Composite dietary antioxidant index is nonlinearly associated with low muscle mass in the general US population: findings from NHANES 2001-2018.

IF 3.8 2区 医学 Q1 NUTRITION & DIETETICS
Miaohong Wang, Huan Shi
{"title":"Composite dietary antioxidant index is nonlinearly associated with low muscle mass in the general US population: findings from NHANES 2001-2018.","authors":"Miaohong Wang, Huan Shi","doi":"10.1186/s12937-025-01166-w","DOIUrl":null,"url":null,"abstract":"<p><strong>Background: </strong>Oxidative stress is a risk factor for the development of low muscle mass. The Composite Dietary Antioxidant Index (CDAI) is a recently developed tool for comprehensively assessing dietary antioxidant exposure. We aimed to explore the association of the CDAI with low muscle mass in the general U.S.</p><p><strong>Population: </strong></p><p><strong>Methods: </strong>The participants were individuals aged ≥ 20 years who completed the NHANES from 2001 to 2006 and 2011-2018. The CDAI was assessed by 24-h dietary recall, which integrated the dietary intake levels of vitamin A, vitamin C, vitamin E, zinc, selenium, and carotenoids. Low muscle mass was diagnosed by the Foundation for the National Institutes of Health (FNIH) criteria and defined as an appendicular lean mass/body mass index of < 0.789 in men or < 0.521 in women. Multivariate logistic regression analysis was used to explore the associations of the CDAI and its components with low muscle mass.</p><p><strong>Results: </strong>A total of 15,907 participants were included. The prevalence of low muscle mass was 7.985%. After adjusting for all confounders, the CDAI was found to be significantly associated with the odds of low muscle mass (odds ratio [OR] = 0.928, p < 0.0001). Compared with Q1, the CDAI values at Q2, Q3, and Q4 were significantly associated with a lower prevalence of low muscle mass (p for trend < 0.0001). Higher intake levels of individual CDAI components were associated with a lower prevalence of low muscle mass. Threshold effect analysis revealed that a CDAI ≤ -2.85 was not associated with the odds of low muscle mass (p = 0.1564), while a CDAI > -2.85 was negatively associated with low muscle mass (OR = 0.92, p < 0.0001). Physical activity, smoking, and alcohol consumption significantly moderated this association.</p><p><strong>Conclusions: </strong>Adherence to an antioxidant diet is associated with low muscle mass among the general U.S. adult population, especially among individuals who maintain a favourable lifestyle. These findings should be further validated in cohort studies.</p>","PeriodicalId":19203,"journal":{"name":"Nutrition Journal","volume":"24 1","pages":"92"},"PeriodicalIF":3.8000,"publicationDate":"2025-06-18","publicationTypes":"Journal Article","fieldsOfStudy":null,"isOpenAccess":false,"openAccessPdf":"https://www.ncbi.nlm.nih.gov/pmc/articles/PMC12175392/pdf/","citationCount":"0","resultStr":null,"platform":"Semanticscholar","paperid":null,"PeriodicalName":"Nutrition Journal","FirstCategoryId":"3","ListUrlMain":"https://doi.org/10.1186/s12937-025-01166-w","RegionNum":2,"RegionCategory":"医学","ArticlePicture":[],"TitleCN":null,"AbstractTextCN":null,"PMCID":null,"EPubDate":"","PubModel":"","JCR":"Q1","JCRName":"NUTRITION & DIETETICS","Score":null,"Total":0}
引用次数: 0

Abstract

Background: Oxidative stress is a risk factor for the development of low muscle mass. The Composite Dietary Antioxidant Index (CDAI) is a recently developed tool for comprehensively assessing dietary antioxidant exposure. We aimed to explore the association of the CDAI with low muscle mass in the general U.S.

Population:

Methods: The participants were individuals aged ≥ 20 years who completed the NHANES from 2001 to 2006 and 2011-2018. The CDAI was assessed by 24-h dietary recall, which integrated the dietary intake levels of vitamin A, vitamin C, vitamin E, zinc, selenium, and carotenoids. Low muscle mass was diagnosed by the Foundation for the National Institutes of Health (FNIH) criteria and defined as an appendicular lean mass/body mass index of < 0.789 in men or < 0.521 in women. Multivariate logistic regression analysis was used to explore the associations of the CDAI and its components with low muscle mass.

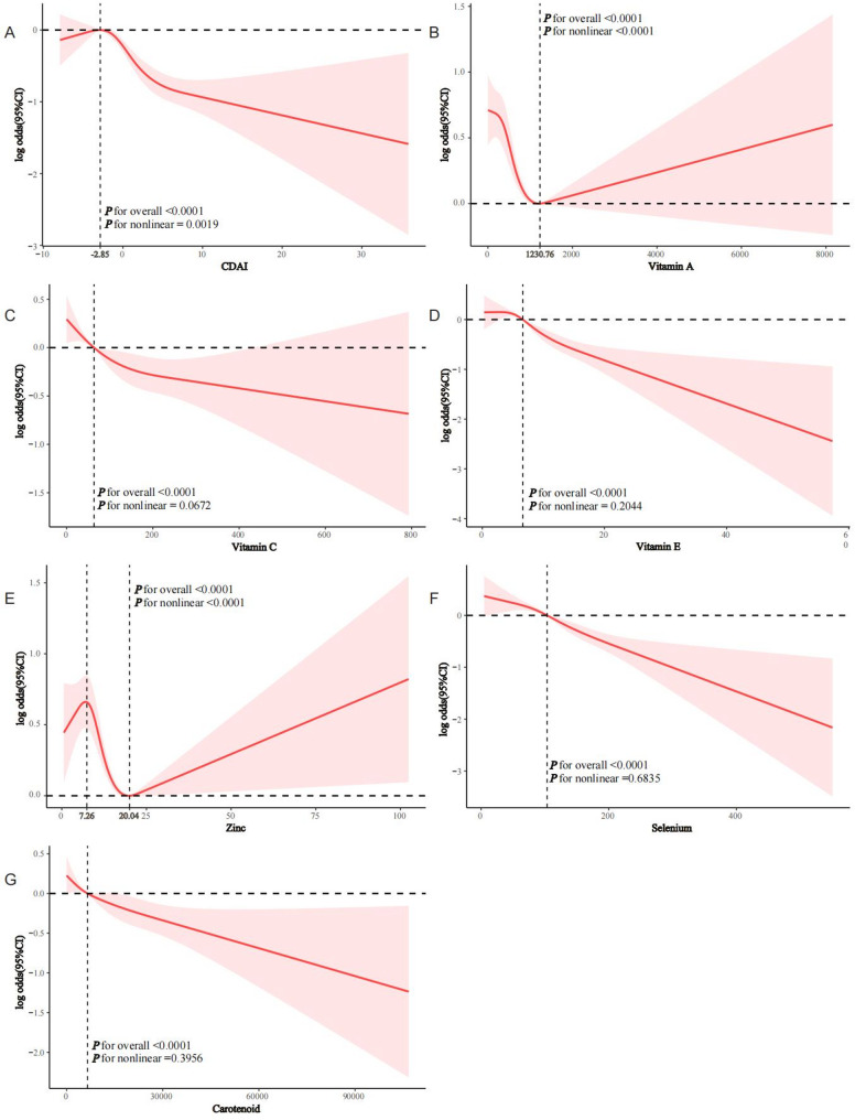
Results: A total of 15,907 participants were included. The prevalence of low muscle mass was 7.985%. After adjusting for all confounders, the CDAI was found to be significantly associated with the odds of low muscle mass (odds ratio [OR] = 0.928, p < 0.0001). Compared with Q1, the CDAI values at Q2, Q3, and Q4 were significantly associated with a lower prevalence of low muscle mass (p for trend < 0.0001). Higher intake levels of individual CDAI components were associated with a lower prevalence of low muscle mass. Threshold effect analysis revealed that a CDAI ≤ -2.85 was not associated with the odds of low muscle mass (p = 0.1564), while a CDAI > -2.85 was negatively associated with low muscle mass (OR = 0.92, p < 0.0001). Physical activity, smoking, and alcohol consumption significantly moderated this association.

Conclusions: Adherence to an antioxidant diet is associated with low muscle mass among the general U.S. adult population, especially among individuals who maintain a favourable lifestyle. These findings should be further validated in cohort studies.

Abstract Image

Abstract Image

Abstract Image

在美国普通人群中,复合膳食抗氧化指数与低肌肉质量呈非线性相关:NHANES 2001-2018的研究结果。
背景:氧化应激是低肌肉质量发展的一个危险因素。复合膳食抗氧化指数(CDAI)是最近发展起来的一种综合评估膳食抗氧化剂暴露的工具。我们的目的是探讨普通美国人群中CDAI与低肌肉质量的关系:方法:参与者是2001 - 2006年和2011-2018年完成NHANES的年龄≥20岁的个体。CDAI通过24小时膳食召回来评估,其中整合了维生素A、维生素C、维生素E、锌、硒和类胡萝卜素的膳食摄入水平。根据美国国立卫生研究院基金会(FNIH)的标准诊断为肌肉质量低,并将其定义为附件瘦质量/体重指数。结果:共纳入15,907名参与者。肌肉质量低的患病率为7.985%。在对所有混杂因素进行调整后,发现CDAI与低肌肉质量的几率显著相关(比值比[OR] = 0.928, p -2.85),与低肌肉质量呈负相关(OR = 0.92, p)。结论:坚持抗氧化饮食与低肌肉质量有关,特别是在保持良好生活方式的个体中。这些发现应该在队列研究中得到进一步验证。
本文章由计算机程序翻译,如有差异,请以英文原文为准。
求助全文
约1分钟内获得全文 求助全文
来源期刊
Nutrition Journal
Nutrition Journal NUTRITION & DIETETICS-
CiteScore
9.80
自引率
0.00%
发文量
68
审稿时长
4-8 weeks
期刊介绍: Nutrition Journal publishes surveillance, epidemiologic, and intervention research that sheds light on i) influences (e.g., familial, environmental) on eating patterns; ii) associations between eating patterns and health, and iii) strategies to improve eating patterns among populations. The journal also welcomes manuscripts reporting on the psychometric properties (e.g., validity, reliability) and feasibility of methods (e.g., for assessing dietary intake) for human nutrition research. In addition, study protocols for controlled trials and cohort studies, with an emphasis on methods for assessing dietary exposures and outcomes as well as intervention components, will be considered. Manuscripts that consider eating patterns holistically, as opposed to solely reductionist approaches that focus on specific dietary components in isolation, are encouraged. Also encouraged are papers that take a holistic or systems perspective in attempting to understand possible compensatory and differential effects of nutrition interventions. The journal does not consider animal studies. In addition to the influence of eating patterns for human health, we also invite research providing insights into the environmental sustainability of dietary practices. Again, a holistic perspective is encouraged, for example, through the consideration of how eating patterns might maximize both human and planetary health.
×
引用
GB/T 7714-2015
复制
MLA
复制
APA
复制
导出至
BibTeX EndNote RefMan NoteFirst NoteExpress
×
提示
您的信息不完整,为了账户安全,请先补充。
现在去补充
×
提示
您因"违规操作"
具体请查看互助需知
我知道了
×
提示
确定
请完成安全验证×
copy
已复制链接
快去分享给好友吧!
我知道了
右上角分享
点击右上角分享
0
联系我们:info@booksci.cn Book学术提供免费学术资源搜索服务,方便国内外学者检索中英文文献。致力于提供最便捷和优质的服务体验。 Copyright © 2023 布克学术 All rights reserved.
京ICP备2023020795号-1
ghs 京公网安备 11010802042870号
Book学术文献互助
Book学术文献互助群
群 号:604180095
Book学术官方微信