Response to a peer telehealth intervention for emergency department patients presenting with opioid use disorder or unintentional overdose: a stratified interrupted time series analysis.

IF 3 3区 医学 Q2 SUBSTANCE ABUSE
Martha Tillson, Huiping Xu, Alan McGuire, Spencer Medcalf, Francesca L Beaudoin, Dennis P Watson
{"title":"Response to a peer telehealth intervention for emergency department patients presenting with opioid use disorder or unintentional overdose: a stratified interrupted time series analysis.","authors":"Martha Tillson, Huiping Xu, Alan McGuire, Spencer Medcalf, Francesca L Beaudoin, Dennis P Watson","doi":"10.1186/s13011-025-00650-0","DOIUrl":null,"url":null,"abstract":"<p><strong>Background: </strong>People in the United States who use opioids frequently use emergency department (ED) services. Some hospitals have begun placing peer recovery support specialists (PRSS) in EDs to support and advocate for patients and provide linkages to services, in an effort to reduce future presentations for opioid-related and other health problems related to substance use. However, evidence supporting the impact of PRSS services on reducing future ED presentations is limited, and even less is known about ED-based PRSS services delivered via telehealth.</p><p><strong>Methods: </strong>Using records from a large Indiana-based hospital system, we conducted an interrupted time series (ITS) analysis of ED patients presenting for unintentional opioid overdose or other opioid-related issues. Over a five-year period, 2,542 unique ED visits were included across 12 hospitals. The primary outcome assessed was the impact of PRSS telehealth service implementation (comparing pre- and post-periods) on 30-day all-cause ED revisits. Analyses were also stratified by appropriate demographics.</p><p><strong>Results: </strong>There was no significant change in 30-day ED revisits between pre- and post-implementation of the PRSS telehealth program. Results of sex-stratified ITS indicated a significant change for females only, with decreasing log-odds of ED revisits post-program implementation (post-implementation slope OR = 0.911, p = 0.031; slope change OR = 0.874, p = 0.017).</p><p><strong>Conclusions: </strong>Although there was no detectable difference in overall ED revisits following program implementation, outcomes of stratified analyses suggested that the program may have been more impactful for females vs. males. Future research should examine the underlying mechanism of the observed sex differences to target behavioral change more effectively for all participants of telehealth PRSS services in ED settings.</p>","PeriodicalId":22041,"journal":{"name":"Substance Abuse Treatment, Prevention, and Policy","volume":"20 1","pages":"21"},"PeriodicalIF":3.0000,"publicationDate":"2025-05-17","publicationTypes":"Journal Article","fieldsOfStudy":null,"isOpenAccess":false,"openAccessPdf":"https://www.ncbi.nlm.nih.gov/pmc/articles/PMC12085845/pdf/","citationCount":"0","resultStr":null,"platform":"Semanticscholar","paperid":null,"PeriodicalName":"Substance Abuse Treatment, Prevention, and Policy","FirstCategoryId":"3","ListUrlMain":"https://doi.org/10.1186/s13011-025-00650-0","RegionNum":3,"RegionCategory":"医学","ArticlePicture":[],"TitleCN":null,"AbstractTextCN":null,"PMCID":null,"EPubDate":"","PubModel":"","JCR":"Q2","JCRName":"SUBSTANCE ABUSE","Score":null,"Total":0}
引用次数: 0

Abstract

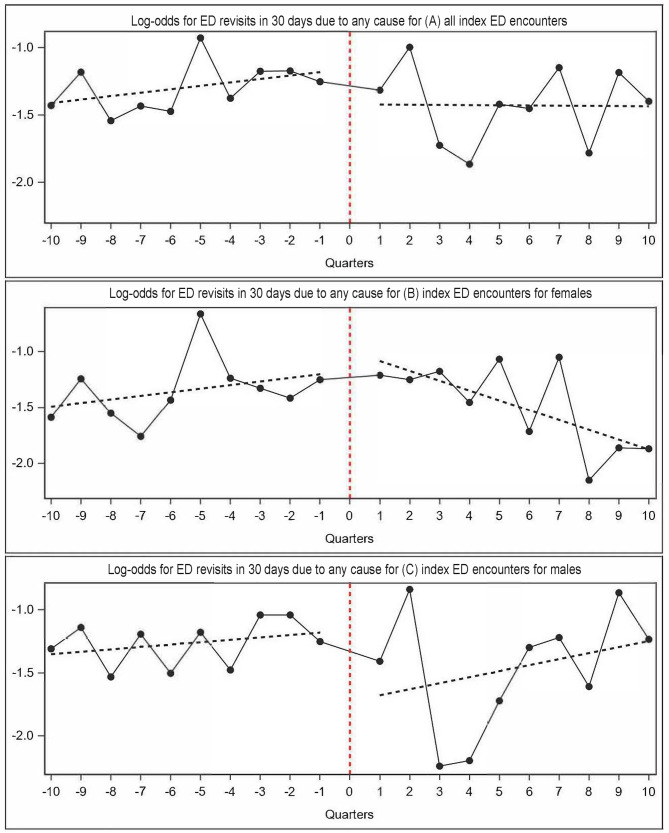
Background: People in the United States who use opioids frequently use emergency department (ED) services. Some hospitals have begun placing peer recovery support specialists (PRSS) in EDs to support and advocate for patients and provide linkages to services, in an effort to reduce future presentations for opioid-related and other health problems related to substance use. However, evidence supporting the impact of PRSS services on reducing future ED presentations is limited, and even less is known about ED-based PRSS services delivered via telehealth.

Methods: Using records from a large Indiana-based hospital system, we conducted an interrupted time series (ITS) analysis of ED patients presenting for unintentional opioid overdose or other opioid-related issues. Over a five-year period, 2,542 unique ED visits were included across 12 hospitals. The primary outcome assessed was the impact of PRSS telehealth service implementation (comparing pre- and post-periods) on 30-day all-cause ED revisits. Analyses were also stratified by appropriate demographics.

Results: There was no significant change in 30-day ED revisits between pre- and post-implementation of the PRSS telehealth program. Results of sex-stratified ITS indicated a significant change for females only, with decreasing log-odds of ED revisits post-program implementation (post-implementation slope OR = 0.911, p = 0.031; slope change OR = 0.874, p = 0.017).

Conclusions: Although there was no detectable difference in overall ED revisits following program implementation, outcomes of stratified analyses suggested that the program may have been more impactful for females vs. males. Future research should examine the underlying mechanism of the observed sex differences to target behavioral change more effectively for all participants of telehealth PRSS services in ED settings.

Abstract Image

Abstract Image

对急诊科出现阿片类药物使用障碍或无意过量患者的同伴远程医疗干预的反应:分层中断时间序列分析。
背景:在美国使用阿片类药物的人经常使用急诊科(ED)服务。一些医院已开始在急诊科安置同伴康复支持专家(PRSS),以支持和倡导患者,并提供与服务的联系,以减少今后出现与阿片类药物有关的问题和与药物使用有关的其他健康问题。然而,支持PRSS服务对减少未来ED表现的影响的证据有限,通过远程医疗提供基于ED的PRSS服务的了解甚至更少。方法:使用来自印第安纳州一家大型医院系统的记录,我们对因意外阿片类药物过量或其他阿片类药物相关问题而出现的ED患者进行了中断时间序列(ITS)分析。在5年的时间里,12家医院的2,542次急诊就诊。评估的主要结果是PRSS远程医疗服务实施(比较前后期间)对30天全因急诊科复诊的影响。分析还按适当的人口统计学进行分层。结果:在实施PRSS远程医疗计划前后,30天ED回访次数无显著变化。性别分层ITS的结果显示,只有女性发生了显著变化,ED在项目实施后再次就诊的对数赔率降低(实施后斜率OR = 0.911, p = 0.031;斜率变化OR = 0.874, p = 0.017)。结论:尽管在项目实施后,ED的总体回访率没有可检测到的差异,但分层分析的结果表明,该项目可能对女性比男性更有影响。未来的研究应该检查观察到的性别差异的潜在机制,以更有效地针对ED环境中远程医疗PRSS服务的所有参与者的行为改变。
本文章由计算机程序翻译,如有差异,请以英文原文为准。
求助全文
约1分钟内获得全文 求助全文
来源期刊
CiteScore
5.20
自引率
0.00%
发文量
73
审稿时长
19 weeks
期刊介绍: Substance Abuse Treatment, Prevention, and Policy is an open access, peer-reviewed journal that encompasses research concerning substance abuse, with a focus on policy issues. The journal aims to provide an environment for the exchange of ideas, new research, consensus papers, and critical reviews, to bridge the established fields that share a mutual goal of reducing the harms from substance use. These fields include: legislation pertaining to substance use; correctional supervision of people with substance use disorder; medical treatment and screening; mental health services; research; and evaluation of substance use disorder programs.
×
引用
GB/T 7714-2015
复制
MLA
复制
APA
复制
导出至
BibTeX EndNote RefMan NoteFirst NoteExpress
×
提示
您的信息不完整,为了账户安全,请先补充。
现在去补充
×
提示
您因"违规操作"
具体请查看互助需知
我知道了
×
提示
确定
请完成安全验证×
copy
已复制链接
快去分享给好友吧!
我知道了
右上角分享
点击右上角分享
0
联系我们:info@booksci.cn Book学术提供免费学术资源搜索服务,方便国内外学者检索中英文文献。致力于提供最便捷和优质的服务体验。 Copyright © 2023 布克学术 All rights reserved.
京ICP备2023020795号-1
ghs 京公网安备 11010802042870号
Book学术文献互助
Book学术文献互助群
群 号:604180095
Book学术官方微信