Respiratory distress in late-preterm neonates: from controversy to consensus - a survey of regional advisory boards and neonatologists in France.

IF 2.3 4区 医学 Q2 PEDIATRICS
Jean Michel Hascoet, Delphine Mitanchez, Elie Saliba, Yoni Athea
{"title":"Respiratory distress in late-preterm neonates: from controversy to consensus - a survey of regional advisory boards and neonatologists in France.","authors":"Jean Michel Hascoet, Delphine Mitanchez, Elie Saliba, Yoni Athea","doi":"10.1136/bmjpo-2025-003557","DOIUrl":null,"url":null,"abstract":"<p><strong>Objective: </strong>Late-preterm neonates present with more complications at birth than full-term neonates. The care of these infants is sometimes controversial. Our study aims at examining the practices of French neonatologists and compares them to the literature.</p><p><strong>Design: </strong>Regional advisory boards discussed a clinical case with four categories of questions: the risk of term-related respiratory distress (RD), the indication for antenatal corticosteroid therapy, neonatal care at delivery and the use of surfactant. An anonymous survey covering the same question categories was also sent to French neonatology departments.</p><p><strong>Results: </strong>For the risk of RD, the boards' responses were somewhat unclear. Conversely, the survey highlighted the association between high risk of RD and low term of birth, which is in agreement with the literature. The boards noted that, in the absence of official recommendations, they would not advise using antenatal corticosteroids. However, the survey recommended their use in cases of threatened prematurity (32%). For neonatal care at delivery, the boards and survey recommended the standard use of continuous positive airway pressure (CPAP) as advised in the literature. Lastly, the boards and survey agreed that surfactant therapy is part of usual care. Published recommendations do not support its systematic use except when RD is present.</p><p><strong>Conclusion: </strong>This study confirms that late-preterm infants have an often-underestimated vulnerability. Morbidity is inversely correlated with gestational age, and caution is required over the place of birth. Antenatal steroid treatment remains controversial. There is consensus over the use of CPAP at delivery and of surfactant as early curative therapy.</p>","PeriodicalId":9069,"journal":{"name":"BMJ Paediatrics Open","volume":"9 1","pages":""},"PeriodicalIF":2.3000,"publicationDate":"2025-06-12","publicationTypes":"Journal Article","fieldsOfStudy":null,"isOpenAccess":false,"openAccessPdf":"https://www.ncbi.nlm.nih.gov/pmc/articles/PMC12161312/pdf/","citationCount":"0","resultStr":null,"platform":"Semanticscholar","paperid":null,"PeriodicalName":"BMJ Paediatrics Open","FirstCategoryId":"3","ListUrlMain":"https://doi.org/10.1136/bmjpo-2025-003557","RegionNum":4,"RegionCategory":"医学","ArticlePicture":[],"TitleCN":null,"AbstractTextCN":null,"PMCID":null,"EPubDate":"","PubModel":"","JCR":"Q2","JCRName":"PEDIATRICS","Score":null,"Total":0}
引用次数: 0

Abstract

Objective: Late-preterm neonates present with more complications at birth than full-term neonates. The care of these infants is sometimes controversial. Our study aims at examining the practices of French neonatologists and compares them to the literature.

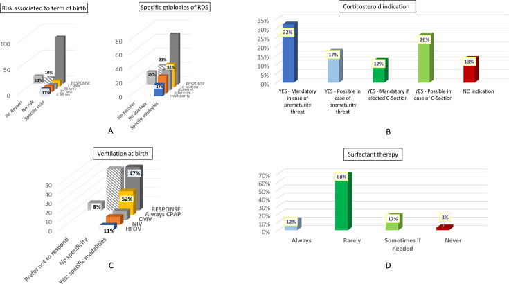
Design: Regional advisory boards discussed a clinical case with four categories of questions: the risk of term-related respiratory distress (RD), the indication for antenatal corticosteroid therapy, neonatal care at delivery and the use of surfactant. An anonymous survey covering the same question categories was also sent to French neonatology departments.

Results: For the risk of RD, the boards' responses were somewhat unclear. Conversely, the survey highlighted the association between high risk of RD and low term of birth, which is in agreement with the literature. The boards noted that, in the absence of official recommendations, they would not advise using antenatal corticosteroids. However, the survey recommended their use in cases of threatened prematurity (32%). For neonatal care at delivery, the boards and survey recommended the standard use of continuous positive airway pressure (CPAP) as advised in the literature. Lastly, the boards and survey agreed that surfactant therapy is part of usual care. Published recommendations do not support its systematic use except when RD is present.

Conclusion: This study confirms that late-preterm infants have an often-underestimated vulnerability. Morbidity is inversely correlated with gestational age, and caution is required over the place of birth. Antenatal steroid treatment remains controversial. There is consensus over the use of CPAP at delivery and of surfactant as early curative therapy.

Abstract Image

Abstract Image

晚期早产新生儿的呼吸窘迫:从争议到共识——法国地区咨询委员会和新生儿学家的一项调查。
目的:晚期早产儿比足月新生儿在出生时出现更多的并发症。对这些婴儿的照顾有时是有争议的。我们的研究旨在检查法国新生儿学家的做法,并将其与文献进行比较。设计:区域咨询委员会讨论了一个临床病例,涉及四类问题:足月相关呼吸窘迫(RD)的风险、产前皮质类固醇治疗的适应症、分娩时的新生儿护理和表面活性剂的使用。一份涵盖相同问题类别的匿名调查也被送到了法国新生儿科。结果:对于RD风险,董事会的反应有些不明确。相反,调查强调了RD的高风险与低足月之间的联系,这与文献一致。委员会指出,在没有官方建议的情况下,他们不建议使用产前皮质类固醇。然而,调查建议在威胁早产的情况下使用它们(32%)。对于分娩时的新生儿护理,委员会和调查建议按照文献中建议的标准使用持续气道正压通气(CPAP)。最后,委员会和调查一致认为表面活性剂治疗是日常护理的一部分。已发表的建议不支持系统地使用它,除非RD存在。结论:本研究证实,晚早产儿具有经常被低估的脆弱性。发病率与胎龄呈负相关,出生地点需谨慎。产前类固醇治疗仍有争议。在分娩时使用CPAP和表面活性剂作为早期治疗治疗有共识。
本文章由计算机程序翻译,如有差异,请以英文原文为准。
求助全文
约1分钟内获得全文 求助全文
来源期刊
BMJ Paediatrics Open
BMJ Paediatrics Open Medicine-Pediatrics, Perinatology and Child Health
CiteScore
4.10
自引率
3.80%
发文量
124
×
引用
GB/T 7714-2015
复制
MLA
复制
APA
复制
导出至
BibTeX EndNote RefMan NoteFirst NoteExpress
×
提示
您的信息不完整,为了账户安全,请先补充。
现在去补充
×
提示
您因"违规操作"
具体请查看互助需知
我知道了
×
提示
确定
请完成安全验证×
copy
已复制链接
快去分享给好友吧!
我知道了
右上角分享
点击右上角分享
0
联系我们:info@booksci.cn Book学术提供免费学术资源搜索服务,方便国内外学者检索中英文文献。致力于提供最便捷和优质的服务体验。 Copyright © 2023 布克学术 All rights reserved.
京ICP备2023020795号-1
ghs 京公网安备 11010802042870号
Book学术文献互助
Book学术文献互助群
群 号:604180095
Book学术官方微信