Net2Brain: a toolbox to compare artificial vision models with human brain responses.

IF 2.5 4区 医学 Q2 MATHEMATICAL & COMPUTATIONAL BIOLOGY
Frontiers in Neuroinformatics Pub Date : 2025-05-06 eCollection Date: 2025-01-01 DOI:10.3389/fninf.2025.1515873
Domenic Bersch, Martina G Vilas, Sari Saba-Sadiya, Timothy Schaumlöffel, Kshitij Dwivedi, Christina Sartzetaki, Radoslaw M Cichy, Gemma Roig
{"title":"Net2Brain: a toolbox to compare artificial vision models with human brain responses.","authors":"Domenic Bersch, Martina G Vilas, Sari Saba-Sadiya, Timothy Schaumlöffel, Kshitij Dwivedi, Christina Sartzetaki, Radoslaw M Cichy, Gemma Roig","doi":"10.3389/fninf.2025.1515873","DOIUrl":null,"url":null,"abstract":"<p><p>In cognitive neuroscience, the integration of deep neural networks (DNNs) with traditional neuroscientific analyses has significantly advanced our understanding of both biological neural processes and the functioning of DNNs. However, challenges remain in effectively comparing the representational spaces of artificial models and brain data, particularly due to the growing variety of models and the specific demands of neuroimaging research. To address these challenges, we present Net2Brain, a Python-based toolbox that provides an end-to-end pipeline for incorporating DNNs into neuroscience research, encompassing dataset download, a large selection of models, feature extraction, evaluation, and visualization. Net2Brain provides functionalities in four key areas. First, it offers access to over 600 DNNs trained on diverse tasks across multiple modalities, including vision, language, audio, and multimodal data, organized through a carefully structured taxonomy. Second, it provides a streamlined API for downloading and handling popular neuroscience datasets, such as the NSD and THINGS dataset, allowing researchers to easily access corresponding brain data. Third, Net2Brain facilitates a wide range of analysis options, including feature extraction, representational similarity analysis (RSA), and linear encoding, while also supporting advanced techniques like variance partitioning and searchlight analysis. Finally, the toolbox integrates seamlessly with other established open source libraries, enhancing interoperability and promoting collaborative research. By simplifying model selection, data processing, and evaluation, Net2Brain empowers researchers to conduct more robust, flexible, and reproducible investigations of the relationships between artificial and biological neural representations.</p>","PeriodicalId":12462,"journal":{"name":"Frontiers in Neuroinformatics","volume":"19 ","pages":"1515873"},"PeriodicalIF":2.5000,"publicationDate":"2025-05-06","publicationTypes":"Journal Article","fieldsOfStudy":null,"isOpenAccess":false,"openAccessPdf":"https://www.ncbi.nlm.nih.gov/pmc/articles/PMC12089098/pdf/","citationCount":"0","resultStr":null,"platform":"Semanticscholar","paperid":null,"PeriodicalName":"Frontiers in Neuroinformatics","FirstCategoryId":"3","ListUrlMain":"https://doi.org/10.3389/fninf.2025.1515873","RegionNum":4,"RegionCategory":"医学","ArticlePicture":[],"TitleCN":null,"AbstractTextCN":null,"PMCID":null,"EPubDate":"2025/1/1 0:00:00","PubModel":"eCollection","JCR":"Q2","JCRName":"MATHEMATICAL & COMPUTATIONAL BIOLOGY","Score":null,"Total":0}
引用次数: 0

Abstract

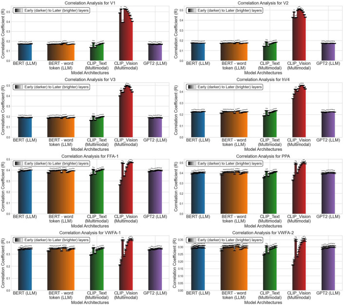
In cognitive neuroscience, the integration of deep neural networks (DNNs) with traditional neuroscientific analyses has significantly advanced our understanding of both biological neural processes and the functioning of DNNs. However, challenges remain in effectively comparing the representational spaces of artificial models and brain data, particularly due to the growing variety of models and the specific demands of neuroimaging research. To address these challenges, we present Net2Brain, a Python-based toolbox that provides an end-to-end pipeline for incorporating DNNs into neuroscience research, encompassing dataset download, a large selection of models, feature extraction, evaluation, and visualization. Net2Brain provides functionalities in four key areas. First, it offers access to over 600 DNNs trained on diverse tasks across multiple modalities, including vision, language, audio, and multimodal data, organized through a carefully structured taxonomy. Second, it provides a streamlined API for downloading and handling popular neuroscience datasets, such as the NSD and THINGS dataset, allowing researchers to easily access corresponding brain data. Third, Net2Brain facilitates a wide range of analysis options, including feature extraction, representational similarity analysis (RSA), and linear encoding, while also supporting advanced techniques like variance partitioning and searchlight analysis. Finally, the toolbox integrates seamlessly with other established open source libraries, enhancing interoperability and promoting collaborative research. By simplifying model selection, data processing, and evaluation, Net2Brain empowers researchers to conduct more robust, flexible, and reproducible investigations of the relationships between artificial and biological neural representations.

Abstract Image

Abstract Image

Abstract Image

Net2Brain:一个将人工视觉模型与人脑反应进行比较的工具箱。
在认知神经科学中,深度神经网络(dnn)与传统神经科学分析的整合极大地促进了我们对生物神经过程和dnn功能的理解。然而,在有效比较人工模型和大脑数据的表征空间方面仍然存在挑战,特别是由于模型的多样性和神经影像学研究的特定需求。为了应对这些挑战,我们提出了Net2Brain,这是一个基于python的工具箱,提供了将深度神经网络纳入神经科学研究的端到端管道,包括数据集下载,大量模型选择,特征提取,评估和可视化。Net2Brain在四个关键领域提供功能。首先,它提供了对600多个dnn的访问,这些dnn经过多种模式的不同任务的训练,包括视觉、语言、音频和多模式数据,并通过精心结构化的分类进行组织。其次,它提供了一个简化的API来下载和处理流行的神经科学数据集,如NSD和THINGS数据集,允许研究人员轻松访问相应的大脑数据。第三,Net2Brain促进了广泛的分析选项,包括特征提取、代表性相似性分析(RSA)和线性编码,同时还支持方差划分和探照灯分析等先进技术。最后,该工具箱与其他已建立的开源库无缝集成,增强了互操作性并促进了协作研究。通过简化模型选择、数据处理和评估,Net2Brain使研究人员能够对人工和生物神经表征之间的关系进行更稳健、更灵活、更可重复的研究。
本文章由计算机程序翻译,如有差异,请以英文原文为准。
求助全文
约1分钟内获得全文 求助全文
来源期刊
Frontiers in Neuroinformatics
Frontiers in Neuroinformatics MATHEMATICAL & COMPUTATIONAL BIOLOGY-NEUROSCIENCES
CiteScore
4.80
自引率
5.70%
发文量
132
审稿时长
14 weeks
期刊介绍: Frontiers in Neuroinformatics publishes rigorously peer-reviewed research on the development and implementation of numerical/computational models and analytical tools used to share, integrate and analyze experimental data and advance theories of the nervous system functions. Specialty Chief Editors Jan G. Bjaalie at the University of Oslo and Sean L. Hill at the École Polytechnique Fédérale de Lausanne are supported by an outstanding Editorial Board of international experts. This multidisciplinary open-access journal is at the forefront of disseminating and communicating scientific knowledge and impactful discoveries to researchers, academics and the public worldwide. Neuroscience is being propelled into the information age as the volume of information explodes, demanding organization and synthesis. Novel synthesis approaches are opening up a new dimension for the exploration of the components of brain elements and systems and the vast number of variables that underlie their functions. Neural data is highly heterogeneous with complex inter-relations across multiple levels, driving the need for innovative organizing and synthesizing approaches from genes to cognition, and covering a range of species and disease states. Frontiers in Neuroinformatics therefore welcomes submissions on existing neuroscience databases, development of data and knowledge bases for all levels of neuroscience, applications and technologies that can facilitate data sharing (interoperability, formats, terminologies, and ontologies), and novel tools for data acquisition, analyses, visualization, and dissemination of nervous system data. Our journal welcomes submissions on new tools (software and hardware) that support brain modeling, and the merging of neuroscience databases with brain models used for simulation and visualization.
×
引用
GB/T 7714-2015
复制
MLA
复制
APA
复制
导出至
BibTeX EndNote RefMan NoteFirst NoteExpress
×
提示
您的信息不完整,为了账户安全,请先补充。
现在去补充
×
提示
您因"违规操作"
具体请查看互助需知
我知道了
×
提示
确定
请完成安全验证×
copy
已复制链接
快去分享给好友吧!
我知道了
右上角分享
点击右上角分享
0
联系我们:info@booksci.cn Book学术提供免费学术资源搜索服务,方便国内外学者检索中英文文献。致力于提供最便捷和优质的服务体验。 Copyright © 2023 布克学术 All rights reserved.
京ICP备2023020795号-1
ghs 京公网安备 11010802042870号
Book学术文献互助
Book学术文献互助群
群 号:604180095
Book学术官方微信