Sleep duration and subject-specific academic performance among adolescents in China.

IF 3 1区 心理学 Q1 EDUCATION & EDUCATIONAL RESEARCH
Maohua Wang, Zhuo Chen, Ni Han, Hao Yao
{"title":"Sleep duration and subject-specific academic performance among adolescents in China.","authors":"Maohua Wang, Zhuo Chen, Ni Han, Hao Yao","doi":"10.1038/s41539-025-00361-y","DOIUrl":null,"url":null,"abstract":"<p><p>This study draws on data from 54,102 eighth-grade students across 717 middle schools in Shanghai, China, to examine the relationship between sleep duration and academic performance across subjects. Sleep duration was self-reported as average nightly sleep on school days, and academic performance was assessed through standardized subject tests administered in the same semester. Using OLS regression, threshold models, and Shapley value decomposition, we found that around 8 h of sleep was most strongly associated with higher academic performance, particularly in mathematics and science. The positive association was more evident among lower-achieving students. Girls generally required slightly longer sleep than boys to achieve their best performance in most subjects, except mathematics. Additionally, homework time and electronic device use were significantly linked to reduced sleep duration. These findings underscore the importance of adequate sleep in supporting adolescent learning and suggest that interventions should address sleep habits alongside academic demands in high-pressure educational contexts.</p>","PeriodicalId":48503,"journal":{"name":"npj Science of Learning","volume":"10 1","pages":"71"},"PeriodicalIF":3.0000,"publicationDate":"2025-09-30","publicationTypes":"Journal Article","fieldsOfStudy":null,"isOpenAccess":false,"openAccessPdf":"https://www.ncbi.nlm.nih.gov/pmc/articles/PMC12485100/pdf/","citationCount":"0","resultStr":null,"platform":"Semanticscholar","paperid":null,"PeriodicalName":"npj Science of Learning","FirstCategoryId":"102","ListUrlMain":"https://doi.org/10.1038/s41539-025-00361-y","RegionNum":1,"RegionCategory":"心理学","ArticlePicture":[],"TitleCN":null,"AbstractTextCN":null,"PMCID":null,"EPubDate":"","PubModel":"","JCR":"Q1","JCRName":"EDUCATION & EDUCATIONAL RESEARCH","Score":null,"Total":0}
引用次数: 0

Abstract

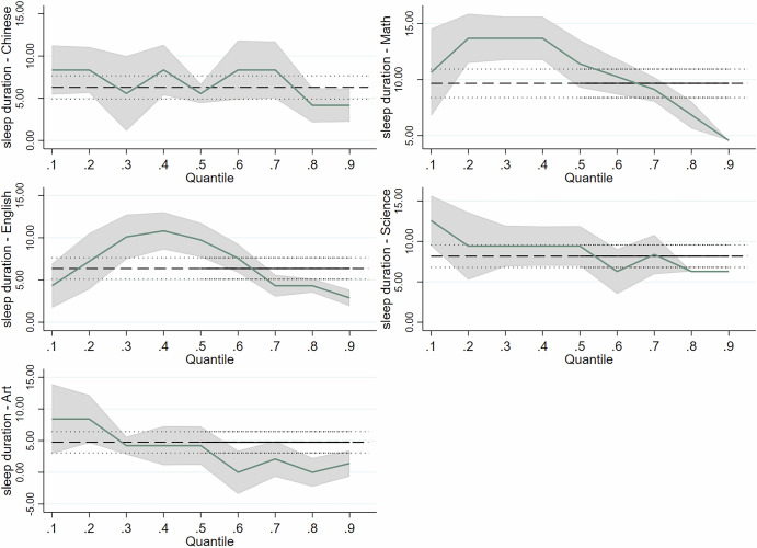
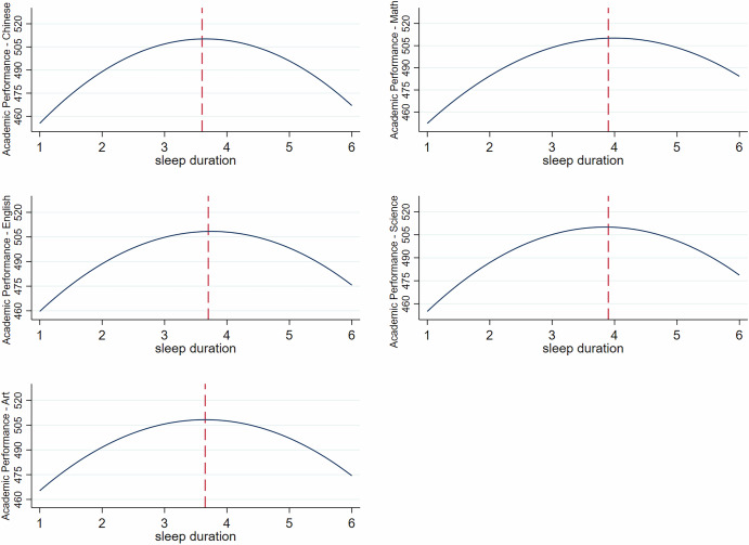
This study draws on data from 54,102 eighth-grade students across 717 middle schools in Shanghai, China, to examine the relationship between sleep duration and academic performance across subjects. Sleep duration was self-reported as average nightly sleep on school days, and academic performance was assessed through standardized subject tests administered in the same semester. Using OLS regression, threshold models, and Shapley value decomposition, we found that around 8 h of sleep was most strongly associated with higher academic performance, particularly in mathematics and science. The positive association was more evident among lower-achieving students. Girls generally required slightly longer sleep than boys to achieve their best performance in most subjects, except mathematics. Additionally, homework time and electronic device use were significantly linked to reduced sleep duration. These findings underscore the importance of adequate sleep in supporting adolescent learning and suggest that interventions should address sleep habits alongside academic demands in high-pressure educational contexts.

Abstract Image

Abstract Image

Abstract Image

中国青少年睡眠时间与学科学习成绩的关系
这项研究利用了来自中国上海717所中学的54,102名八年级学生的数据,以检验不同科目的睡眠时间与学习成绩之间的关系。睡眠时间以学生在校期间每晚的平均睡眠时间自述,学习成绩通过同一学期进行的标准化科目测试进行评估。使用OLS回归、阈值模型和Shapley值分解,我们发现大约8小时的睡眠与更高的学习成绩密切相关,特别是在数学和科学方面。这种积极的联系在成绩较差的学生中更为明显。女孩通常需要比男孩稍长的睡眠时间才能在大多数科目上取得最佳成绩,除了数学。此外,家庭作业时间和电子设备的使用与睡眠时间的减少显著相关。这些发现强调了充足睡眠对支持青少年学习的重要性,并建议干预措施应解决睡眠习惯和高压教育环境下的学业要求。
本文章由计算机程序翻译,如有差异,请以英文原文为准。
求助全文
约1分钟内获得全文 求助全文
来源期刊
CiteScore
5.40
自引率
7.10%
发文量
29
×
引用
GB/T 7714-2015
复制
MLA
复制
APA
复制
导出至
BibTeX EndNote RefMan NoteFirst NoteExpress
×
提示
您的信息不完整,为了账户安全,请先补充。
现在去补充
×
提示
您因"违规操作"
具体请查看互助需知
我知道了
×
提示
确定
请完成安全验证×
copy
已复制链接
快去分享给好友吧!
我知道了
右上角分享
点击右上角分享
0
联系我们:info@booksci.cn Book学术提供免费学术资源搜索服务,方便国内外学者检索中英文文献。致力于提供最便捷和优质的服务体验。 Copyright © 2023 布克学术 All rights reserved.
京ICP备2023020795号-1
ghs 京公网安备 11010802042870号
Book学术文献互助
Book学术文献互助群
群 号:604180095
Book学术官方微信