In vitro screening of angiotensin converting enzyme and hydroxymethylglutaryl-coenzyme A reductase inhibitory activities in lactic acid bacteria and yeasts isolated from fermented sorghum gruels.

Biotechnologia Pub Date : 2025-06-30 eCollection Date: 2025-01-01 DOI:10.5114/bta/205474
Praise Temilade Ozabor, Johnson Olaleye Oladele, Ilesanmi Festus Fadahunsi
{"title":"<i>In vitro</i> screening of angiotensin converting enzyme and hydroxymethylglutaryl-coenzyme A reductase inhibitory activities in lactic acid bacteria and yeasts isolated from fermented sorghum gruels.","authors":"Praise Temilade Ozabor, Johnson Olaleye Oladele, Ilesanmi Festus Fadahunsi","doi":"10.5114/bta/205474","DOIUrl":null,"url":null,"abstract":"<p><strong>Background: </strong>3-hydroxyl-3-methylglutaryl-coenzyme A (HMG-CoA) reductase and angiotensin converting enzyme (ACE) are implicated in the pathogenesis of hyperlipidemia and hypertension, which are oxidative-stress linked conditions of public health importance. The adverse effects associated with standard clinical drugs used to inhibit these enzymes have prompted the search for alternative sources. This study was designed to investigate the <i>in vitro</i> inhibitory activities of lactic acid bacteria (LAB) and yeasts isolated from fermented sorghum gruels.</p><p><strong>Materials and methods: </strong>LAB and yeast isolates were obtained and characterized using standard methods. The HMG-CoA reductase and ACE inhibitory activities of the microbial isolates were evaluated using established protocols.</p><p><strong>Results: </strong>Screening of LAB for HMG-CoA reductase and ACE inhibitory activities revealed that at concentrations (mg/ml) of 6, 12, 24, and 48, <i>Lactobacillus pentosus</i> WSL5 exhibited the highest %HMG-CoA reductase inhibition of 3.21, 6.42, 9.17, and 12.84, with corresponding ACE inhibitory activities of 6.38, 13.17, 18.13, and 23.47, respectively. At concentrations (mg/ml) of 1, 2, 4, and 8, the yeast isolates <i>Trichomonascus ciferri</i> RSY53 demonstrated %HMG-CoA reductase inhibition of 7.71, 11.47, 14.68, and 16.97, with corresponding ACE inhibitory activities of 11.83, 20.91, 34.73, and 48.28, respectively. Furthermore, <i>L. pentosus</i> WSL5 recorded the lowest HMG-CoA reductase half-maximal inhibitory concentration (IC<sub>50</sub>) of 219.72 µg/ml and ACE IC<sub>50</sub> of 116.22 µg/ml, while <i>T. ciferri</i> RSY53 had even lower IC<sub>50</sub> values of 29.55 µg/ml for HMG-CoA reductase and 7.03 µg/ml for ACE inhibition compared to the controls.</p><p><strong>Conclusion: </strong><i>L. pentosus</i> WSL5 and <i>T. ciferri</i> RSY53 can be considered potential starter cultures for the fermentation of functional foods aimed at supporting cardiovascular health.</p>","PeriodicalId":94371,"journal":{"name":"Biotechnologia","volume":"106 2","pages":"183-194"},"PeriodicalIF":0.0000,"publicationDate":"2025-06-30","publicationTypes":"Journal Article","fieldsOfStudy":null,"isOpenAccess":false,"openAccessPdf":"https://www.ncbi.nlm.nih.gov/pmc/articles/PMC12281498/pdf/","citationCount":"0","resultStr":null,"platform":"Semanticscholar","paperid":null,"PeriodicalName":"Biotechnologia","FirstCategoryId":"1085","ListUrlMain":"https://doi.org/10.5114/bta/205474","RegionNum":0,"RegionCategory":null,"ArticlePicture":[],"TitleCN":null,"AbstractTextCN":null,"PMCID":null,"EPubDate":"2025/1/1 0:00:00","PubModel":"eCollection","JCR":"","JCRName":"","Score":null,"Total":0}
引用次数: 0

Abstract

Background: 3-hydroxyl-3-methylglutaryl-coenzyme A (HMG-CoA) reductase and angiotensin converting enzyme (ACE) are implicated in the pathogenesis of hyperlipidemia and hypertension, which are oxidative-stress linked conditions of public health importance. The adverse effects associated with standard clinical drugs used to inhibit these enzymes have prompted the search for alternative sources. This study was designed to investigate the in vitro inhibitory activities of lactic acid bacteria (LAB) and yeasts isolated from fermented sorghum gruels.

Materials and methods: LAB and yeast isolates were obtained and characterized using standard methods. The HMG-CoA reductase and ACE inhibitory activities of the microbial isolates were evaluated using established protocols.

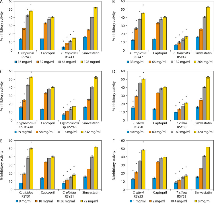
Results: Screening of LAB for HMG-CoA reductase and ACE inhibitory activities revealed that at concentrations (mg/ml) of 6, 12, 24, and 48, Lactobacillus pentosus WSL5 exhibited the highest %HMG-CoA reductase inhibition of 3.21, 6.42, 9.17, and 12.84, with corresponding ACE inhibitory activities of 6.38, 13.17, 18.13, and 23.47, respectively. At concentrations (mg/ml) of 1, 2, 4, and 8, the yeast isolates Trichomonascus ciferri RSY53 demonstrated %HMG-CoA reductase inhibition of 7.71, 11.47, 14.68, and 16.97, with corresponding ACE inhibitory activities of 11.83, 20.91, 34.73, and 48.28, respectively. Furthermore, L. pentosus WSL5 recorded the lowest HMG-CoA reductase half-maximal inhibitory concentration (IC50) of 219.72 µg/ml and ACE IC50 of 116.22 µg/ml, while T. ciferri RSY53 had even lower IC50 values of 29.55 µg/ml for HMG-CoA reductase and 7.03 µg/ml for ACE inhibition compared to the controls.

Conclusion: L. pentosus WSL5 and T. ciferri RSY53 can be considered potential starter cultures for the fermentation of functional foods aimed at supporting cardiovascular health.

Abstract Image

Abstract Image

Abstract Image

血管紧张素转换酶和羟甲基戊二酰辅酶A还原酶抑制活性的体外筛选发酵高粱粥乳酸菌和酵母。
背景:3-羟基-3-甲基戊二酰辅酶A (HMG-CoA)还原酶和血管紧张素转换酶(ACE)与高脂血症和高血压的发病机制有关,这是一种与氧化应激相关的疾病,对公共卫生具有重要意义。用于抑制这些酶的标准临床药物的副作用促使人们寻找替代来源。本试验旨在研究从发酵高粱粥中分离的乳酸菌和酵母菌的体外抑菌活性。材料和方法:分离得到乳酸菌和酵母菌,并用标准方法进行鉴定。采用建立的方案评估微生物分离物的HMG-CoA还原酶和ACE抑制活性。结果:乳酸菌WSL5对HMG-CoA还原酶和ACE抑制活性的LAB筛选结果显示,在浓度为6、12、24和48时,乳酸菌WSL5对HMG-CoA还原酶的抑制率最高,分别为3.21、6.42、9.17和12.84,相应的ACE抑制活性分别为6.38、13.17、18.13和23.47。在浓度分别为1、2、4和8的条件下,菌株RSY53对HMG-CoA还原酶的抑制率分别为7.71、11.47、14.68和16.97,对ACE的抑制活性分别为11.83、20.91、34.73和48.28。此外,L. pentosus WSL5对HMG-CoA还原酶的半最大抑制浓度(IC50)最低,为219.72µg/ml, ACE抑制浓度为116.22µg/ml, T. ciferri RSY53对HMG-CoA还原酶的IC50值更低,为29.55µg/ml, ACE抑制浓度为7.03µg/ml。结论:L. pentosus WSL5和T. ciferri RSY53可作为心血管功能食品发酵的潜在发酵剂。
本文章由计算机程序翻译,如有差异,请以英文原文为准。
求助全文
约1分钟内获得全文 求助全文
来源期刊
自引率
0.00%
发文量
0
×
引用
GB/T 7714-2015
复制
MLA
复制
APA
复制
导出至
BibTeX EndNote RefMan NoteFirst NoteExpress
×
提示
您的信息不完整,为了账户安全,请先补充。
现在去补充
×
提示
您因"违规操作"
具体请查看互助需知
我知道了
×
提示
确定
请完成安全验证×
copy
已复制链接
快去分享给好友吧!
我知道了
右上角分享
点击右上角分享
0
联系我们:info@booksci.cn Book学术提供免费学术资源搜索服务,方便国内外学者检索中英文文献。致力于提供最便捷和优质的服务体验。 Copyright © 2023 布克学术 All rights reserved.
京ICP备2023020795号-1
ghs 京公网安备 11010802042870号
Book学术文献互助
Book学术文献互助群
群 号:604180095
Book学术官方微信