Unlocking math potential in students from lower SES backgrounds - using instructional scaffolds to improve performance.

IF 3 1区 心理学 Q1 EDUCATION & EDUCATIONAL RESEARCH
Katharina M Bach, Frank Reinhold, Sarah I Hofer
{"title":"Unlocking math potential in students from lower SES backgrounds - using instructional scaffolds to improve performance.","authors":"Katharina M Bach, Frank Reinhold, Sarah I Hofer","doi":"10.1038/s41539-025-00358-7","DOIUrl":null,"url":null,"abstract":"<p><p>Socioeconomic status (SES) influences school success. Students with lower SES may face challenges that this study aims to address through instructional scaffolding. To be effective, such support needs to consider students' individual strengths and weaknesses. In this study, 321 sixth-grade students used an e-textbook about fractions. They were randomly assigned to receive either adaptive task difficulty, explanatory feedback, or dynamic visualizations as scaffolds or no scaffolding. We assessed their fraction knowledge at pre- and post-test and eigth cognitive and motivational-affective characteristics. Latent profile analyses identified three profiles. Students with lower SES (below the nationwide average) are commonly associated with a profile that has unfavorable learning prerequisites. A linear mixed model revealed that adaptive task difficulty significantly benefited students in this profile. Implementing adaptive task difficulty in math classes might mitigate challenges associated with lower SES, enhancing educational success and equity by addressing individual prerequisites and learning needs.</p>","PeriodicalId":48503,"journal":{"name":"npj Science of Learning","volume":"10 1","pages":"66"},"PeriodicalIF":3.0000,"publicationDate":"2025-09-23","publicationTypes":"Journal Article","fieldsOfStudy":null,"isOpenAccess":false,"openAccessPdf":"https://www.ncbi.nlm.nih.gov/pmc/articles/PMC12457687/pdf/","citationCount":"0","resultStr":null,"platform":"Semanticscholar","paperid":null,"PeriodicalName":"npj Science of Learning","FirstCategoryId":"102","ListUrlMain":"https://doi.org/10.1038/s41539-025-00358-7","RegionNum":1,"RegionCategory":"心理学","ArticlePicture":[],"TitleCN":null,"AbstractTextCN":null,"PMCID":null,"EPubDate":"","PubModel":"","JCR":"Q1","JCRName":"EDUCATION & EDUCATIONAL RESEARCH","Score":null,"Total":0}
引用次数: 0

Abstract

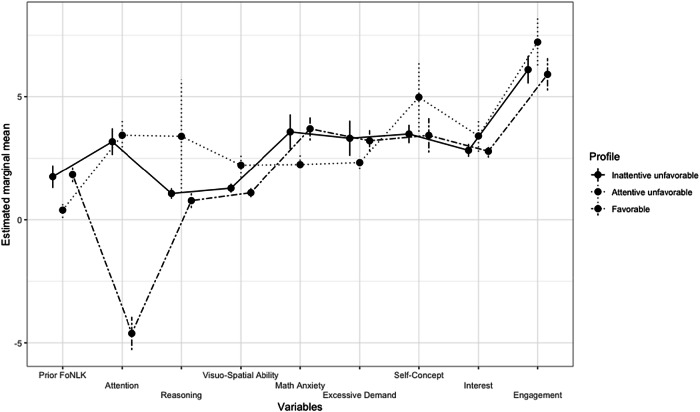
Socioeconomic status (SES) influences school success. Students with lower SES may face challenges that this study aims to address through instructional scaffolding. To be effective, such support needs to consider students' individual strengths and weaknesses. In this study, 321 sixth-grade students used an e-textbook about fractions. They were randomly assigned to receive either adaptive task difficulty, explanatory feedback, or dynamic visualizations as scaffolds or no scaffolding. We assessed their fraction knowledge at pre- and post-test and eigth cognitive and motivational-affective characteristics. Latent profile analyses identified three profiles. Students with lower SES (below the nationwide average) are commonly associated with a profile that has unfavorable learning prerequisites. A linear mixed model revealed that adaptive task difficulty significantly benefited students in this profile. Implementing adaptive task difficulty in math classes might mitigate challenges associated with lower SES, enhancing educational success and equity by addressing individual prerequisites and learning needs.

Abstract Image

Abstract Image

Abstract Image

释放社会经济地位较低学生的数学潜力——利用教学支架提高成绩。
社会经济地位(SES)影响学业成绩。社会经济地位较低的学生可能会面临挑战,本研究旨在通过教学脚手架来解决这些挑战。为了有效,这种支持需要考虑到学生的个人优势和劣势。在这项研究中,321名六年级学生使用了一本关于分数的电子教科书。他们被随机分配接受适应性任务难度,解释性反馈或动态可视化作为脚手架或没有脚手架。我们评估了他们在测试前和测试后的知识分数和8个认知和动机情感特征。潜在剖面分析确定了三种剖面。社会经济地位较低(低于全国平均水平)的学生通常与不利的学习先决条件相关联。线性混合模型显示,自适应任务难度对学生有显著的促进作用。在数学课上实施适应性任务难度可能会减轻与低社会经济地位相关的挑战,通过解决个人先决条件和学习需求来提高教育的成功和公平。
本文章由计算机程序翻译,如有差异,请以英文原文为准。
求助全文
约1分钟内获得全文 求助全文
来源期刊
CiteScore
5.40
自引率
7.10%
发文量
29
×
引用
GB/T 7714-2015
复制
MLA
复制
APA
复制
导出至
BibTeX EndNote RefMan NoteFirst NoteExpress
×
提示
您的信息不完整,为了账户安全,请先补充。
现在去补充
×
提示
您因"违规操作"
具体请查看互助需知
我知道了
×
提示
确定
请完成安全验证×
copy
已复制链接
快去分享给好友吧!
我知道了
右上角分享
点击右上角分享
0
联系我们:info@booksci.cn Book学术提供免费学术资源搜索服务,方便国内外学者检索中英文文献。致力于提供最便捷和优质的服务体验。 Copyright © 2023 布克学术 All rights reserved.
京ICP备2023020795号-1
ghs 京公网安备 11010802042870号
Book学术文献互助
Book学术文献互助群
群 号:604180095
Book学术官方微信