Maternal Hydroxytyrosol Supplementation Enhances Antioxidant Capacity and Immunometabolic Adaptations in Nutrient-Restricted Beef Cows and Their Offspring.

IF 6.6 2区 医学 Q1 BIOCHEMISTRY & MOLECULAR BIOLOGY
Nieves Escalera-Moreno, Javier Álvarez-Rodríguez, Leire López de Armentia, Alba Macià, Maria José Martín-Alonso, Ester Molina, Daniel Villalba, Albina Sanz, Beatriz Serrano-Pérez
{"title":"Maternal Hydroxytyrosol Supplementation Enhances Antioxidant Capacity and Immunometabolic Adaptations in Nutrient-Restricted Beef Cows and Their Offspring.","authors":"Nieves Escalera-Moreno, Javier Álvarez-Rodríguez, Leire López de Armentia, Alba Macià, Maria José Martín-Alonso, Ester Molina, Daniel Villalba, Albina Sanz, Beatriz Serrano-Pérez","doi":"10.3390/antiox14091097","DOIUrl":null,"url":null,"abstract":"<p><p>The impact of maternal dietary restriction and hydroxytyrosol (HT) supplementation during the last third of gestation on plasma malondialdehyde (MDA) concentration, total antioxidant capacity (ABTS assay), and peripheral blood gene expression related to antioxidant defence, immune response, and energy metabolism was evaluated in beef cows and calves. Two feeding treatments in late gestation (T100% vs. T60% of nutrient requirements) and two HT levels (Control vs. HT at 180 mg/kg of diet) were evaluated during gestation (<i>n</i> = 46 cows) and lactation (<i>n</i> = 37 cows and calves). In pregnant cows, undernutrition led to inhibition of glucose oxidation (<i>PDK4</i>), decreased lipid synthesis (<i>HMGCS1</i> and <i>SCD</i>) and TLR signalling; T60% cows showed higher plasma MDA (<i>p</i> < 0.05) with no positive effect of HT on antioxidant capacity. Contrarily, during lactation, earlier HT supplementation upregulated antioxidant capacity and modulated antioxidant gene expression (<i>p</i> < 0.05). In calves, there was an increase in <i>SOD1</i>, <i>CAT</i>, and <i>GPX1</i>, especially in the T60%-HT group (<i>p</i> < 0.05). Interestingly, HT supplementation increased glucose transport (<i>SLC2A1</i>/<i>GLUT1</i>) during pregnancy and lactation (<i>p</i> < 0.05). However, it caused different effects on immunometabolic regulation in both dams and calves, depending on maternal diet. Overall, maternal HT supplementation under restricted nutritional conditions promoted postpartum antioxidant capacity and modulated immune and metabolic gene expression in cows and calves.</p>","PeriodicalId":7984,"journal":{"name":"Antioxidants","volume":"14 9","pages":""},"PeriodicalIF":6.6000,"publicationDate":"2025-09-08","publicationTypes":"Journal Article","fieldsOfStudy":null,"isOpenAccess":false,"openAccessPdf":"https://www.ncbi.nlm.nih.gov/pmc/articles/PMC12466888/pdf/","citationCount":"0","resultStr":null,"platform":"Semanticscholar","paperid":null,"PeriodicalName":"Antioxidants","FirstCategoryId":"3","ListUrlMain":"https://doi.org/10.3390/antiox14091097","RegionNum":2,"RegionCategory":"医学","ArticlePicture":[],"TitleCN":null,"AbstractTextCN":null,"PMCID":null,"EPubDate":"","PubModel":"","JCR":"Q1","JCRName":"BIOCHEMISTRY & MOLECULAR BIOLOGY","Score":null,"Total":0}
引用次数: 0

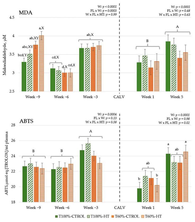
Abstract

The impact of maternal dietary restriction and hydroxytyrosol (HT) supplementation during the last third of gestation on plasma malondialdehyde (MDA) concentration, total antioxidant capacity (ABTS assay), and peripheral blood gene expression related to antioxidant defence, immune response, and energy metabolism was evaluated in beef cows and calves. Two feeding treatments in late gestation (T100% vs. T60% of nutrient requirements) and two HT levels (Control vs. HT at 180 mg/kg of diet) were evaluated during gestation (n = 46 cows) and lactation (n = 37 cows and calves). In pregnant cows, undernutrition led to inhibition of glucose oxidation (PDK4), decreased lipid synthesis (HMGCS1 and SCD) and TLR signalling; T60% cows showed higher plasma MDA (p < 0.05) with no positive effect of HT on antioxidant capacity. Contrarily, during lactation, earlier HT supplementation upregulated antioxidant capacity and modulated antioxidant gene expression (p < 0.05). In calves, there was an increase in SOD1, CAT, and GPX1, especially in the T60%-HT group (p < 0.05). Interestingly, HT supplementation increased glucose transport (SLC2A1/GLUT1) during pregnancy and lactation (p < 0.05). However, it caused different effects on immunometabolic regulation in both dams and calves, depending on maternal diet. Overall, maternal HT supplementation under restricted nutritional conditions promoted postpartum antioxidant capacity and modulated immune and metabolic gene expression in cows and calves.

Abstract Image

Abstract Image

Abstract Image

母系补充羟基酪醇可提高营养受限肉牛及其后代的抗氧化能力和免疫代谢适应性。
研究了妊娠后期母体饲粮限制和补充羟酪醇(HT)对肉牛和犊牛血浆丙二醛(MDA)浓度、总抗氧化能力(ABTS)以及与抗氧化防御、免疫反应和能量代谢相关的外周血基因表达的影响。在妊娠后期(n = 46头奶牛)和哺乳期(n = 37头奶牛和犊牛)评估了两种饲喂处理(营养需给量的T100%和T60%)和两种HT水平(对照和180 mg/kg饲粮中的HT)。在妊娠奶牛中,营养不良导致葡萄糖氧化(PDK4)抑制、脂质合成(HMGCS1和SCD)降低和TLR信号传导;T60%奶牛血浆丙二醛升高(p < 0.05), HT对抗氧化能力无积极影响。相反,在哺乳期,早期补充HT可上调抗氧化能力并调节抗氧化基因表达(p < 0.05)。犊牛SOD1、CAT和GPX1均升高,以T60%-HT组最为显著(p < 0.05)。有趣的是,在妊娠期和哺乳期,添加HT增加了葡萄糖转运(SLC2A1/GLUT1) (p < 0.05)。然而,它对犊牛和犊牛免疫代谢调节的影响因母体饮食的不同而不同。总体而言,在营养条件受限的情况下,母体补充HT可提高奶牛和犊牛产后抗氧化能力,并调节免疫和代谢基因表达。
本文章由计算机程序翻译,如有差异,请以英文原文为准。
求助全文
约1分钟内获得全文 求助全文
来源期刊
Antioxidants
Antioxidants Biochemistry, Genetics and Molecular Biology-Physiology
CiteScore
10.60
自引率
11.40%
发文量
2123
审稿时长
16.3 days
期刊介绍: Antioxidants (ISSN 2076-3921), provides an advanced forum for studies related to the science and technology of antioxidants. It publishes research papers, reviews and communications. Our aim is to encourage scientists to publish their experimental and theoretical results in as much detail as possible. There is no restriction on the length of the papers. The full experimental details must be provided so that the results can be reproduced. Electronic files and software regarding the full details of the calculation or experimental procedure, if unable to be published in a normal way, can be deposited as supplementary electronic material.
×
引用
GB/T 7714-2015
复制
MLA
复制
APA
复制
导出至
BibTeX EndNote RefMan NoteFirst NoteExpress
×
提示
您的信息不完整,为了账户安全,请先补充。
现在去补充
×
提示
您因"违规操作"
具体请查看互助需知
我知道了
×
提示
确定
请完成安全验证×
copy
已复制链接
快去分享给好友吧!
我知道了
右上角分享
点击右上角分享
0
联系我们:info@booksci.cn Book学术提供免费学术资源搜索服务,方便国内外学者检索中英文文献。致力于提供最便捷和优质的服务体验。 Copyright © 2023 布克学术 All rights reserved.
京ICP备2023020795号-1
ghs 京公网安备 11010802042870号
Book学术文献互助
Book学术文献互助群
群 号:604180095
Book学术官方微信