Identification of distinct disease activity trajectories in patients with psoriatic arthritis receiving tofacitinib: a post hoc analysis of two phase 3 studies.

IF 4.7 2区 医学 Q1 RHEUMATOLOGY
Dafna Gladman, William Tillett, David Gruben, Laura C Coates, Stefanie Hahne, Mikhail Volkov
{"title":"Identification of distinct disease activity trajectories in patients with psoriatic arthritis receiving tofacitinib: a post hoc analysis of two phase 3 studies.","authors":"Dafna Gladman, William Tillett, David Gruben, Laura C Coates, Stefanie Hahne, Mikhail Volkov","doi":"10.1136/rmdopen-2024-005250","DOIUrl":null,"url":null,"abstract":"<p><strong>Objective: </strong>To capture variations in tofacitinib treatment response in psoriatic arthritis (PsA) by identifying patient groups with distinct disease activity trajectories.</p><p><strong>Methods: </strong>Data were pooled post hoc from two phase 3 studies (OPAL Broaden, OPAL Beyond) in patients with PsA receiving tofacitinib 5 or 10 mg twice daily (n=225, n=226, respectively). Psoriatic Arthritis Disease Activity Score (PASDAS) to month 6 was used in group-based trajectory modelling to identify distinct treatment response groups based on disease state (very low/low/moderate/high disease activity (VLDA/LDA/MoDA/HDA, respectively)). Baseline characteristics, PASDAS components to month 6 and adverse events (AEs) were assessed.</p><p><strong>Results: </strong>Five trajectory groups were identified for both tofacitinib doses: groups improved from MoDA→VLDA/LDA (group 1); HDA→VLDA (group 2); HDA→MoDA rapidly (group 3) or gradually (group 4) or remained in HDA (group 5). Groups 4/5 generally had significantly higher baseline PsA clinical domain scores than groups 1‒3, except for Psoriasis Area and Severity Index/Nail Psoriasis Severity Index. Baseline Leeds Enthesitis Index/Spondyloarthritis Research Consortium of Canada enthesitis scores and tender joint counts were significantly higher in group 4 vs group 2. PASDAS components generally improved to month 6 in all groups, consistent with modelled trajectories. There were no clear trends in AEs across groups.</p><p><strong>Conclusions: </strong>In patients with PsA receiving tofacitinib, five distinct trajectory groups were identified with different baseline characteristics and treatment outcomes, but no clear trends in AEs. The tofacitinib 5 and 10 mg twice daily models showed comparable trajectories and baseline characteristics. In patients with HDA, enthesitis and tender joint count may impact timing and/or magnitude of response to tofacitinib. Identifying characteristics that impact treatment response may aid personalised treatment algorithm development.</p><p><strong>Trial registration numbers: </strong>NCT01877668/NCT01882439.</p>","PeriodicalId":21396,"journal":{"name":"RMD Open","volume":"11 2","pages":""},"PeriodicalIF":4.7000,"publicationDate":"2025-06-03","publicationTypes":"Journal Article","fieldsOfStudy":null,"isOpenAccess":false,"openAccessPdf":"https://www.ncbi.nlm.nih.gov/pmc/articles/PMC12142151/pdf/","citationCount":"0","resultStr":null,"platform":"Semanticscholar","paperid":null,"PeriodicalName":"RMD Open","FirstCategoryId":"3","ListUrlMain":"https://doi.org/10.1136/rmdopen-2024-005250","RegionNum":2,"RegionCategory":"医学","ArticlePicture":[],"TitleCN":null,"AbstractTextCN":null,"PMCID":null,"EPubDate":"","PubModel":"","JCR":"Q1","JCRName":"RHEUMATOLOGY","Score":null,"Total":0}
引用次数: 0

Abstract

Objective: To capture variations in tofacitinib treatment response in psoriatic arthritis (PsA) by identifying patient groups with distinct disease activity trajectories.

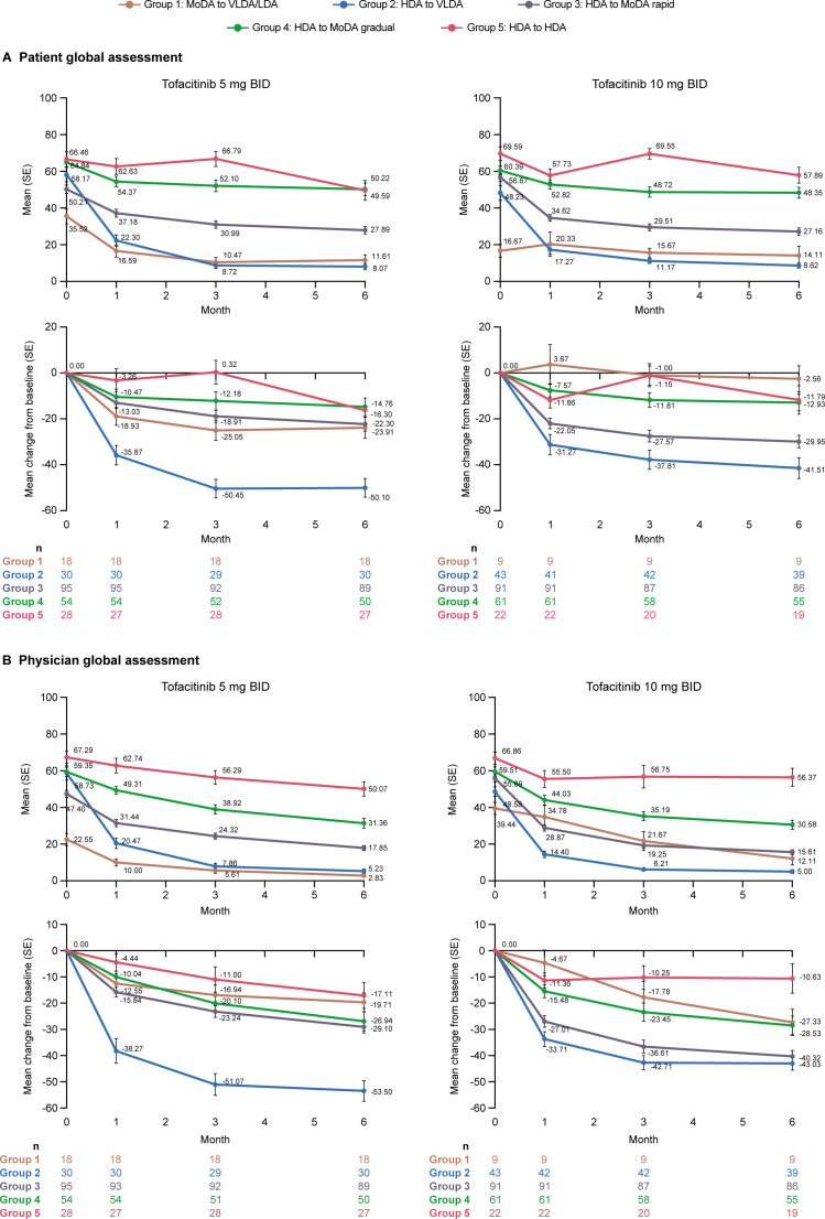
Methods: Data were pooled post hoc from two phase 3 studies (OPAL Broaden, OPAL Beyond) in patients with PsA receiving tofacitinib 5 or 10 mg twice daily (n=225, n=226, respectively). Psoriatic Arthritis Disease Activity Score (PASDAS) to month 6 was used in group-based trajectory modelling to identify distinct treatment response groups based on disease state (very low/low/moderate/high disease activity (VLDA/LDA/MoDA/HDA, respectively)). Baseline characteristics, PASDAS components to month 6 and adverse events (AEs) were assessed.

Results: Five trajectory groups were identified for both tofacitinib doses: groups improved from MoDA→VLDA/LDA (group 1); HDA→VLDA (group 2); HDA→MoDA rapidly (group 3) or gradually (group 4) or remained in HDA (group 5). Groups 4/5 generally had significantly higher baseline PsA clinical domain scores than groups 1‒3, except for Psoriasis Area and Severity Index/Nail Psoriasis Severity Index. Baseline Leeds Enthesitis Index/Spondyloarthritis Research Consortium of Canada enthesitis scores and tender joint counts were significantly higher in group 4 vs group 2. PASDAS components generally improved to month 6 in all groups, consistent with modelled trajectories. There were no clear trends in AEs across groups.

Conclusions: In patients with PsA receiving tofacitinib, five distinct trajectory groups were identified with different baseline characteristics and treatment outcomes, but no clear trends in AEs. The tofacitinib 5 and 10 mg twice daily models showed comparable trajectories and baseline characteristics. In patients with HDA, enthesitis and tender joint count may impact timing and/or magnitude of response to tofacitinib. Identifying characteristics that impact treatment response may aid personalised treatment algorithm development.

Trial registration numbers: NCT01877668/NCT01882439.

Abstract Image

Abstract Image

Abstract Image

在接受托法替尼治疗的银屑病关节炎患者中识别不同的疾病活动轨迹:两项3期研究的事后分析
目的:通过识别具有不同疾病活动轨迹的患者群体,捕捉托法替尼治疗银屑病关节炎(PsA)反应的变化。方法:数据汇集了两项3期研究(OPAL拓宽,OPAL超越),PsA患者接受5或10 mg tofacitinib,每日两次(n=225, n=226)。银屑病关节炎疾病活动评分(PASDAS)至第6个月用于基于组的轨迹建模,以根据疾病状态(极低/低/中/高疾病活动(分别为VLDA/LDA/MoDA/HDA))确定不同的治疗反应组。基线特征、PASDAS成分到第6个月和不良事件(ae)进行评估。结果:两种托法替尼剂量均确定了5个轨迹组:从MoDA→VLDA/LDA改善组(1组);HDA→VLDA(2组);HDA→MoDA迅速(3组)或逐渐(4组)或保持HDA(5组)。除银屑病面积和严重程度指数/指甲银屑病严重程度指数外,4/5组的基线PsA临床域评分普遍高于1-3组。基线利兹关节炎指数/加拿大脊柱炎研究协会的关节炎评分和压痛关节计数在第4组明显高于第2组。PASDAS成分在所有组中普遍改善到第6个月,与模型轨迹一致。各组之间的ae没有明显的趋势。结论:在接受托法替尼治疗的PsA患者中,确定了五个不同的轨迹组,它们具有不同的基线特征和治疗结果,但没有明确的ae趋势。托法替尼5和10毫克每日两次模型显示出可比的轨迹和基线特征。在HDA患者中,炎症和压痛关节计数可能影响对托法替尼反应的时间和/或程度。识别影响治疗反应的特征可能有助于个性化治疗算法的开发。试验注册号:NCT01877668/NCT01882439。
本文章由计算机程序翻译,如有差异,请以英文原文为准。
求助全文
约1分钟内获得全文 求助全文
来源期刊
RMD Open
RMD Open RHEUMATOLOGY-
CiteScore
7.30
自引率
6.50%
发文量
205
审稿时长
14 weeks
期刊介绍: RMD Open publishes high quality peer-reviewed original research covering the full spectrum of musculoskeletal disorders, rheumatism and connective tissue diseases, including osteoporosis, spine and rehabilitation. Clinical and epidemiological research, basic and translational medicine, interesting clinical cases, and smaller studies that add to the literature are all considered.
×
引用
GB/T 7714-2015
复制
MLA
复制
APA
复制
导出至
BibTeX EndNote RefMan NoteFirst NoteExpress
×
提示
您的信息不完整,为了账户安全,请先补充。
现在去补充
×
提示
您因"违规操作"
具体请查看互助需知
我知道了
×
提示
确定
请完成安全验证×
copy
已复制链接
快去分享给好友吧!
我知道了
右上角分享
点击右上角分享
0
联系我们:info@booksci.cn Book学术提供免费学术资源搜索服务,方便国内外学者检索中英文文献。致力于提供最便捷和优质的服务体验。 Copyright © 2023 布克学术 All rights reserved.
京ICP备2023020795号-1
ghs 京公网安备 11010802042870号
Book学术文献互助
Book学术文献互助群
群 号:604180095
Book学术官方微信