COVID-19 Unmasked: trajectories, risk and protective factors for mental health outcomes in young Australian children during the first year of the COVID-19 pandemic.

IF 1.6 4区 心理学 Q1 PSYCHOLOGY, MULTIDISCIPLINARY
Australian Journal of Psychology Pub Date : 2025-06-29 eCollection Date: 2025-01-01 DOI:10.1080/00049530.2025.2519037
Mira Vasileva, Eva Alisic, Vanessa E Cobham, Tahlia Gash, C M Hoeboer, Elisabeth Hoehn, Sonja March, Caroline Donovan, Christel M Middeldorp, Rebecca Moore, Alexandra De Young
{"title":"COVID-19 Unmasked: trajectories, risk and protective factors for mental health outcomes in young Australian children during the first year of the COVID-19 pandemic.","authors":"Mira Vasileva, Eva Alisic, Vanessa E Cobham, Tahlia Gash, C M Hoeboer, Elisabeth Hoehn, Sonja March, Caroline Donovan, Christel M Middeldorp, Rebecca Moore, Alexandra De Young","doi":"10.1080/00049530.2025.2519037","DOIUrl":null,"url":null,"abstract":"<p><strong>Objective: </strong>Emerging evidence suggests a negative impact of COVID-19 on children's mental health. The aims of this study were to examine trajectories of mental health in children younger than 6 years as well as risk and protective factors during the first year of the pandemic.</p><p><strong>Method: </strong>In a prospective, longitudinal online study, data were collected on <i>N</i> = 837 children aged 1 to 5 years in Australia between May and July 2020 and after 3, 6 and 12 months, with <i>n</i> = 257 participating at all 4 timepoints. Individual trajectories ofanxiety, anger/irritability, depressive symptoms and sleep disturbance were analysed using latent growth mixture modelling.</p><p><strong>Results: </strong>The results showed that 1 in 4 children experienced moderate to severe symptoms in each problem domain. The overall means for depressive symptoms, anger/irritability, and sleep disturbance decreased while anxiety increased over time. For most outcomes, two individual trajectories were identified: moderate/high-decreasing (26-29%) andlow-increasing. Important predictors were negative COVID-19 related impact on daily life, caregiver distress, lower child positive affect and self-regulation.</p><p><strong>Conclusions: </strong>The current results highlight that the pandemic indirectly affected young children's mental health, especially in the presence of risk factors such as caregiver distress and poor child self-regulation skills.</p>","PeriodicalId":8871,"journal":{"name":"Australian Journal of Psychology","volume":"77 1","pages":"2519037"},"PeriodicalIF":1.6000,"publicationDate":"2025-06-29","publicationTypes":"Journal Article","fieldsOfStudy":null,"isOpenAccess":false,"openAccessPdf":"https://www.ncbi.nlm.nih.gov/pmc/articles/PMC12218426/pdf/","citationCount":"0","resultStr":null,"platform":"Semanticscholar","paperid":null,"PeriodicalName":"Australian Journal of Psychology","FirstCategoryId":"102","ListUrlMain":"https://doi.org/10.1080/00049530.2025.2519037","RegionNum":4,"RegionCategory":"心理学","ArticlePicture":[],"TitleCN":null,"AbstractTextCN":null,"PMCID":null,"EPubDate":"2025/1/1 0:00:00","PubModel":"eCollection","JCR":"Q1","JCRName":"PSYCHOLOGY, MULTIDISCIPLINARY","Score":null,"Total":0}
引用次数: 0

Abstract

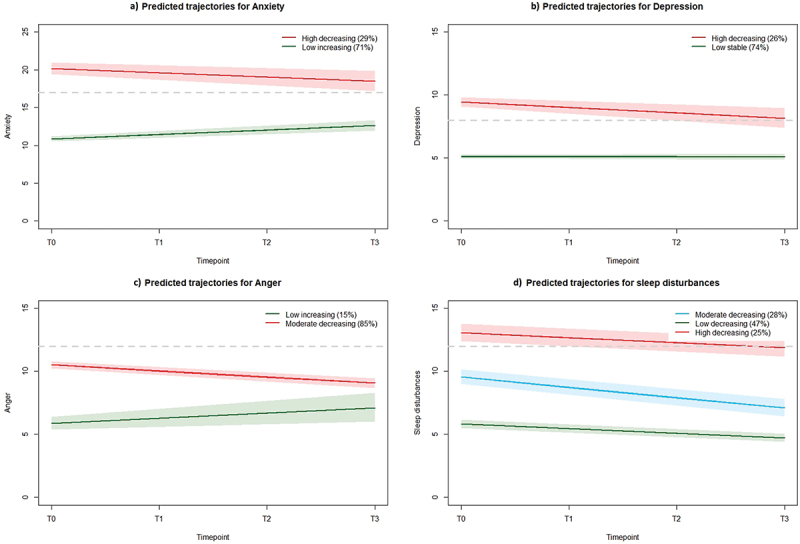
Objective: Emerging evidence suggests a negative impact of COVID-19 on children's mental health. The aims of this study were to examine trajectories of mental health in children younger than 6 years as well as risk and protective factors during the first year of the pandemic.

Method: In a prospective, longitudinal online study, data were collected on N = 837 children aged 1 to 5 years in Australia between May and July 2020 and after 3, 6 and 12 months, with n = 257 participating at all 4 timepoints. Individual trajectories ofanxiety, anger/irritability, depressive symptoms and sleep disturbance were analysed using latent growth mixture modelling.

Results: The results showed that 1 in 4 children experienced moderate to severe symptoms in each problem domain. The overall means for depressive symptoms, anger/irritability, and sleep disturbance decreased while anxiety increased over time. For most outcomes, two individual trajectories were identified: moderate/high-decreasing (26-29%) andlow-increasing. Important predictors were negative COVID-19 related impact on daily life, caregiver distress, lower child positive affect and self-regulation.

Conclusions: The current results highlight that the pandemic indirectly affected young children's mental health, especially in the presence of risk factors such as caregiver distress and poor child self-regulation skills.

Abstract Image

Abstract Image

2019冠状病毒病揭秘:2019冠状病毒病大流行第一年澳大利亚幼儿心理健康结果的轨迹、风险和保护因素
目的:新出现的证据表明,COVID-19对儿童心理健康产生了负面影响。这项研究的目的是检查6岁以下儿童的心理健康轨迹,以及大流行第一年的风险和保护因素。方法:在一项前瞻性纵向在线研究中,在2020年5月至7月期间以及3个月,6个月和12个月后,在澳大利亚收集了N = 837名1至5岁儿童的数据,在所有4个时间点均有N = 257名儿童参与。使用潜在生长混合模型分析了焦虑、愤怒/易怒、抑郁症状和睡眠障碍的个体轨迹。结果:结果显示,每4名儿童中有1名在每个问题领域出现中度至重度症状。随着时间的推移,抑郁症状、愤怒/易怒和睡眠障碍的总体均值下降,而焦虑则增加。对于大多数结果,确定了两种个体轨迹:中度/高减少(26-29%)和低增加。重要的预测因素是对日常生活的负面影响、照顾者的痛苦、儿童积极影响和自我调节的降低。结论:目前的结果强调,大流行间接影响幼儿的心理健康,特别是在存在照顾者痛苦和儿童自我调节能力差等风险因素的情况下。
本文章由计算机程序翻译,如有差异,请以英文原文为准。
求助全文
约1分钟内获得全文 求助全文
来源期刊
Australian Journal of Psychology
Australian Journal of Psychology PSYCHOLOGY, MULTIDISCIPLINARY-
CiteScore
5.50
自引率
0.00%
发文量
19
期刊介绍: Australian Journal of Psychology is the premier scientific journal of the Australian Psychological Society. It covers the entire spectrum of psychological research and receives articles on all topics within the broad scope of the discipline. The journal publishes high quality peer-reviewed articles with reviewers and associate editors providing detailed assistance to authors to reach publication. The journal publishes reports of experimental and survey studies, including reports of qualitative investigations, on pure and applied topics in the field of psychology. Articles on clinical psychology or on the professional concerns of applied psychology should be submitted to our sister journals, Australian Psychologist or Clinical Psychologist. The journal publishes occasional reviews of specific topics, theoretical pieces and commentaries on methodological issues. There are also solicited book reviews and comments Annual special issues devoted to a single topic, and guest edited by a specialist editor, are published. The journal regards itself as international in vision and will accept submissions from psychologists in all countries.
×
引用
GB/T 7714-2015
复制
MLA
复制
APA
复制
导出至
BibTeX EndNote RefMan NoteFirst NoteExpress
×
提示
您的信息不完整,为了账户安全,请先补充。
现在去补充
×
提示
您因"违规操作"
具体请查看互助需知
我知道了
×
提示
确定
请完成安全验证×
copy
已复制链接
快去分享给好友吧!
我知道了
右上角分享
点击右上角分享
0
联系我们:info@booksci.cn Book学术提供免费学术资源搜索服务,方便国内外学者检索中英文文献。致力于提供最便捷和优质的服务体验。 Copyright © 2023 布克学术 All rights reserved.
京ICP备2023020795号-1
ghs 京公网安备 11010802042870号
Book学术文献互助
Book学术文献互助群
群 号:604180095
Book学术官方微信