Elevated Neurodegeneration Markers in the Aqueous Humor of Primary Open Angle and Normal Tension Glaucoma Patients Correlate With Disease Severity.

IF 4.7 2区 医学 Q1 OPHTHALMOLOGY
Archana Padmanabhan Nair, Sushma Tejwani, Shoruba Dinakaran, Naren Shetty, Rohit Shetty, Arkasubhra Ghosh, Swaminathan Sethu
{"title":"Elevated Neurodegeneration Markers in the Aqueous Humor of Primary Open Angle and Normal Tension Glaucoma Patients Correlate With Disease Severity.","authors":"Archana Padmanabhan Nair, Sushma Tejwani, Shoruba Dinakaran, Naren Shetty, Rohit Shetty, Arkasubhra Ghosh, Swaminathan Sethu","doi":"10.1167/iovs.66.13.24","DOIUrl":null,"url":null,"abstract":"<p><strong>Purpose: </strong>Glaucoma, a degenerative condition of the optic nerve, results in irreversible blindness. Intraocular monitoring of neurodegeneration markers will help in early diagnosis, prognostication, and unravelling novel disease mechanisms. Thus, we evaluated neurodegeneration markers in patients with glaucoma and correlated them with clinical parameters.</p><p><strong>Methods: </strong>Aqueous humor (AH) from patients with primary open angle glaucoma (POAG; 26 eyes), normal tension glaucoma (NTG; 10 eyes), and non-glaucomatous controls (18 eyes) were collected at the time of trabeculectomy and/or cataract surgery. The levels of amyloid-beta (Aβ)40, Aβ42, β-synuclein, glial fibrillary acidic protein (GFAP), neurofilament heavy chain (NfH), neurofilament light chain (NfL), total Tau (t-Tau), and ubiquitin C-terminal hydrolase L1 (UCHL1) were measured in AH using microfluidic cartridge-based multiplex ELISA.</p><p><strong>Results: </strong>The levels of Aβ40, Aβ42, β-synuclein, GFAP, NfH, NfL, and t-Tau in the AH were significantly (P < 0.0001) higher in patients with POAG compared with the healthy controls. Whereas, Aβ40, Aβ42, and NfH were significantly (P < 0.05) higher in patients with NTG compared with controls. Area under the curve (AUC) analysis demonstrated that, in patients with POAG, Aβ40, Aβ42, GFAP, and NfH exhibited AUC values of 0.949, 0.929, 0.944, and 0.955, respectively, with 80% to 100% sensitivity and specificity (P < 0.0001). In patients with NTG, only NfH showed a comparable AUC of 0.944 with similar diagnostic accuracy. GFAP, Aβ42, and t-Tau levels were observed to be inversely associated with visual field index and/or retinal nerve fiber layer thickness of patients with POAG and/or NTG.</p><p><strong>Conclusions: </strong>Increased intraocular levels of neurodegeneration markers and their association with clinical parameters in patients with POAG and/or NTG indicate their potential as biomarkers or therapeutic targets in the management of glaucoma.</p>","PeriodicalId":14620,"journal":{"name":"Investigative ophthalmology & visual science","volume":"66 13","pages":"24"},"PeriodicalIF":4.7000,"publicationDate":"2025-10-01","publicationTypes":"Journal Article","fieldsOfStudy":null,"isOpenAccess":false,"openAccessPdf":"https://www.ncbi.nlm.nih.gov/pmc/articles/PMC12533508/pdf/","citationCount":"0","resultStr":null,"platform":"Semanticscholar","paperid":null,"PeriodicalName":"Investigative ophthalmology & visual science","FirstCategoryId":"3","ListUrlMain":"https://doi.org/10.1167/iovs.66.13.24","RegionNum":2,"RegionCategory":"医学","ArticlePicture":[],"TitleCN":null,"AbstractTextCN":null,"PMCID":null,"EPubDate":"","PubModel":"","JCR":"Q1","JCRName":"OPHTHALMOLOGY","Score":null,"Total":0}
引用次数: 0

Abstract

Purpose: Glaucoma, a degenerative condition of the optic nerve, results in irreversible blindness. Intraocular monitoring of neurodegeneration markers will help in early diagnosis, prognostication, and unravelling novel disease mechanisms. Thus, we evaluated neurodegeneration markers in patients with glaucoma and correlated them with clinical parameters.

Methods: Aqueous humor (AH) from patients with primary open angle glaucoma (POAG; 26 eyes), normal tension glaucoma (NTG; 10 eyes), and non-glaucomatous controls (18 eyes) were collected at the time of trabeculectomy and/or cataract surgery. The levels of amyloid-beta (Aβ)40, Aβ42, β-synuclein, glial fibrillary acidic protein (GFAP), neurofilament heavy chain (NfH), neurofilament light chain (NfL), total Tau (t-Tau), and ubiquitin C-terminal hydrolase L1 (UCHL1) were measured in AH using microfluidic cartridge-based multiplex ELISA.

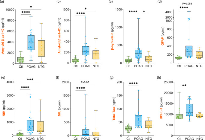
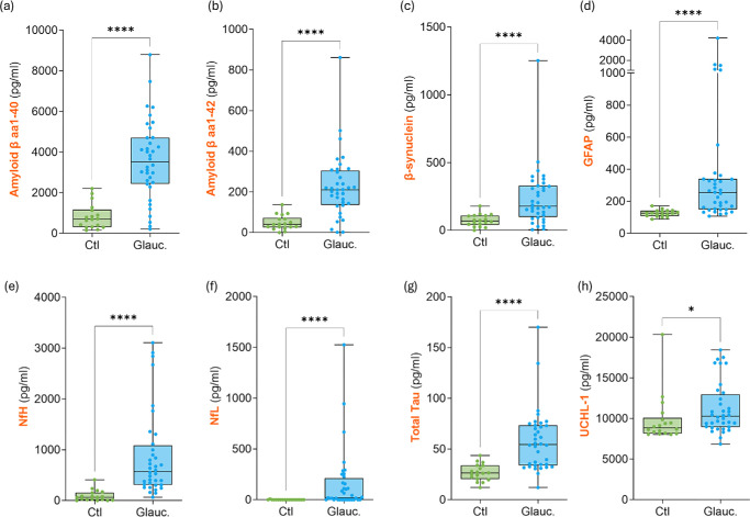
Results: The levels of Aβ40, Aβ42, β-synuclein, GFAP, NfH, NfL, and t-Tau in the AH were significantly (P < 0.0001) higher in patients with POAG compared with the healthy controls. Whereas, Aβ40, Aβ42, and NfH were significantly (P < 0.05) higher in patients with NTG compared with controls. Area under the curve (AUC) analysis demonstrated that, in patients with POAG, Aβ40, Aβ42, GFAP, and NfH exhibited AUC values of 0.949, 0.929, 0.944, and 0.955, respectively, with 80% to 100% sensitivity and specificity (P < 0.0001). In patients with NTG, only NfH showed a comparable AUC of 0.944 with similar diagnostic accuracy. GFAP, Aβ42, and t-Tau levels were observed to be inversely associated with visual field index and/or retinal nerve fiber layer thickness of patients with POAG and/or NTG.

Conclusions: Increased intraocular levels of neurodegeneration markers and their association with clinical parameters in patients with POAG and/or NTG indicate their potential as biomarkers or therapeutic targets in the management of glaucoma.

Abstract Image

Abstract Image

Abstract Image

原发性开角型和正常张力型青光眼患者房水神经变性标志物升高与病情严重程度相关
目的:青光眼是一种视神经退行性疾病,可导致不可逆的失明。眼内监测神经变性标志物将有助于早期诊断、预测和揭示新的疾病机制。因此,我们评估了青光眼患者的神经变性标志物,并将其与临床参数联系起来。方法:收集原发性开角型青光眼(POAG, 26眼)、正常张力型青光眼(NTG, 10眼)和非青光眼对照(18眼)患者小梁切除术和/或白内障手术时房水(AH)。采用基于微流控粉盒的多重ELISA法检测AH中淀粉样蛋白- β (Aβ)40、Aβ42、β-突触核蛋白、胶质纤维酸性蛋白(GFAP)、神经丝重链(NfH)、神经丝轻链(NfL)、总Tau蛋白(t-Tau)和泛素c端水解酶L1 (UCHL1)的水平。结果:与健康对照组相比,POAG患者AH中Aβ40、Aβ42、β-突触核蛋白、GFAP、NfH、NfL、t-Tau水平显著升高(P < 0.0001)。NTG患者Aβ40、Aβ42和NfH水平均显著高于对照组(P < 0.05)。曲线下面积(AUC)分析显示,在POAG患者中,a - β40、a - β42、GFAP和NfH的AUC值分别为0.949、0.929、0.944和0.955,敏感性和特异性分别为80% ~ 100% (P < 0.0001)。在NTG患者中,只有NfH的AUC为0.944,诊断准确性相似。观察到GFAP、Aβ42和t-Tau水平与POAG和/或NTG患者的视野指数和/或视网膜神经纤维层厚度呈负相关。结论:POAG和/或NTG患者眼内神经变性标志物水平升高及其与临床参数的相关性表明,它们有可能成为青光眼治疗的生物标志物或治疗靶点。
本文章由计算机程序翻译,如有差异,请以英文原文为准。
求助全文
约1分钟内获得全文 求助全文
来源期刊
CiteScore
6.90
自引率
4.50%
发文量
339
审稿时长
1 months
期刊介绍: Investigative Ophthalmology & Visual Science (IOVS), published as ready online, is a peer-reviewed academic journal of the Association for Research in Vision and Ophthalmology (ARVO). IOVS features original research, mostly pertaining to clinical and laboratory ophthalmology and vision research in general.
×
引用
GB/T 7714-2015
复制
MLA
复制
APA
复制
导出至
BibTeX EndNote RefMan NoteFirst NoteExpress
×
提示
您的信息不完整,为了账户安全,请先补充。
现在去补充
×
提示
您因"违规操作"
具体请查看互助需知
我知道了
×
提示
确定
请完成安全验证×
copy
已复制链接
快去分享给好友吧!
我知道了
右上角分享
点击右上角分享
0
联系我们:info@booksci.cn Book学术提供免费学术资源搜索服务,方便国内外学者检索中英文文献。致力于提供最便捷和优质的服务体验。 Copyright © 2023 布克学术 All rights reserved.
京ICP备2023020795号-1
ghs 京公网安备 11010802042870号
Book学术文献互助
Book学术文献互助群
群 号:604180095
Book学术官方微信