Reversal learning is influenced by cognitive flexibility and develops throughout early adolescence.

IF 3 1区 心理学 Q1 EDUCATION & EDUCATIONAL RESEARCH
Christoph Bamberg, Sarah Weigelt, Klara Hagelweide
{"title":"Reversal learning is influenced by cognitive flexibility and develops throughout early adolescence.","authors":"Christoph Bamberg, Sarah Weigelt, Klara Hagelweide","doi":"10.1038/s41539-025-00308-3","DOIUrl":null,"url":null,"abstract":"<p><p>Learning behavioural responses and adapting them based on feedback is crucial from a young age, continuing to develop into young adulthood. This study examines the development trajectory and contributing factors from childhood to adulthood using a reversal learning paradigm. We tested 202 participants aged 10 to 22 in an online study, where they learned and reversed stimulus-outcome associations in a new blocked design paradigm and were assessed for working memory capacity. Results showed that reversal learning performance improved with age, particularly for 10- to 14-year-olds. Flexible responses to negative feedback correlated with better reversal learning. Additionally, pubertal development and working memory were positively associated with reversal learning. These findings align with previous research, highlighting flexible feedback responses as a key factor in reversal learning. As the overall rate of flexible reactions did not change with age, it could support reversal learning independent of age, potentially changing its role during development.</p>","PeriodicalId":48503,"journal":{"name":"npj Science of Learning","volume":"10 1","pages":"27"},"PeriodicalIF":3.0000,"publicationDate":"2025-05-12","publicationTypes":"Journal Article","fieldsOfStudy":null,"isOpenAccess":false,"openAccessPdf":"https://www.ncbi.nlm.nih.gov/pmc/articles/PMC12069702/pdf/","citationCount":"0","resultStr":null,"platform":"Semanticscholar","paperid":null,"PeriodicalName":"npj Science of Learning","FirstCategoryId":"102","ListUrlMain":"https://doi.org/10.1038/s41539-025-00308-3","RegionNum":1,"RegionCategory":"心理学","ArticlePicture":[],"TitleCN":null,"AbstractTextCN":null,"PMCID":null,"EPubDate":"","PubModel":"","JCR":"Q1","JCRName":"EDUCATION & EDUCATIONAL RESEARCH","Score":null,"Total":0}
引用次数: 0

Abstract

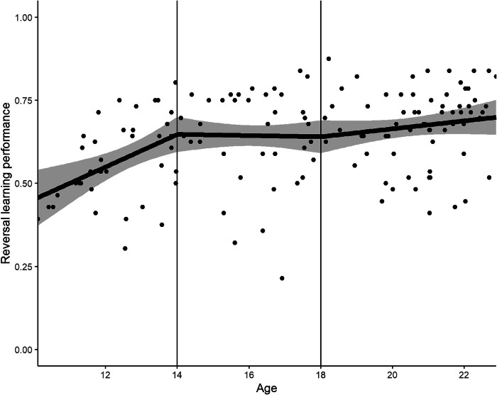
Learning behavioural responses and adapting them based on feedback is crucial from a young age, continuing to develop into young adulthood. This study examines the development trajectory and contributing factors from childhood to adulthood using a reversal learning paradigm. We tested 202 participants aged 10 to 22 in an online study, where they learned and reversed stimulus-outcome associations in a new blocked design paradigm and were assessed for working memory capacity. Results showed that reversal learning performance improved with age, particularly for 10- to 14-year-olds. Flexible responses to negative feedback correlated with better reversal learning. Additionally, pubertal development and working memory were positively associated with reversal learning. These findings align with previous research, highlighting flexible feedback responses as a key factor in reversal learning. As the overall rate of flexible reactions did not change with age, it could support reversal learning independent of age, potentially changing its role during development.

Abstract Image

Abstract Image

Abstract Image

逆向学习受认知灵活性的影响,并在青春期早期得到发展。
学习行为反应并根据反馈对其进行调整从幼年开始就至关重要,并持续发展到青年期。本研究以逆向学习为研究范式,探讨儿童至成年的发展轨迹及其影响因素。我们在一项在线研究中测试了202名年龄在10至22岁之间的参与者,他们在一个新的阻塞设计范式中学习和逆转刺激-结果关联,并评估了工作记忆容量。结果显示,逆向学习的表现随着年龄的增长而提高,尤其是10到14岁的孩子。对负反馈的灵活反应与更好的反转学习相关。此外,青春期发育和工作记忆与逆向学习呈正相关。这些发现与之前的研究一致,强调灵活的反馈反应是逆向学习的关键因素。由于灵活反应的总体速率不随年龄变化,因此它可以支持独立于年龄的反向学习,从而可能改变其在发育过程中的作用。
本文章由计算机程序翻译,如有差异,请以英文原文为准。
求助全文
约1分钟内获得全文 求助全文
来源期刊
CiteScore
5.40
自引率
7.10%
发文量
29
×
引用
GB/T 7714-2015
复制
MLA
复制
APA
复制
导出至
BibTeX EndNote RefMan NoteFirst NoteExpress
×
提示
您的信息不完整,为了账户安全,请先补充。
现在去补充
×
提示
您因"违规操作"
具体请查看互助需知
我知道了
×
提示
确定
请完成安全验证×
copy
已复制链接
快去分享给好友吧!
我知道了
右上角分享
点击右上角分享
0
联系我们:info@booksci.cn Book学术提供免费学术资源搜索服务,方便国内外学者检索中英文文献。致力于提供最便捷和优质的服务体验。 Copyright © 2023 布克学术 All rights reserved.
京ICP备2023020795号-1
ghs 京公网安备 11010802042870号
Book学术文献互助
Book学术文献互助群
群 号:604180095
Book学术官方微信