冠心病和心力衰竭患者的社会支持与坚持自我护理行为:系统回顾

IF 2.1 Q2 PSYCHOLOGY, MULTIDISCIPLINARY
Europes Journal of Psychology Pub Date : 2024-02-29 eCollection Date: 2024-02-01 DOI:10.5964/ejop.12131
Athira Babygeetha, Dhanalakshmi Devineni
{"title":"冠心病和心力衰竭患者的社会支持与坚持自我护理行为:系统回顾","authors":"Athira Babygeetha, Dhanalakshmi Devineni","doi":"10.5964/ejop.12131","DOIUrl":null,"url":null,"abstract":"<p><p>Cardiovascular diseases stand out as the foremost cause of mortality on a global scale and encompass conditions that require long term self-care. Coronary heart disease and heart failure are two cardiovascular conditions that require significant lifestyle modifications. Adherence to self-care is a multifaceted phenomenon, and is influenced by various factors that include social, economic, disease-related and healthcare system-related factors. A key factor in adherence to self-care in chronic illnesses is social support. To explore this relationship between social support and adherence to self-care, a systematic review was carried out across Scopus, EBSCO host and ProQuest from October 2022 to February 2023 using predefined search criteria. Studies from inception to February 2023 were considered for the review, ultimately incorporating a total of 11 studies. Six studies had an adult population with coronary heart disease while the remaining five had adults with heart failure. All the studies reported a significant positive correlation between social support and adherence to self-care. Our findings revealed that social support plays a significant role in promoting self-care, emphasizing the need for a holistic understanding of self-care to develop effective interventions. Along with self-report measures, objective measures should be used to assess adherence accurately. There is a need for scales that assess all aspects of self-care, as well as the development of new interventions and teaching strategies to facilitate the individual's self-care journey. In addition, family members and trusted resources should be involved in encouraging self-care, and interventions should target both patients and their family members.</p>","PeriodicalId":47113,"journal":{"name":"Europes Journal of Psychology","volume":"20 1","pages":"63-77"},"PeriodicalIF":2.1000,"publicationDate":"2024-02-29","publicationTypes":"Journal Article","fieldsOfStudy":null,"isOpenAccess":false,"openAccessPdf":"https://www.ncbi.nlm.nih.gov/pmc/articles/PMC10936663/pdf/","citationCount":"0","resultStr":"{\"title\":\"Social Support and Adherence to Self-Care Behavior Among Patients With Coronary Heart Disease and Heart Failure: A Systematic Review.\",\"authors\":\"Athira Babygeetha, Dhanalakshmi Devineni\",\"doi\":\"10.5964/ejop.12131\",\"DOIUrl\":null,\"url\":null,\"abstract\":\"<p><p>Cardiovascular diseases stand out as the foremost cause of mortality on a global scale and encompass conditions that require long term self-care. Coronary heart disease and heart failure are two cardiovascular conditions that require significant lifestyle modifications. Adherence to self-care is a multifaceted phenomenon, and is influenced by various factors that include social, economic, disease-related and healthcare system-related factors. A key factor in adherence to self-care in chronic illnesses is social support. To explore this relationship between social support and adherence to self-care, a systematic review was carried out across Scopus, EBSCO host and ProQuest from October 2022 to February 2023 using predefined search criteria. Studies from inception to February 2023 were considered for the review, ultimately incorporating a total of 11 studies. Six studies had an adult population with coronary heart disease while the remaining five had adults with heart failure. All the studies reported a significant positive correlation between social support and adherence to self-care. Our findings revealed that social support plays a significant role in promoting self-care, emphasizing the need for a holistic understanding of self-care to develop effective interventions. Along with self-report measures, objective measures should be used to assess adherence accurately. There is a need for scales that assess all aspects of self-care, as well as the development of new interventions and teaching strategies to facilitate the individual's self-care journey. In addition, family members and trusted resources should be involved in encouraging self-care, and interventions should target both patients and their family members.</p>\",\"PeriodicalId\":47113,\"journal\":{\"name\":\"Europes Journal of Psychology\",\"volume\":\"20 1\",\"pages\":\"63-77\"},\"PeriodicalIF\":2.1000,\"publicationDate\":\"2024-02-29\",\"publicationTypes\":\"Journal Article\",\"fieldsOfStudy\":null,\"isOpenAccess\":false,\"openAccessPdf\":\"https://www.ncbi.nlm.nih.gov/pmc/articles/PMC10936663/pdf/\",\"citationCount\":\"0\",\"resultStr\":null,\"platform\":\"Semanticscholar\",\"paperid\":null,\"PeriodicalName\":\"Europes Journal of Psychology\",\"FirstCategoryId\":\"1085\",\"ListUrlMain\":\"https://doi.org/10.5964/ejop.12131\",\"RegionNum\":0,\"RegionCategory\":null,\"ArticlePicture\":[],\"TitleCN\":null,\"AbstractTextCN\":null,\"PMCID\":null,\"EPubDate\":\"2024/2/1 0:00:00\",\"PubModel\":\"eCollection\",\"JCR\":\"Q2\",\"JCRName\":\"PSYCHOLOGY, MULTIDISCIPLINARY\",\"Score\":null,\"Total\":0}","platform":"Semanticscholar","paperid":null,"PeriodicalName":"Europes Journal of Psychology","FirstCategoryId":"1085","ListUrlMain":"https://doi.org/10.5964/ejop.12131","RegionNum":0,"RegionCategory":null,"ArticlePicture":[],"TitleCN":null,"AbstractTextCN":null,"PMCID":null,"EPubDate":"2024/2/1 0:00:00","PubModel":"eCollection","JCR":"Q2","JCRName":"PSYCHOLOGY, MULTIDISCIPLINARY","Score":null,"Total":0}
引用次数: 0

摘要

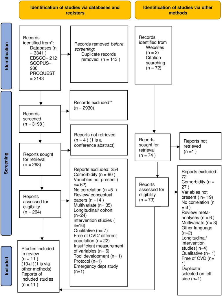
在全球范围内,心血管疾病是导致死亡的首要原因,其中包括需要长期自我护理的疾病。冠心病和心力衰竭是两种需要大力改变生活方式的心血管疾病。坚持自我保健是一个多方面的现象,受到各种因素的影响,包括社会、经济、疾病相关因素和医疗保健系统相关因素。慢性病患者坚持自我保健的一个关键因素是社会支持。为了探究社会支持与坚持自我护理之间的关系,我们在 2022 年 10 月至 2023 年 2 月期间,采用预定义的检索标准,在 Scopus、EBSCO host 和 ProQuest 上进行了系统性综述。综述考虑了从开始到 2023 年 2 月的研究,最终共纳入了 11 项研究。其中六项研究的研究对象为患有冠心病的成年人,其余五项研究的研究对象为患有心力衰竭的成年人。所有研究都显示,社会支持与坚持自我护理之间存在明显的正相关关系。我们的研究结果表明,社会支持在促进自我保健方面发挥着重要作用,这强调了全面了解自我保健以制定有效干预措施的必要性。除了自我报告测量方法外,还应该使用客观测量方法来准确评估坚持自我护理的情况。我们需要能评估自我护理各个方面的量表,并开发新的干预措施和教学策略,以促进个人的自我护理之旅。此外,家庭成员和可信赖的资源也应参与鼓励自我护理,干预措施应同时针对患者及其家庭成员。
本文章由计算机程序翻译,如有差异,请以英文原文为准。

Social Support and Adherence to Self-Care Behavior Among Patients With Coronary Heart Disease and Heart Failure: A Systematic Review.

Social Support and Adherence to Self-Care Behavior Among Patients With Coronary Heart Disease and Heart Failure: A Systematic Review.

Cardiovascular diseases stand out as the foremost cause of mortality on a global scale and encompass conditions that require long term self-care. Coronary heart disease and heart failure are two cardiovascular conditions that require significant lifestyle modifications. Adherence to self-care is a multifaceted phenomenon, and is influenced by various factors that include social, economic, disease-related and healthcare system-related factors. A key factor in adherence to self-care in chronic illnesses is social support. To explore this relationship between social support and adherence to self-care, a systematic review was carried out across Scopus, EBSCO host and ProQuest from October 2022 to February 2023 using predefined search criteria. Studies from inception to February 2023 were considered for the review, ultimately incorporating a total of 11 studies. Six studies had an adult population with coronary heart disease while the remaining five had adults with heart failure. All the studies reported a significant positive correlation between social support and adherence to self-care. Our findings revealed that social support plays a significant role in promoting self-care, emphasizing the need for a holistic understanding of self-care to develop effective interventions. Along with self-report measures, objective measures should be used to assess adherence accurately. There is a need for scales that assess all aspects of self-care, as well as the development of new interventions and teaching strategies to facilitate the individual's self-care journey. In addition, family members and trusted resources should be involved in encouraging self-care, and interventions should target both patients and their family members.

求助全文
通过发布文献求助,成功后即可免费获取论文全文。 去求助
来源期刊
Europes Journal of Psychology
Europes Journal of Psychology PSYCHOLOGY, MULTIDISCIPLINARY-
CiteScore
3.90
自引率
0.00%
发文量
27
审稿时长
31 weeks
×
引用
GB/T 7714-2015
复制
MLA
复制
APA
复制
导出至
BibTeX EndNote RefMan NoteFirst NoteExpress
×
提示
您的信息不完整,为了账户安全,请先补充。
现在去补充
×
提示
您因"违规操作"
具体请查看互助需知
我知道了
×
提示
确定
请完成安全验证×
copy
已复制链接
快去分享给好友吧!
我知道了
右上角分享
点击右上角分享
0
联系我们:info@booksci.cn Book学术提供免费学术资源搜索服务,方便国内外学者检索中英文文献。致力于提供最便捷和优质的服务体验。 Copyright © 2023 布克学术 All rights reserved.
京ICP备2023020795号-1
ghs 京公网安备 11010802042870号
Book学术文献互助
Book学术文献互助群
群 号:604180095
Book学术官方微信
小红书