Evaluation of Reflectivities of RPE, ELM, EZ, and Their Relationship With Subretinal Fluid Properties in Central Serous Chorioretinopathy.

IF 4.7 2区 医学 Q1 OPHTHALMOLOGY
Ekin Ece Oskan, Abdullah Agin, Mine Ozturk, Feyza Onder
{"title":"Evaluation of Reflectivities of RPE, ELM, EZ, and Their Relationship With Subretinal Fluid Properties in Central Serous Chorioretinopathy.","authors":"Ekin Ece Oskan, Abdullah Agin, Mine Ozturk, Feyza Onder","doi":"10.1167/iovs.66.12.19","DOIUrl":null,"url":null,"abstract":"<p><strong>Purpose: </strong>The purpose of this study was to assess the reflectivity of the outer retinal layers (ORLs) in patients with central serous chorioretinopathy (CSCR) and to examine the relationship between the dimensions of the subretinal fluid (SRF) and ORL.</p><p><strong>Methods: </strong>This retrospective, cross-sectional study included 33 eyes of 33 patients with CSCR and 33 age- and gender-matched controls. Unnormalized and relative reflectivities for the retinal pigment epithelium (RPE), the external limiting membrane (ELM), and the ellipsoid zone (EZ), as well as SRF height, base width, and area, were measured on optical coherence tomography images. Reflectivity measurements for each retinal layer were performed at three anatomic locations (foveal center, nasal, and temporal regions, 1 mm apart), and the average of these three values was used to calculate average reflectivity (RPEav, EZav, ELMav).</p><p><strong>Results: </strong>RPEav, EZav, and ELMav were lower in patients with CSCR (P < 0.001). In the pigment epithelium detachment (PED) group, EZn and EZav were significantly lower than in the non-PED group (P = 0.012 and P = 0.013, respectively). A negative correlation was observed between SRF base width and EZav (P = 0.018) and ELMav (P = 0.021). SRF area was negatively correlated with both EZav (P = 0.049) and ELMav (P = 0.025). RPEc was negatively correlated with SRF elevation (P = 0.016).</p><p><strong>Conclusions: </strong>This study reveals novel associations between SRF dimensions, PED presence, and outer retinal layer damage in CSCR. Monitoring ORL reflectivity changes may provide insights into disease pathogenesis and help evaluate treatment efficacy.</p>","PeriodicalId":14620,"journal":{"name":"Investigative ophthalmology & visual science","volume":"66 12","pages":"19"},"PeriodicalIF":4.7000,"publicationDate":"2025-09-02","publicationTypes":"Journal Article","fieldsOfStudy":null,"isOpenAccess":false,"openAccessPdf":"https://www.ncbi.nlm.nih.gov/pmc/articles/PMC12422389/pdf/","citationCount":"0","resultStr":null,"platform":"Semanticscholar","paperid":null,"PeriodicalName":"Investigative ophthalmology & visual science","FirstCategoryId":"3","ListUrlMain":"https://doi.org/10.1167/iovs.66.12.19","RegionNum":2,"RegionCategory":"医学","ArticlePicture":[],"TitleCN":null,"AbstractTextCN":null,"PMCID":null,"EPubDate":"","PubModel":"","JCR":"Q1","JCRName":"OPHTHALMOLOGY","Score":null,"Total":0}
引用次数: 0

Abstract

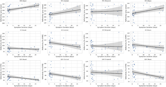
Purpose: The purpose of this study was to assess the reflectivity of the outer retinal layers (ORLs) in patients with central serous chorioretinopathy (CSCR) and to examine the relationship between the dimensions of the subretinal fluid (SRF) and ORL.

Methods: This retrospective, cross-sectional study included 33 eyes of 33 patients with CSCR and 33 age- and gender-matched controls. Unnormalized and relative reflectivities for the retinal pigment epithelium (RPE), the external limiting membrane (ELM), and the ellipsoid zone (EZ), as well as SRF height, base width, and area, were measured on optical coherence tomography images. Reflectivity measurements for each retinal layer were performed at three anatomic locations (foveal center, nasal, and temporal regions, 1 mm apart), and the average of these three values was used to calculate average reflectivity (RPEav, EZav, ELMav).

Results: RPEav, EZav, and ELMav were lower in patients with CSCR (P < 0.001). In the pigment epithelium detachment (PED) group, EZn and EZav were significantly lower than in the non-PED group (P = 0.012 and P = 0.013, respectively). A negative correlation was observed between SRF base width and EZav (P = 0.018) and ELMav (P = 0.021). SRF area was negatively correlated with both EZav (P = 0.049) and ELMav (P = 0.025). RPEc was negatively correlated with SRF elevation (P = 0.016).

Conclusions: This study reveals novel associations between SRF dimensions, PED presence, and outer retinal layer damage in CSCR. Monitoring ORL reflectivity changes may provide insights into disease pathogenesis and help evaluate treatment efficacy.

Abstract Image

Abstract Image

Abstract Image

中枢性浆液性脉络膜视网膜病变中RPE、ELM、EZ的反射率评价及其与视网膜下液性质的关系
目的:本研究的目的是评估中枢性浆液性脉络膜视网膜病变(CSCR)患者视网膜外层(ORL)的反射率,并探讨视网膜下液(SRF)的尺寸与ORL之间的关系。方法:这项回顾性横断面研究包括33例CSCR患者的33只眼睛和33例年龄和性别匹配的对照组。在光学相干断层扫描图像上测量视网膜色素上皮(RPE)、外限制膜(ELM)和椭球区(EZ)的非归一化反射率和相对反射率,以及SRF高度、基底宽度和面积。在三个解剖位置(中央凹中心、鼻区和颞区,间隔1 mm)测量每层视网膜的反射率,并将这三个值的平均值用于计算平均反射率(RPEav、EZav、ELMav)。结果:CSCR患者的RPEav、EZav和ELMav较低(P < 0.001)。色素上皮脱离(PED)组EZn、EZav显著低于非PED组(P = 0.012、P = 0.013)。SRF碱基宽度与EZav (P = 0.018)和ELMav (P = 0.021)呈负相关。SRF面积与EZav (P = 0.049)和ELMav (P = 0.025)呈负相关。RPEc与SRF升高呈负相关(P = 0.016)。结论:本研究揭示了CSCR中SRF尺寸、PED存在和视网膜外层损伤之间的新关联。监测ORL反射率的变化可能有助于了解疾病的发病机制,并有助于评估治疗效果。
本文章由计算机程序翻译,如有差异,请以英文原文为准。
求助全文
约1分钟内获得全文 求助全文
来源期刊
CiteScore
6.90
自引率
4.50%
发文量
339
审稿时长
1 months
期刊介绍: Investigative Ophthalmology & Visual Science (IOVS), published as ready online, is a peer-reviewed academic journal of the Association for Research in Vision and Ophthalmology (ARVO). IOVS features original research, mostly pertaining to clinical and laboratory ophthalmology and vision research in general.
×
引用
GB/T 7714-2015
复制
MLA
复制
APA
复制
导出至
BibTeX EndNote RefMan NoteFirst NoteExpress
×
提示
您的信息不完整,为了账户安全,请先补充。
现在去补充
×
提示
您因"违规操作"
具体请查看互助需知
我知道了
×
提示
确定
请完成安全验证×
copy
已复制链接
快去分享给好友吧!
我知道了
右上角分享
点击右上角分享
0
联系我们:info@booksci.cn Book学术提供免费学术资源搜索服务,方便国内外学者检索中英文文献。致力于提供最便捷和优质的服务体验。 Copyright © 2023 布克学术 All rights reserved.
京ICP备2023020795号-1
ghs 京公网安备 11010802042870号
Book学术文献互助
Book学术文献互助群
群 号:604180095
Book学术官方微信