Machine Learning-Based Prediction of Histopathological Classification in Colorectal Polyps.

IF 1.6 4区 医学 Q4 GASTROENTEROLOGY & HEPATOLOGY
Gökhan Koker, Gizem Zorlu Gorgulugil, Muhammed Ali Coskuner, Merve Eren Durmus
{"title":"Machine Learning-Based Prediction of Histopathological Classification in Colorectal Polyps.","authors":"Gökhan Koker, Gizem Zorlu Gorgulugil, Muhammed Ali Coskuner, Merve Eren Durmus","doi":"10.5152/tjg.2025.25542","DOIUrl":null,"url":null,"abstract":"<p><p>Background/Aims: Colorectal polyps are precursor lesions of colorectal cancer, and their histopathological types are critical for determining malignant potential. Predicting polyp histopathological types may support early and appropriate clinical management. Machine learning (ML) algorithms based on accessible demographic, clinical, and lifestyle data can contribute to individualized screening strategies. Materials and Methods: This retrospective cross-sectional study included 491 individuals who underwent colonoscopy for the first time between 2022 and 2025 at University of Health Sciences, Antalya Training and Research Hospital. Demographic and clinical data were recorded, and dietary habits were assessed using the Food Frequency Questionnaire. Patients were classified into 3 groups according to histopathology: adenomatous polyp, hyperplastic polyp, and no polyp. Four ML algorithms-decision tree, random forest, support vector machines (SVMs), and extreme gradient boosting-were applied. Model performance was evaluated using accuracy, sensitivity, specificity, kappa statistic, and McNemar's test. Variable contributions were further analyzed with SHapley Additive exPlanations. Results: Accuracy ranged from 70.9% to 76.4%, with the highest performance from SVM (76.4%) and random forest (75.7%). Extreme gradient boosting showed lower overall accuracy (70.9%) but was the only model that identified hyperplastic polyps. The no polyp group was consistently predicted with high accuracy (sensitivity 85.6%-95.9%). Precision for adenomatous polyps was highest with SVM (71.4%). SHapley Additive exPlanations analysis highlighted frequent bulgur consumption (>2 times/week), red meat intake, age, and body mass index as major predictors. Conclusion: Machine learning algorithms can predict colorectal polyp histopathological types using routine demographic, clinical, and dietary data, enabling more personalized and effective screening beyond age-based protocols.</p>","PeriodicalId":51205,"journal":{"name":"Turkish Journal of Gastroenterology","volume":"36 10","pages":"700-707"},"PeriodicalIF":1.6000,"publicationDate":"2025-10-01","publicationTypes":"Journal Article","fieldsOfStudy":null,"isOpenAccess":false,"openAccessPdf":"https://www.ncbi.nlm.nih.gov/pmc/articles/PMC12520147/pdf/","citationCount":"0","resultStr":null,"platform":"Semanticscholar","paperid":null,"PeriodicalName":"Turkish Journal of Gastroenterology","FirstCategoryId":"3","ListUrlMain":"https://doi.org/10.5152/tjg.2025.25542","RegionNum":4,"RegionCategory":"医学","ArticlePicture":[],"TitleCN":null,"AbstractTextCN":null,"PMCID":null,"EPubDate":"","PubModel":"","JCR":"Q4","JCRName":"GASTROENTEROLOGY & HEPATOLOGY","Score":null,"Total":0}
引用次数: 0

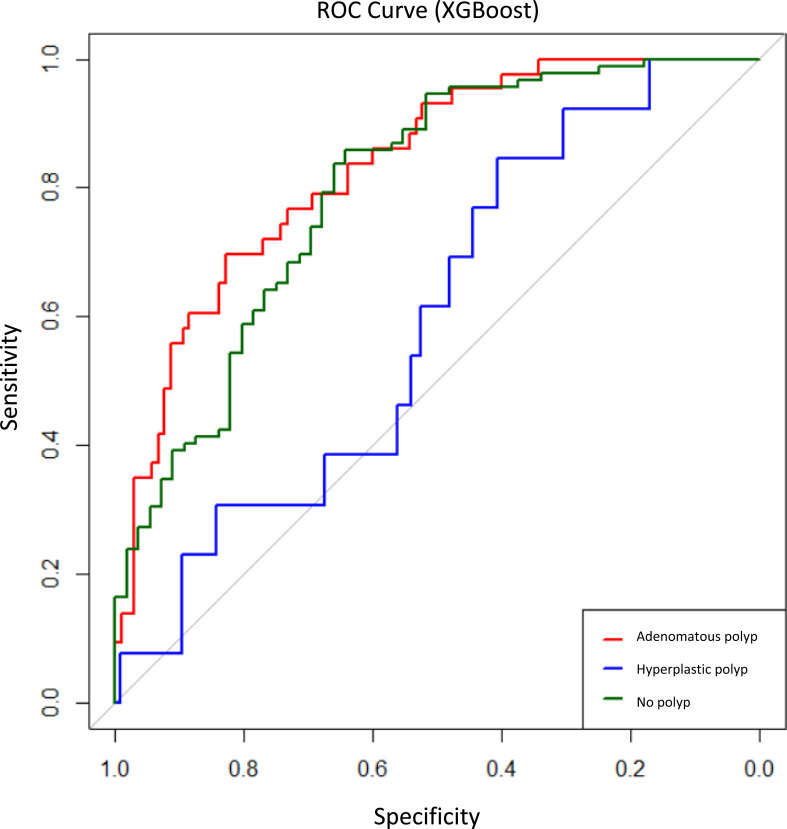
Abstract

Background/Aims: Colorectal polyps are precursor lesions of colorectal cancer, and their histopathological types are critical for determining malignant potential. Predicting polyp histopathological types may support early and appropriate clinical management. Machine learning (ML) algorithms based on accessible demographic, clinical, and lifestyle data can contribute to individualized screening strategies. Materials and Methods: This retrospective cross-sectional study included 491 individuals who underwent colonoscopy for the first time between 2022 and 2025 at University of Health Sciences, Antalya Training and Research Hospital. Demographic and clinical data were recorded, and dietary habits were assessed using the Food Frequency Questionnaire. Patients were classified into 3 groups according to histopathology: adenomatous polyp, hyperplastic polyp, and no polyp. Four ML algorithms-decision tree, random forest, support vector machines (SVMs), and extreme gradient boosting-were applied. Model performance was evaluated using accuracy, sensitivity, specificity, kappa statistic, and McNemar's test. Variable contributions were further analyzed with SHapley Additive exPlanations. Results: Accuracy ranged from 70.9% to 76.4%, with the highest performance from SVM (76.4%) and random forest (75.7%). Extreme gradient boosting showed lower overall accuracy (70.9%) but was the only model that identified hyperplastic polyps. The no polyp group was consistently predicted with high accuracy (sensitivity 85.6%-95.9%). Precision for adenomatous polyps was highest with SVM (71.4%). SHapley Additive exPlanations analysis highlighted frequent bulgur consumption (>2 times/week), red meat intake, age, and body mass index as major predictors. Conclusion: Machine learning algorithms can predict colorectal polyp histopathological types using routine demographic, clinical, and dietary data, enabling more personalized and effective screening beyond age-based protocols.

Abstract Image

Abstract Image

Abstract Image

基于机器学习的结直肠息肉组织病理分类预测。
背景/目的:结直肠息肉是结直肠癌的前驱病变,其组织病理学类型是判断其恶性潜能的关键。预测息肉的组织病理学类型可以支持早期和适当的临床治疗。基于可访问的人口统计、临床和生活方式数据的机器学习(ML)算法可以为个性化筛查策略做出贡献。材料和方法:这项回顾性横断面研究包括491名在安塔利亚培训和研究医院健康科学大学于2022年至2025年间首次接受结肠镜检查的患者。记录人口统计和临床数据,并使用食物频率问卷评估饮食习惯。根据组织病理学将患者分为3组:腺瘤性息肉、增生性息肉和无息肉。四种机器学习算法-决策树,随机森林,支持向量机(svm)和极端梯度提升-被应用。采用准确性、敏感性、特异性、kappa统计量和McNemar检验评估模型性能。采用SHapley加性解释进一步分析变量贡献。结果:准确率在70.9% ~ 76.4%之间,其中SVM(76.4%)和随机森林(75.7%)的准确率最高。极端梯度增强显示出较低的总体准确性(70.9%),但它是识别增殖性息肉的唯一模型。无息肉组预测准确率较高(敏感性85.6% ~ 95.9%)。支持向量机诊断腺瘤性息肉的准确率最高(71.4%)。SHapley加性解释分析强调频繁食用粗碎肉(每周2次)、红肉摄入量、年龄和体重指数是主要的预测因素。结论:机器学习算法可以利用常规的人口统计学、临床和饮食数据预测结直肠息肉的组织病理学类型,从而在基于年龄的方案之外实现更个性化和有效的筛查。
本文章由计算机程序翻译,如有差异,请以英文原文为准。
求助全文
约1分钟内获得全文 求助全文
来源期刊
Turkish Journal of Gastroenterology
Turkish Journal of Gastroenterology 医学-胃肠肝病学
CiteScore
1.90
自引率
0.00%
发文量
127
审稿时长
6 months
期刊介绍: The Turkish Journal of Gastroenterology (Turk J Gastroenterol) is the double-blind peer-reviewed, open access, international publication organ of the Turkish Society of Gastroenterology. The journal is a bimonthly publication, published on January, March, May, July, September, November and its publication language is English. The Turkish Journal of Gastroenterology aims to publish international at the highest clinical and scientific level on original issues of gastroenterology and hepatology. The journal publishes original papers, review articles, case reports and letters to the editor on clinical and experimental gastroenterology and hepatology.
×
引用
GB/T 7714-2015
复制
MLA
复制
APA
复制
导出至
BibTeX EndNote RefMan NoteFirst NoteExpress
×
提示
您的信息不完整,为了账户安全,请先补充。
现在去补充
×
提示
您因"违规操作"
具体请查看互助需知
我知道了
×
提示
确定
请完成安全验证×
copy
已复制链接
快去分享给好友吧!
我知道了
右上角分享
点击右上角分享
0
联系我们:info@booksci.cn Book学术提供免费学术资源搜索服务,方便国内外学者检索中英文文献。致力于提供最便捷和优质的服务体验。 Copyright © 2023 布克学术 All rights reserved.
京ICP备2023020795号-1
ghs 京公网安备 11010802042870号
Book学术文献互助
Book学术文献互助群
群 号:604180095
Book学术官方微信