Analysis of Risk Factors for Coronary Heart Disease in Middle-Aged Men Using the Framingham Risk Score: Based on the Korea National Health and Nutrition Examination Survey (2014-2015).

IF 2.5 Q3 FOOD SCIENCE & TECHNOLOGY
Yeong Jeon, Kyoung Yun Kim, Jung-Mi Yun
{"title":"Analysis of Risk Factors for Coronary Heart Disease in Middle-Aged Men Using the Framingham Risk Score: Based on the Korea National Health and Nutrition Examination Survey (2014-2015).","authors":"Yeong Jeon, Kyoung Yun Kim, Jung-Mi Yun","doi":"10.3746/pnf.2025.30.4.295","DOIUrl":null,"url":null,"abstract":"<p><p>The Framingham risk score (FRS) is used to assess an individual's risk of developing coronary heart disease (CHD) within 10 years by evaluating CHD risk factors. Despite the increasing mortality rate from CHD, there are limited studies examining the association between the atherogenic coefficient (AC), atherogenic index of plasma (AIP), dietary intake (assessed using a food frequency questionnaire), and FRS-CHD in Korea. The FRS is based on the following coronary risk factors: age, sex, total cholesterol, high-density lipoprotein cholesterol, smoking habits, and systolic blood pressure. The present study aimed to examine the factors that increase the risk of developing CHD in middle-aged men using the FRS based on the 2014-2015 Korea National Health and Nutrition Examination Survey (KNHANES). Data from 1,478 middle-aged men who participated in the 2014-2015 KNHANES were used. As the AC [odds ratio (OR), 6.06; 95% confidence interval (CI), 4.38-8.38; <i>P</i><0.001] and AIP (OR, 3.93; 95% CI, 1.93-8.01; <i>P</i><0.001) increased by 1 unit, the risk of developing CHD was significantly higher in the high-risk group than in the low-risk group after adjusting for potential confounding factors. In the high-risk group, the CHD risk decreased with an increase in egg intake per serving (OR, 0.84; 95% CI, 0.75-0.94; <i>P</i><0.01). The AC, AIP, and egg intake were potent determinants of the high-risk group compared with the low-risk group. Blood cholesterol levels and diet control can decrease the CHD risk in the next 10 years.</p>","PeriodicalId":20424,"journal":{"name":"Preventive Nutrition and Food Science","volume":"30 4","pages":"295-304"},"PeriodicalIF":2.5000,"publicationDate":"2025-08-31","publicationTypes":"Journal Article","fieldsOfStudy":null,"isOpenAccess":false,"openAccessPdf":"https://www.ncbi.nlm.nih.gov/pmc/articles/PMC12399910/pdf/","citationCount":"0","resultStr":null,"platform":"Semanticscholar","paperid":null,"PeriodicalName":"Preventive Nutrition and Food Science","FirstCategoryId":"1085","ListUrlMain":"https://doi.org/10.3746/pnf.2025.30.4.295","RegionNum":0,"RegionCategory":null,"ArticlePicture":[],"TitleCN":null,"AbstractTextCN":null,"PMCID":null,"EPubDate":"","PubModel":"","JCR":"Q3","JCRName":"FOOD SCIENCE & TECHNOLOGY","Score":null,"Total":0}
引用次数: 0

Abstract

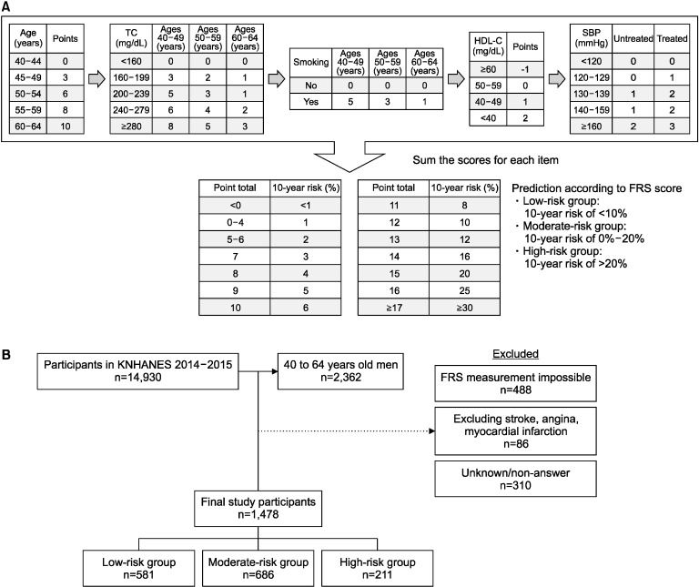
The Framingham risk score (FRS) is used to assess an individual's risk of developing coronary heart disease (CHD) within 10 years by evaluating CHD risk factors. Despite the increasing mortality rate from CHD, there are limited studies examining the association between the atherogenic coefficient (AC), atherogenic index of plasma (AIP), dietary intake (assessed using a food frequency questionnaire), and FRS-CHD in Korea. The FRS is based on the following coronary risk factors: age, sex, total cholesterol, high-density lipoprotein cholesterol, smoking habits, and systolic blood pressure. The present study aimed to examine the factors that increase the risk of developing CHD in middle-aged men using the FRS based on the 2014-2015 Korea National Health and Nutrition Examination Survey (KNHANES). Data from 1,478 middle-aged men who participated in the 2014-2015 KNHANES were used. As the AC [odds ratio (OR), 6.06; 95% confidence interval (CI), 4.38-8.38; P<0.001] and AIP (OR, 3.93; 95% CI, 1.93-8.01; P<0.001) increased by 1 unit, the risk of developing CHD was significantly higher in the high-risk group than in the low-risk group after adjusting for potential confounding factors. In the high-risk group, the CHD risk decreased with an increase in egg intake per serving (OR, 0.84; 95% CI, 0.75-0.94; P<0.01). The AC, AIP, and egg intake were potent determinants of the high-risk group compared with the low-risk group. Blood cholesterol levels and diet control can decrease the CHD risk in the next 10 years.

Abstract Image

基于韩国国民健康与营养调查(2014-2015)的中年男性冠心病危险因素Framingham风险评分分析
Framingham风险评分(FRS)是通过评估冠心病的危险因素来评估个人在10年内患冠心病的风险。尽管冠心病死亡率不断上升,但在韩国,关于动脉粥样硬化系数(AC)、血浆动脉粥样硬化指数(AIP)、饮食摄入(使用食物频率问卷评估)和frs -冠心病之间关系的研究有限。FRS基于以下冠状动脉危险因素:年龄、性别、总胆固醇、高密度脂蛋白胆固醇、吸烟习惯和收缩压。本研究旨在基于2014-2015年韩国国家健康与营养调查(KNHANES),使用FRS来研究中年男性冠心病风险增加的因素。数据来自参与2014-2015年KNHANES的1478名中年男性。作为AC[比值比(OR), 6.06;95%置信区间(CI), 4.38 ~ 8.38;购买力平价
本文章由计算机程序翻译,如有差异,请以英文原文为准。
求助全文
约1分钟内获得全文 求助全文
来源期刊
Preventive Nutrition and Food Science
Preventive Nutrition and Food Science Agricultural and Biological Sciences-Food Science
CiteScore
3.40
自引率
0.00%
发文量
35
×
引用
GB/T 7714-2015
复制
MLA
复制
APA
复制
导出至
BibTeX EndNote RefMan NoteFirst NoteExpress
×
提示
您的信息不完整,为了账户安全,请先补充。
现在去补充
×
提示
您因"违规操作"
具体请查看互助需知
我知道了
×
提示
确定
请完成安全验证×
copy
已复制链接
快去分享给好友吧!
我知道了
右上角分享
点击右上角分享
0
联系我们:info@booksci.cn Book学术提供免费学术资源搜索服务,方便国内外学者检索中英文文献。致力于提供最便捷和优质的服务体验。 Copyright © 2023 布克学术 All rights reserved.
京ICP备2023020795号-1
ghs 京公网安备 11010802042870号
Book学术文献互助
Book学术文献互助群
群 号:604180095
Book学术官方微信