PTEN/PKM2/ERα-Driven Glyoxalase 1 Overexpression Sustains PC3 Prostate Cancer Cell Growth Through MG-H1/RAGE Pathway Desensitization Leading to H2O2-Dependent KRIT1 Downregulation.

IF 6.6 2区 医学 Q1 BIOCHEMISTRY & MOLECULAR BIOLOGY
Dominga Manfredelli, Camilla Torcoli, Marilena Pariano, Guido Bellezza, Tiziano Baroni, Vincenzo N Talesa, Angelo Sidoni, Cinzia Antognelli
{"title":"PTEN/PKM2/ERα-Driven Glyoxalase 1 Overexpression Sustains PC3 Prostate Cancer Cell Growth Through MG-H1/RAGE Pathway Desensitization Leading to H<sub>2</sub>O<sub>2</sub>-Dependent KRIT1 Downregulation.","authors":"Dominga Manfredelli, Camilla Torcoli, Marilena Pariano, Guido Bellezza, Tiziano Baroni, Vincenzo N Talesa, Angelo Sidoni, Cinzia Antognelli","doi":"10.3390/antiox14091120","DOIUrl":null,"url":null,"abstract":"<p><p>Glyoxalase 1 (Glo1) functions as a catalyst that neutralizes methylglyoxal (MG), a highly reactive glycating agent predominantly produced during glycolysis-a metabolic pathway upregulated in cancer cells. MG primarily reacts with the amino groups of proteins (especially at arginine residues), leading to the formation of a major advanced glycation end product known as MG-derived hydroimidazolone 1 (MG-H1). We previously demonstrated in PC3 human prostate cancer (PCa) cells that the PTEN/PKM2/ERα axis promotes their aggressive phenotype by regulating the Glo1/MG-H1 pathway. In this study, after confirming our earlier findings, we investigated the downstream mechanisms of the PTEN/PKM2/ERα/Glo1/MG-H1 axis in controlling PC3 cell growth, focusing on the role of RAGE, a high-affinity receptor for MG-H1; hydrogen peroxide (H<sub>2</sub>O<sub>2</sub>); and Krev interaction trapped 1 (KRIT1), an emerging tumor suppressor. Using genetic approaches and specific inhibitors/scavengers, we demonstrated that the PTEN/PKM2/ERα/Glo1/MG-H1 axis promotes PC3 cell growth-measured by proliferation and etoposide-induced apoptosis resistance-through a mechanism involving MG-H1/RAGE pathway desensitization that leads to H<sub>2</sub>O<sub>2</sub>-mediated KRIT1 downregulation. These findings support and expand the role of PTEN signaling in PCa progression and shed light on novel mechanistic pathways driven by MG-dependent glycative stress, involving KRIT1, in this still incurable stage of the disease.</p>","PeriodicalId":7984,"journal":{"name":"Antioxidants","volume":"14 9","pages":""},"PeriodicalIF":6.6000,"publicationDate":"2025-09-15","publicationTypes":"Journal Article","fieldsOfStudy":null,"isOpenAccess":false,"openAccessPdf":"https://www.ncbi.nlm.nih.gov/pmc/articles/PMC12466846/pdf/","citationCount":"0","resultStr":null,"platform":"Semanticscholar","paperid":null,"PeriodicalName":"Antioxidants","FirstCategoryId":"3","ListUrlMain":"https://doi.org/10.3390/antiox14091120","RegionNum":2,"RegionCategory":"医学","ArticlePicture":[],"TitleCN":null,"AbstractTextCN":null,"PMCID":null,"EPubDate":"","PubModel":"","JCR":"Q1","JCRName":"BIOCHEMISTRY & MOLECULAR BIOLOGY","Score":null,"Total":0}
引用次数: 0

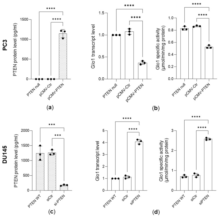
Abstract

Glyoxalase 1 (Glo1) functions as a catalyst that neutralizes methylglyoxal (MG), a highly reactive glycating agent predominantly produced during glycolysis-a metabolic pathway upregulated in cancer cells. MG primarily reacts with the amino groups of proteins (especially at arginine residues), leading to the formation of a major advanced glycation end product known as MG-derived hydroimidazolone 1 (MG-H1). We previously demonstrated in PC3 human prostate cancer (PCa) cells that the PTEN/PKM2/ERα axis promotes their aggressive phenotype by regulating the Glo1/MG-H1 pathway. In this study, after confirming our earlier findings, we investigated the downstream mechanisms of the PTEN/PKM2/ERα/Glo1/MG-H1 axis in controlling PC3 cell growth, focusing on the role of RAGE, a high-affinity receptor for MG-H1; hydrogen peroxide (H2O2); and Krev interaction trapped 1 (KRIT1), an emerging tumor suppressor. Using genetic approaches and specific inhibitors/scavengers, we demonstrated that the PTEN/PKM2/ERα/Glo1/MG-H1 axis promotes PC3 cell growth-measured by proliferation and etoposide-induced apoptosis resistance-through a mechanism involving MG-H1/RAGE pathway desensitization that leads to H2O2-mediated KRIT1 downregulation. These findings support and expand the role of PTEN signaling in PCa progression and shed light on novel mechanistic pathways driven by MG-dependent glycative stress, involving KRIT1, in this still incurable stage of the disease.

Abstract Image

Abstract Image

Abstract Image

PTEN/PKM2/ er α驱动的Glyoxalase 1过表达通过MG-H1/RAGE通路脱敏导致h2o2依赖性KRIT1下调来维持PC3前列腺癌细胞的生长
Glyoxalase 1 (Glo1)作为一种催化剂,可以中和甲基乙二醛(MG),甲基乙二醛是一种高活性的糖基化剂,主要在糖酵解过程中产生,糖酵解是癌细胞中上调的代谢途径。MG主要与蛋白质的氨基(尤其是精氨酸残基)发生反应,导致形成主要的晚期糖基化终产物,即MG衍生的氢咪唑酮1 (MG- h1)。我们之前在PC3人前列腺癌(PCa)细胞中证明PTEN/PKM2/ERα轴通过调节Glo1/MG-H1通路促进其侵袭性表型。在本研究中,在证实了我们之前的发现之后,我们研究了PTEN/PKM2/ERα/Glo1/MG-H1轴在控制PC3细胞生长中的下游机制,重点研究了RAGE (MG-H1的高亲和力受体)的作用;过氧化氢;和Krev相互作用捕获1 (KRIT1),一种新兴的肿瘤抑制因子。利用遗传方法和特异性抑制剂/清除剂,我们证明PTEN/PKM2/ERα/Glo1/MG-H1轴通过MG-H1/RAGE通路脱敏导致h2o2介导的KRIT1下调的机制促进PC3细胞生长(通过增殖和etopo苷诱导的凋亡抗性来测量)。这些发现支持并扩展了PTEN信号在前列腺癌进展中的作用,并揭示了在这个仍然无法治愈的疾病阶段,由mg依赖性糖应激(包括KRIT1)驱动的新的机制途径。
本文章由计算机程序翻译,如有差异,请以英文原文为准。
求助全文
约1分钟内获得全文 求助全文
来源期刊
Antioxidants
Antioxidants Biochemistry, Genetics and Molecular Biology-Physiology
CiteScore
10.60
自引率
11.40%
发文量
2123
审稿时长
16.3 days
期刊介绍: Antioxidants (ISSN 2076-3921), provides an advanced forum for studies related to the science and technology of antioxidants. It publishes research papers, reviews and communications. Our aim is to encourage scientists to publish their experimental and theoretical results in as much detail as possible. There is no restriction on the length of the papers. The full experimental details must be provided so that the results can be reproduced. Electronic files and software regarding the full details of the calculation or experimental procedure, if unable to be published in a normal way, can be deposited as supplementary electronic material.
×
引用
GB/T 7714-2015
复制
MLA
复制
APA
复制
导出至
BibTeX EndNote RefMan NoteFirst NoteExpress
×
提示
您的信息不完整,为了账户安全,请先补充。
现在去补充
×
提示
您因"违规操作"
具体请查看互助需知
我知道了
×
提示
确定
请完成安全验证×
copy
已复制链接
快去分享给好友吧!
我知道了
右上角分享
点击右上角分享
0
联系我们:info@booksci.cn Book学术提供免费学术资源搜索服务,方便国内外学者检索中英文文献。致力于提供最便捷和优质的服务体验。 Copyright © 2023 布克学术 All rights reserved.
京ICP备2023020795号-1
ghs 京公网安备 11010802042870号
Book学术文献互助
Book学术文献互助群
群 号:604180095
Book学术官方微信