression and standard nonlinear regression reveals close agreement in the estimated discounting rate k obtained from both methods.</p>","PeriodicalId":44993,"journal":{"name":"Perspectives on Behavior Science","volume":"47 2","pages":"417-433"},"PeriodicalIF":3.8000,"publicationDate":"2024-06-04","publicationTypes":"Journal Article","fieldsOfStudy":null,"isOpenAccess":false,"openAccessPdf":"https://www.ncbi.nlm.nih.gov/pmc/articles/PMC11294315/pdf/","citationCount":"0","resultStr":"{\"title\":\"Thinking Inside the Bounds: Improved Error Distributions for Indifference Point Data Analysis and Simulation Via Beta Regression using Common Discounting Functions.\",\"authors\":\"Mingang Kim, Mikhail N Koffarnus, Christopher T Franck\",\"doi\":\"10.1007/s40614-024-00410-8\",\"DOIUrl\":null,\"url\":null,\"abstract\":\"<p><p>Standard nonlinear regression is commonly used when modeling indifference points due to its ability to closely follow observed data, resulting in a good model fit. However, standard nonlinear regression currently lacks a reasonable distribution-based framework for indifference points, which limits its ability to adequately describe the inherent variability in the data. Software commonly assumes data follow a normal distribution with constant variance. However, typical indifference points do not follow a normal distribution or exhibit constant variance. To address these limitations, this paper introduces a class of nonlinear beta regression models that offers excellent fit to discounting data and enhances simulation-based approaches. This beta regression model can accommodate popular discounting functions. This work proposes three specific advances. First, our model automatically captures non-constant variance as a function of delay. Second, our model improves simulation-based approaches since it obeys the natural boundaries of observable data, unlike the ordinary assumption of normal residuals and constant variance. Finally, we introduce a scale-location-truncation trick that allows beta regression to accommodate observed values of 0 and 1. A comparison between beta regression and standard nonlinear regression reveals close agreement in the estimated discounting rate k obtained from both methods.</p>\",\"PeriodicalId\":44993,\"journal\":{\"name\":\"Perspectives on Behavior Science\",\"volume\":\"47 2\",\"pages\":\"417-433\"},\"PeriodicalIF\":3.8000,\"publicationDate\":\"2024-06-04\",\"publicationTypes\":\"Journal Article\",\"fieldsOfStudy\":null,\"isOpenAccess\":false,\"openAccessPdf\":\"https://www.ncbi.nlm.nih.gov/pmc/articles/PMC11294315/pdf/\",\"citationCount\":\"0\",\"resultStr\":null,\"platform\":\"Semanticscholar\",\"paperid\":null,\"PeriodicalName\":\"Perspectives on Behavior Science\",\"FirstCategoryId\":\"102\",\"ListUrlMain\":\"https://doi.org/10.1007/s40614-024-00410-8\",\"RegionNum\":3,\"RegionCategory\":\"心理学\",\"ArticlePicture\":[],\"TitleCN\":null,\"AbstractTextCN\":null,\"PMCID\":null,\"EPubDate\":\"2024/6/1 0:00:00\",\"PubModel\":\"eCollection\",\"JCR\":\"Q2\",\"JCRName\":\"PSYCHOLOGY, CLINICAL\",\"Score\":null,\"Total\":0}","platform":"Semanticscholar","paperid":null,"PeriodicalName":"Perspectives on Behavior Science","FirstCategoryId":"102","ListUrlMain":"https://doi.org/10.1007/s40614-024-00410-8","RegionNum":3,"RegionCategory":"心理学","ArticlePicture":[],"TitleCN":null,"AbstractTextCN":null,"PMCID":null,"EPubDate":"2024/6/1 0:00:00","PubModel":"eCollection","JCR":"Q2","JCRName":"PSYCHOLOGY, CLINICAL","Score":null,"Total":0}
引用次数: 0

摘要

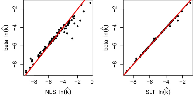
由于标准非线性回归能够密切跟踪观察到的数据,从而获得良好的模型拟合效果,因此在建立参考点模型时通常使用标准非线性回归。然而,标准非线性回归目前还缺乏一个合理的基于分布的框架,这就限制了它充分描述数据固有变异性的能力。软件通常假定数据遵循方差恒定的正态分布。然而,典型的临界点并不遵循正态分布或表现出恒定方差。为了解决这些局限性,本文介绍了一类非线性贝塔回归模型,它能很好地拟合折现数据,并增强基于模拟的方法。这种贝塔回归模型可以适应流行的贴现函数。这项工作提出了三个具体进展。首先,我们的模型能自动捕捉作为延迟函数的非恒定方差。其次,我们的模型改进了基于模拟的方法,因为它服从可观测数据的自然边界,而不是普通的正态残差和恒方差假设。最后,我们引入了一种规模-位置-截断技巧,使贝塔回归能够容纳观察到的 0 和 1 值。 通过比较贝塔回归和标准非线性回归,我们发现两种方法得到的估计贴现率 k 非常接近。
本文章由计算机程序翻译,如有差异,请以英文原文为准。

Thinking Inside the Bounds: Improved Error Distributions for Indifference Point Data Analysis and Simulation Via Beta Regression using Common Discounting Functions.

Thinking Inside the Bounds: Improved Error Distributions for Indifference Point Data Analysis and Simulation Via Beta Regression using Common Discounting Functions.

Thinking Inside the Bounds: Improved Error Distributions for Indifference Point Data Analysis and Simulation Via Beta Regression using Common Discounting Functions.

Thinking Inside the Bounds: Improved Error Distributions for Indifference Point Data Analysis and Simulation Via Beta Regression using Common Discounting Functions.

Standard nonlinear regression is commonly used when modeling indifference points due to its ability to closely follow observed data, resulting in a good model fit. However, standard nonlinear regression currently lacks a reasonable distribution-based framework for indifference points, which limits its ability to adequately describe the inherent variability in the data. Software commonly assumes data follow a normal distribution with constant variance. However, typical indifference points do not follow a normal distribution or exhibit constant variance. To address these limitations, this paper introduces a class of nonlinear beta regression models that offers excellent fit to discounting data and enhances simulation-based approaches. This beta regression model can accommodate popular discounting functions. This work proposes three specific advances. First, our model automatically captures non-constant variance as a function of delay. Second, our model improves simulation-based approaches since it obeys the natural boundaries of observable data, unlike the ordinary assumption of normal residuals and constant variance. Finally, we introduce a scale-location-truncation trick that allows beta regression to accommodate observed values of 0 and 1. A comparison between beta regression and standard nonlinear regression reveals close agreement in the estimated discounting rate k obtained from both methods.

求助全文
通过发布文献求助,成功后即可免费获取论文全文。 去求助
来源期刊
Perspectives on Behavior Science
Perspectives on Behavior Science PSYCHOLOGY, CLINICAL-
CiteScore
3.90
自引率
10.00%
发文量
34
期刊介绍: Perspectives on Behavior Science is an official publication of the Association for Behavior Analysis International. It is published quarterly, and in addition to its articles on theoretical, experimental, and applied topics in behavior analysis, this journal also includes literature reviews, re-interpretations of published data, and articles on behaviorism as a philosophy.
×
引用
GB/T 7714-2015
复制
MLA
复制
APA
复制
导出至
BibTeX EndNote RefMan NoteFirst NoteExpress
×
提示
您的信息不完整,为了账户安全,请先补充。
现在去补充
×
提示
您因"违规操作"
具体请查看互助需知
我知道了
×
提示
确定
请完成安全验证×
copy
已复制链接
快去分享给好友吧!
我知道了
右上角分享
点击右上角分享
0
联系我们:info@booksci.cn Book学术提供免费学术资源搜索服务,方便国内外学者检索中英文文献。致力于提供最便捷和优质的服务体验。 Copyright © 2023 布克学术 All rights reserved.
京ICP备2023020795号-1
ghs 京公网安备 11010802042870号
Book学术文献互助
Book学术文献互助群
群 号:604180095
Book学术官方微信