Global trends in insufficient physical activity among adolescents: a pooled analysis of 298 population-based surveys with 1·6 million participants.

The Lancet. Child & adolescent health Pub Date : 2020-01-01 Epub Date: 2019-11-21 DOI:10.1016/S2352-4642(19)30323-2
Regina Guthold, Gretchen A Stevens, Leanne M Riley, Fiona C Bull
{"title":"Global trends in insufficient physical activity among adolescents: a pooled analysis of 298 population-based surveys with 1·6 million participants.","authors":"Regina Guthold, Gretchen A Stevens, Leanne M Riley, Fiona C Bull","doi":"10.1016/S2352-4642(19)30323-2","DOIUrl":null,"url":null,"abstract":"<p><strong>Background: </strong>Physical activity has many health benefits for young people. In 2018, WHO launched More Active People for a Healthier World, a new global action on physical activity, including new targets of a 15% relative reduction of global prevalence of insufficient physical activity by 2030 among adolescents and adults. We describe current prevalence and trends of insufficient physical activity among school-going adolescents aged 11-17 years by country, region, and globally.</p><p><strong>Methods: </strong>We did a pooled analysis of cross-sectional survey data that were collected through random sampling with a sample size of at least 100 individuals, were representative of a national or defined subnational population, and reported prevalence of of insufficient physical activity by sex in adolescents. Prevalence had to be reported for at least three of the years of age within the 10-19-year age range. We estimated the prevalence of insufficient physical activity in school-going adolescents aged 11-17 years (combined and by sex) for individual countries, for four World Bank income groups, nine regions, and globally for the years 2001-16. To derive a standard definition of insufficient physical activity and to adjust for urban-only survey coverage, we used regression models. We estimated time trends using multilevel mixed-effects modelling.</p><p><strong>Findings: </strong>We used data from 298 school-based surveys from 146 countries, territories, and areas including 1·6 million students aged 11-17 years. Globally, in 2016, 81·0% (95% uncertainty interval 77·8-87·7) of students aged 11-17 years were insufficiently physically active (77·6% [76·1-80·4] of boys and 84·7% [83·0-88·2] of girls). Although prevalence of insufficient physical activity significantly decreased between 2001 and 2016 for boys (from 80·1% [78·3-81·6] in 2001), there was no significant change for girls (from 85·1% [83·1-88·0] in 2001). There was no clear pattern according to country income group: insufficient activity prevalence in 2016 was 84·9% (82·6-88·2) in low-income countries, 79·3% (77·2-87·5) in lower-middle-income countries, 83·9% (79·5-89·2) in upper-middle-income countries, and 79·4% (74·0-86·2) in high-income countries. The region with the highest prevalence of insufficient activity in 2016 was high-income Asia Pacific for both boys (89·0%, 62·8-92·2) and girls (95·6%, 73·7-97·9). The regions with the lowest prevalence were high-income western countries for boys (72·1%, 71·1-73·6), and south Asia for girls (77·5%, 72·8-89·3). In 2016, 27 countries had a prevalence of insufficient activity of 90% or more for girls, whereas this was the case for two countries for boys.</p><p><strong>Interpretation: </strong>The majority of adolescents do not meet current physical activity guidelines. Urgent scaling up of implementation of known effective policies and programmes is needed to increase activity in adolescents. Investment and leadership at all levels to intervene on the multiple causes and inequities that might perpetuate the low participation in physical activity and sex differences, as well as engagement of youth themselves, will be vital to strengthen the opportunities for physical activity in all communities. Such action will improve the health of this and future young generations and support achieving the 2030 Sustainable Development Goals.</p><p><strong>Funding: </strong>WHO.</p>","PeriodicalId":94246,"journal":{"name":"The Lancet. Child & adolescent health","volume":"37 6 1","pages":"23-35"},"PeriodicalIF":0.0000,"publicationDate":"2020-01-01","publicationTypes":"Journal Article","fieldsOfStudy":null,"isOpenAccess":false,"openAccessPdf":"https://www.ncbi.nlm.nih.gov/pmc/articles/PMC6919336/pdf/","citationCount":"0","resultStr":null,"platform":"Semanticscholar","paperid":null,"PeriodicalName":"The Lancet. Child & adolescent health","FirstCategoryId":"1085","ListUrlMain":"https://doi.org/10.1016/S2352-4642(19)30323-2","RegionNum":0,"RegionCategory":null,"ArticlePicture":[],"TitleCN":null,"AbstractTextCN":null,"PMCID":null,"EPubDate":"2019/11/21 0:00:00","PubModel":"Epub","JCR":"","JCRName":"","Score":null,"Total":0}
引用次数: 0

Abstract

Background: Physical activity has many health benefits for young people. In 2018, WHO launched More Active People for a Healthier World, a new global action on physical activity, including new targets of a 15% relative reduction of global prevalence of insufficient physical activity by 2030 among adolescents and adults. We describe current prevalence and trends of insufficient physical activity among school-going adolescents aged 11-17 years by country, region, and globally.

Methods: We did a pooled analysis of cross-sectional survey data that were collected through random sampling with a sample size of at least 100 individuals, were representative of a national or defined subnational population, and reported prevalence of of insufficient physical activity by sex in adolescents. Prevalence had to be reported for at least three of the years of age within the 10-19-year age range. We estimated the prevalence of insufficient physical activity in school-going adolescents aged 11-17 years (combined and by sex) for individual countries, for four World Bank income groups, nine regions, and globally for the years 2001-16. To derive a standard definition of insufficient physical activity and to adjust for urban-only survey coverage, we used regression models. We estimated time trends using multilevel mixed-effects modelling.

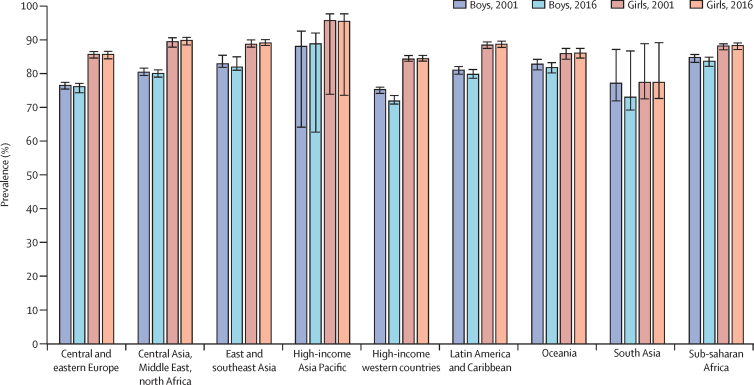
Findings: We used data from 298 school-based surveys from 146 countries, territories, and areas including 1·6 million students aged 11-17 years. Globally, in 2016, 81·0% (95% uncertainty interval 77·8-87·7) of students aged 11-17 years were insufficiently physically active (77·6% [76·1-80·4] of boys and 84·7% [83·0-88·2] of girls). Although prevalence of insufficient physical activity significantly decreased between 2001 and 2016 for boys (from 80·1% [78·3-81·6] in 2001), there was no significant change for girls (from 85·1% [83·1-88·0] in 2001). There was no clear pattern according to country income group: insufficient activity prevalence in 2016 was 84·9% (82·6-88·2) in low-income countries, 79·3% (77·2-87·5) in lower-middle-income countries, 83·9% (79·5-89·2) in upper-middle-income countries, and 79·4% (74·0-86·2) in high-income countries. The region with the highest prevalence of insufficient activity in 2016 was high-income Asia Pacific for both boys (89·0%, 62·8-92·2) and girls (95·6%, 73·7-97·9). The regions with the lowest prevalence were high-income western countries for boys (72·1%, 71·1-73·6), and south Asia for girls (77·5%, 72·8-89·3). In 2016, 27 countries had a prevalence of insufficient activity of 90% or more for girls, whereas this was the case for two countries for boys.

Interpretation: The majority of adolescents do not meet current physical activity guidelines. Urgent scaling up of implementation of known effective policies and programmes is needed to increase activity in adolescents. Investment and leadership at all levels to intervene on the multiple causes and inequities that might perpetuate the low participation in physical activity and sex differences, as well as engagement of youth themselves, will be vital to strengthen the opportunities for physical activity in all communities. Such action will improve the health of this and future young generations and support achieving the 2030 Sustainable Development Goals.

Funding: WHO.

Abstract Image

Abstract Image

Abstract Image

青少年身体活动不足的全球趋势:对298项人口调查的汇总分析,涉及160万参与者。
背景:体育活动对年轻人的健康有很多好处。2018年,世卫组织发起了一项关于身体活动的新全球行动,即让更活跃的人促进更健康的世界,其中包括到2030年将全球青少年和成年人身体活动不足的发生率相对降低15%的新目标。我们按国家、地区和全球描述了11-17岁学龄青少年身体活动不足的现状和趋势。方法:我们对横断面调查数据进行了汇总分析,这些数据是通过随机抽样收集的,样本量至少为100人,代表了一个国家或定义的次国家人口,并报告了青少年中按性别划分的身体活动不足的流行程度。必须报告10-19岁年龄组中至少3岁的患病率。我们估计了2001- 2016年各个国家、世界银行四个收入群体、九个地区和全球11-17岁学龄青少年身体活动不足的普遍程度(综合和按性别划分)。为了得出身体活动不足的标准定义,并调整城市调查覆盖范围,我们使用了回归模型。我们使用多层混合效应模型估计时间趋势。研究结果:我们使用了来自146个国家、地区和地区的298项基于学校的调查数据,其中包括160万名11-17岁的学生。2016年,全球11-17岁的学生中有81.6%(95%不确定区间为77.8 - 87.7)身体活动不足(男孩为77.6%[76.1 - 88.4],女孩为84.7%[88.3 - 88.2])。尽管2001年至2016年间,男孩身体活动不足的患病率显著下降(从2001年的83.1%[78.3 - 86.1]下降),但女孩没有显著变化(从2001年的85.5%[83.1 - 88.6]下降)。根据国家收入组,没有明确的模式:2016年活动不足患病率在低收入国家为84.9%(86.2 - 88.2),在中低收入国家为79.3%(77.2 - 87.5),在中高收入国家为83.9%(79.5 - 82.9),在高收入国家为79.4%(74.0 - 86.2)。2016年活动不足患病率最高的地区是高收入亚太地区,男孩(89.0%,62.8% - 92.2%)和女孩(95.6%,73.7% - 97.9%)都是如此。男孩患病率最低的地区为西方高收入国家(72.1%,71.1 - 73.6),女孩患病率最低的地区为南亚(77.5%,72.8 - 89.3)。2016年,27个国家的女孩活动不足发生率为90%或更高,而两个国家的男孩活动不足发生率为90%或更高。解释:大多数青少年没有达到目前的身体活动指南。迫切需要加强执行已知的有效政策和规划,以增加青少年的活动。在各级进行投资和发挥领导作用,干预可能导致体育活动参与度低和性别差异长期存在的多重原因和不公平现象,以及青年自身的参与,对于加强所有社区的体育活动机会至关重要。这一行动将改善这一代和未来年轻一代的健康,并支持实现2030年可持续发展目标。资金:谁。
本文章由计算机程序翻译,如有差异,请以英文原文为准。
求助全文
约1分钟内获得全文 求助全文
来源期刊
自引率
0.00%
发文量
0
×
引用
GB/T 7714-2015
复制
MLA
复制
APA
复制
导出至
BibTeX EndNote RefMan NoteFirst NoteExpress
×
提示
您的信息不完整,为了账户安全,请先补充。
现在去补充
×
提示
您因"违规操作"
具体请查看互助需知
我知道了
×
提示
确定
请完成安全验证×
copy
已复制链接
快去分享给好友吧!
我知道了
右上角分享
点击右上角分享
0
联系我们:info@booksci.cn Book学术提供免费学术资源搜索服务,方便国内外学者检索中英文文献。致力于提供最便捷和优质的服务体验。 Copyright © 2023 布克学术 All rights reserved.
京ICP备2023020795号-1
ghs 京公网安备 11010802042870号
Book学术文献互助
Book学术文献互助群
群 号:604180095
Book学术官方微信