A Psychoeducational Workshop for the Parents of Young Voice Hearers: A Preliminary Investigation into Acceptability and Outcomes in an NHS Child and Adolescent Mental Health Service.

IF 2 4区 医学 Q3 PSYCHIATRY
Clinical Child Psychology and Psychiatry Pub Date : 2024-07-01 Epub Date: 2023-06-05 DOI:10.1177/13591045231167969
Annabelle Deane, Lyn Ellett, Mark Hayward
{"title":"A Psychoeducational Workshop for the Parents of Young Voice Hearers: A Preliminary Investigation into Acceptability and Outcomes in an NHS Child and Adolescent Mental Health Service.","authors":"Annabelle Deane, Lyn Ellett, Mark Hayward","doi":"10.1177/13591045231167969","DOIUrl":null,"url":null,"abstract":"<p><strong>Background: </strong>Hearing voices is a common experience in young people and can be associated with distress, self-harm, and an increased risk of attempting suicide. Many parents lack confidence in supporting young people who are distressed by voices. However, there are currently no evidence-based interventions to support the parents of young voice hearers.</p><p><strong>Method: </strong>This was an uncontrolled study exploring the preliminary acceptability and outcomes of a psychoeducation workshop for the parents of young people experiencing distressing voices within a Child and Adolescent Mental Health Service (CAMHS) in the UK's National Health Service.</p><p><strong>Results: </strong>A total of 21 parents consented to participate, 15 attended a workshop and 10 provided complete data sets. Five workshops were delivered across a seven-month period. Qualitative feedback was suggestive of acceptability and highlighted possible adaptations in relation to inclusivity, content focus and delivery format. Participants reported increased confidence and improved attitudes and beliefs towards voice hearing.</p><p><strong>Conclusions: </strong>The findings from this study suggest that a psychoeducational workshop within a CAMHS context can be acceptable and helpful for parents of young people with distressing voice hearing experiences. Adaptations to the workshop are required to maximise inclusion, engagement, and outcomes.</p>","PeriodicalId":48840,"journal":{"name":"Clinical Child Psychology and Psychiatry","volume":" ","pages":"882-896"},"PeriodicalIF":2.0000,"publicationDate":"2024-07-01","publicationTypes":"Journal Article","fieldsOfStudy":null,"isOpenAccess":false,"openAccessPdf":"https://www.ncbi.nlm.nih.gov/pmc/articles/PMC11188564/pdf/","citationCount":"0","resultStr":null,"platform":"Semanticscholar","paperid":null,"PeriodicalName":"Clinical Child Psychology and Psychiatry","FirstCategoryId":"3","ListUrlMain":"https://doi.org/10.1177/13591045231167969","RegionNum":4,"RegionCategory":"医学","ArticlePicture":[],"TitleCN":null,"AbstractTextCN":null,"PMCID":null,"EPubDate":"2023/6/5 0:00:00","PubModel":"Epub","JCR":"Q3","JCRName":"PSYCHIATRY","Score":null,"Total":0}
引用次数: 0

Abstract

Background: Hearing voices is a common experience in young people and can be associated with distress, self-harm, and an increased risk of attempting suicide. Many parents lack confidence in supporting young people who are distressed by voices. However, there are currently no evidence-based interventions to support the parents of young voice hearers.

Method: This was an uncontrolled study exploring the preliminary acceptability and outcomes of a psychoeducation workshop for the parents of young people experiencing distressing voices within a Child and Adolescent Mental Health Service (CAMHS) in the UK's National Health Service.

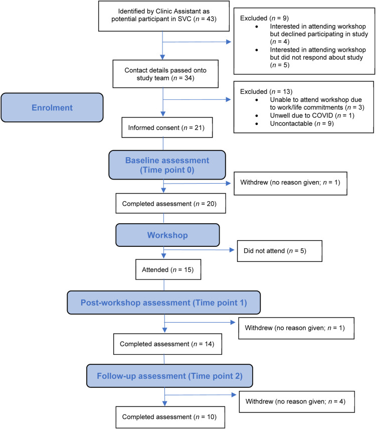
Results: A total of 21 parents consented to participate, 15 attended a workshop and 10 provided complete data sets. Five workshops were delivered across a seven-month period. Qualitative feedback was suggestive of acceptability and highlighted possible adaptations in relation to inclusivity, content focus and delivery format. Participants reported increased confidence and improved attitudes and beliefs towards voice hearing.

Conclusions: The findings from this study suggest that a psychoeducational workshop within a CAMHS context can be acceptable and helpful for parents of young people with distressing voice hearing experiences. Adaptations to the workshop are required to maximise inclusion, engagement, and outcomes.

Abstract Image

Abstract Image

Abstract Image

为青少年语音倾听者的父母举办的心理教育研讨会:对国家医疗服务体系儿童和青少年心理健康服务的可接受性和成果的初步调查。
背景:听到声音是青少年的一种常见经历,可能与痛苦、自我伤害和试图自杀的风险增加有关。许多家长对支持因幻听而感到痛苦的青少年缺乏信心。然而,目前还没有基于证据的干预措施来支持青少年幻听者的父母:这是一项非对照研究,旨在探讨在英国国家卫生服务机构的儿童和青少年心理健康服务(CAMHS)中,为遭受痛苦声音困扰的青少年的父母举办心理教育研讨会的初步可接受性和结果:共有 21 位家长同意参加,15 位参加了研讨会,10 位提供了完整的数据集。在七个月的时间里,共举办了五次研讨会。定性反馈表明,研讨会具有可接受性,并强调了在包容性、内容重点和授课形式方面可能进行的调整。参加者表示增强了信心,改善了对语音听力的态度和信念:本研究的结果表明,在儿童心理、情感和健康服务(CAMHS)环境下举办的心理教育工作坊是可以接受的,而且对那些有听力困扰经历的青少年的家长也有帮助。需要对工作坊进行调整,以最大限度地提高融入度、参与度和成果。
本文章由计算机程序翻译,如有差异,请以英文原文为准。
求助全文
约1分钟内获得全文 求助全文
来源期刊
CiteScore
3.60
自引率
5.60%
发文量
130
期刊介绍: Clinical Child Psychology and Psychiatry brings together clinically oriented, peer reviewed work of the highest distinction from an international and multidisciplinary perspective, offering comprehensive coverage of clinical and treatment issues across the range of treatment modalities. Clinical Child Psychology and Psychiatry is interested in advancing theory, practice and clinical research in the realm of child and adolescent psychology and psychiatry and related disciplines. The journal directs its attention to matters of clinical practice, including related topics such as the ethics of treatment and the integration of research into practice. Multidisciplinary in approach, the journal includes work by, and is of interest to, child psychologists, psychiatrists and psychotherapists, nurses, social workers and all other professionals in the fields of child and adolescent psychology and psychiatry.
×
引用
GB/T 7714-2015
复制
MLA
复制
APA
复制
导出至
BibTeX EndNote RefMan NoteFirst NoteExpress
×
提示
您的信息不完整,为了账户安全,请先补充。
现在去补充
×
提示
您因"违规操作"
具体请查看互助需知
我知道了
×
提示
确定
请完成安全验证×
copy
已复制链接
快去分享给好友吧!
我知道了
右上角分享
点击右上角分享
0
联系我们:info@booksci.cn Book学术提供免费学术资源搜索服务,方便国内外学者检索中英文文献。致力于提供最便捷和优质的服务体验。 Copyright © 2023 布克学术 All rights reserved.
京ICP备2023020795号-1
ghs 京公网安备 11010802042870号
Book学术文献互助
Book学术文献互助群
群 号:604180095
Book学术官方微信