Migrant and Non-migrant Views on Immigration in Europe.

IF 2.6 2区 社会学 Q2 DEMOGRAPHY
Michaela Šedovič, Lenka Dražanová
{"title":"Migrant and Non-migrant Views on Immigration in Europe.","authors":"Michaela Šedovič, Lenka Dražanová","doi":"10.1007/s10680-025-09736-8","DOIUrl":null,"url":null,"abstract":"<p><p>Attitudes toward immigration are usually investigated from the non-migrant residents' perspective. Much less is known about how perceptions of immigration policy and immigrants vary across immigration background lines, especially in the wider European context, and whether migrants' attitudes toward immigration are affected by the same factors and in the same way as those of the non-migrant population. With still-growing populations of migrants and their descendants in Europe, it is, however, crucial to study interethnic relations not only between migrant and non-migrant populations but also among different immigrant groups. Firstly, we investigate whether immigration attitudes among European migrants are based on intergroup solidarity or, rather, an intergroup threat toward new immigrants and whether minority-specific characteristics have differential effects across the (non-)migrant populations. We uncover that first- and second-generation immigrants' attitudes toward immigration are mostly guided by intergroup solidarity with other immigrants. Our results also show that first-generation immigrants' attitudes become more negative the longer they stay in the host country. Finally, we demonstrate that minority-specific characteristics work differently across our three subsamples and across different destination countries. Our analysis is based on nine rounds of the European Social Survey from 20 European countries and by estimating multilevel regression models of individual factors affecting (non-)migrants' attitudes. The findings contribute to our broader understanding of social cohesion, social inclusion and intergroup conflict.</p>","PeriodicalId":51496,"journal":{"name":"European Journal of Population-Revue Europeenne De Demographie","volume":"41 1","pages":"13"},"PeriodicalIF":2.6000,"publicationDate":"2025-06-02","publicationTypes":"Journal Article","fieldsOfStudy":null,"isOpenAccess":false,"openAccessPdf":"https://www.ncbi.nlm.nih.gov/pmc/articles/PMC12130419/pdf/","citationCount":"0","resultStr":null,"platform":"Semanticscholar","paperid":null,"PeriodicalName":"European Journal of Population-Revue Europeenne De Demographie","FirstCategoryId":"90","ListUrlMain":"https://doi.org/10.1007/s10680-025-09736-8","RegionNum":2,"RegionCategory":"社会学","ArticlePicture":[],"TitleCN":null,"AbstractTextCN":null,"PMCID":null,"EPubDate":"","PubModel":"","JCR":"Q2","JCRName":"DEMOGRAPHY","Score":null,"Total":0}
引用次数: 0

Abstract

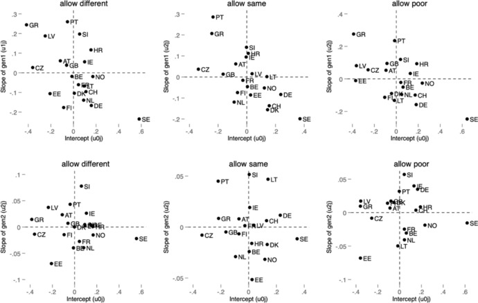
Attitudes toward immigration are usually investigated from the non-migrant residents' perspective. Much less is known about how perceptions of immigration policy and immigrants vary across immigration background lines, especially in the wider European context, and whether migrants' attitudes toward immigration are affected by the same factors and in the same way as those of the non-migrant population. With still-growing populations of migrants and their descendants in Europe, it is, however, crucial to study interethnic relations not only between migrant and non-migrant populations but also among different immigrant groups. Firstly, we investigate whether immigration attitudes among European migrants are based on intergroup solidarity or, rather, an intergroup threat toward new immigrants and whether minority-specific characteristics have differential effects across the (non-)migrant populations. We uncover that first- and second-generation immigrants' attitudes toward immigration are mostly guided by intergroup solidarity with other immigrants. Our results also show that first-generation immigrants' attitudes become more negative the longer they stay in the host country. Finally, we demonstrate that minority-specific characteristics work differently across our three subsamples and across different destination countries. Our analysis is based on nine rounds of the European Social Survey from 20 European countries and by estimating multilevel regression models of individual factors affecting (non-)migrants' attitudes. The findings contribute to our broader understanding of social cohesion, social inclusion and intergroup conflict.

Abstract Image

Abstract Image

Abstract Image

移民与非移民对欧洲移民的看法。
对移民的态度通常是从非移民居民的角度来调查的。人们对移民政策和移民的看法在不同的移民背景下是如何变化的,特别是在更广泛的欧洲背景下,以及移民对移民的态度是否受到与非移民人口相同的因素和方式的影响,我们知之甚少。然而,随着欧洲移民及其后代人口的不断增长,研究移民与非移民人口之间以及不同移民群体之间的种族间关系至关重要。首先,我们调查了欧洲移民的移民态度是基于群体间的团结,还是基于群体间对新移民的威胁,以及少数民族特征是否对(非)移民人口产生了不同的影响。我们发现第一代和第二代移民对移民的态度主要是由与其他移民的群体间团结所引导的。我们的研究结果还表明,第一代移民在东道国待的时间越长,他们的态度就越消极。最后,我们证明了少数民族特有的特征在我们的三个子样本和不同的目的地国家中起着不同的作用。我们的分析基于来自20个欧洲国家的9轮欧洲社会调查,并通过估计影响(非)移民态度的个别因素的多层次回归模型。这些发现有助于我们更广泛地理解社会凝聚力、社会包容和群体间冲突。
本文章由计算机程序翻译,如有差异,请以英文原文为准。
求助全文
约1分钟内获得全文 求助全文
来源期刊
CiteScore
4.20
自引率
8.00%
发文量
44
期刊介绍: European Journal of Population addresses a broad public of researchers, policy makers and others concerned with population processes and their consequences. Its aim is to improve understanding of population phenomena by giving priority to work that contributes to the development of theory and method, and that spans the boundaries between demography and such disciplines as sociology, anthropology, economics, geography, history, political science, epidemiology and other sciences contributing to public health. The Journal is open to authors from all over the world, and its articles cover European and non-European countries (specifically including developing countries) alike.
×
引用
GB/T 7714-2015
复制
MLA
复制
APA
复制
导出至
BibTeX EndNote RefMan NoteFirst NoteExpress
×
提示
您的信息不完整,为了账户安全,请先补充。
现在去补充
×
提示
您因"违规操作"
具体请查看互助需知
我知道了
×
提示
确定
请完成安全验证×
copy
已复制链接
快去分享给好友吧!
我知道了
右上角分享
点击右上角分享
0
联系我们:info@booksci.cn Book学术提供免费学术资源搜索服务,方便国内外学者检索中英文文献。致力于提供最便捷和优质的服务体验。 Copyright © 2023 布克学术 All rights reserved.
京ICP备2023020795号-1
ghs 京公网安备 11010802042870号
Book学术文献互助
Book学术文献互助群
群 号:604180095
Book学术官方微信