Causal Relationship Between Gut Microbiota and Gastrointestinal Polyps: A Mendelian Randomization Study.

IF 1.6 4区 医学 Q4 GASTROENTEROLOGY & HEPATOLOGY
Yang Xie, Sheng Chen, Yiling Xiong, Chunyan Zeng, Youxiang Chen
{"title":"Causal Relationship Between Gut Microbiota and Gastrointestinal Polyps: A Mendelian Randomization Study.","authors":"Yang Xie, Sheng Chen, Yiling Xiong, Chunyan Zeng, Youxiang Chen","doi":"10.5152/tjg.2025.24347","DOIUrl":null,"url":null,"abstract":"<p><strong>Background/aims: </strong>Numerous studies have confirmed that intestinal flora is closely linked to the development of gastrointestinal polyps. However, the precise causal link between them has yet to be clarified. This study sought to determine the causal relationship between gut microbiota and gastric, duodenal, colon, and rectal polyps by Mendelian randomization (MR).</p><p><strong>Materials and methods: </strong>We employed publicly available genome-wide association study summary data to conduct MR analysis. Gut microbiota data were sourced from the International MiBioGen Consortium, and gastrointestinal polyp data were obtained from the MRC-IEU Consortium. Instrumental variables were selected based on eligible single-nucleotide polymorphisms. To assess causality, we utilized MR-Egger, weighted median, inverse variance weighting, simple mode, and weighted mode techniques. Heterogeneity and pleiotropy were evaluated through Cochran's Q test, MR-Egger intercept test, and leave-one-out analysis.</p><p><strong>Results: </strong>We determined that Lachnospiraceae UCG004, Erysipelotrichaceae UCG003, and Veillonella increased the risk of colon polyps. However, Dorea and Clostridium innocuum group act as protective factors for colon polyps. Allisonella increases the risk of rectal polyps. In contrast, Christensenellaceae R.7 group, Parasutterella, and Intestinimonas are protective factors for rectal polyps. Lachnospiraceae FCS020 group, Intestinibacter, Ruminococcaceae UCG003, and Parasutterella act as risk factors for stomach and duodenum polyps.</p><p><strong>Conclusions: </strong>Our research establishes a causal link between gut microbiota dysbiosis and the formation of gastrointestinal polyps. Nonetheless, additional studies are necessary to explore the mechanisms through which bacterial taxa influence the development of these polyps.</p>","PeriodicalId":51205,"journal":{"name":"Turkish Journal of Gastroenterology","volume":"36 5","pages":"302-311"},"PeriodicalIF":1.6000,"publicationDate":"2025-01-06","publicationTypes":"Journal Article","fieldsOfStudy":null,"isOpenAccess":false,"openAccessPdf":"https://www.ncbi.nlm.nih.gov/pmc/articles/PMC12070428/pdf/","citationCount":"0","resultStr":null,"platform":"Semanticscholar","paperid":null,"PeriodicalName":"Turkish Journal of Gastroenterology","FirstCategoryId":"3","ListUrlMain":"https://doi.org/10.5152/tjg.2025.24347","RegionNum":4,"RegionCategory":"医学","ArticlePicture":[],"TitleCN":null,"AbstractTextCN":null,"PMCID":null,"EPubDate":"","PubModel":"","JCR":"Q4","JCRName":"GASTROENTEROLOGY & HEPATOLOGY","Score":null,"Total":0}
引用次数: 0

Abstract

Background/aims: Numerous studies have confirmed that intestinal flora is closely linked to the development of gastrointestinal polyps. However, the precise causal link between them has yet to be clarified. This study sought to determine the causal relationship between gut microbiota and gastric, duodenal, colon, and rectal polyps by Mendelian randomization (MR).

Materials and methods: We employed publicly available genome-wide association study summary data to conduct MR analysis. Gut microbiota data were sourced from the International MiBioGen Consortium, and gastrointestinal polyp data were obtained from the MRC-IEU Consortium. Instrumental variables were selected based on eligible single-nucleotide polymorphisms. To assess causality, we utilized MR-Egger, weighted median, inverse variance weighting, simple mode, and weighted mode techniques. Heterogeneity and pleiotropy were evaluated through Cochran's Q test, MR-Egger intercept test, and leave-one-out analysis.

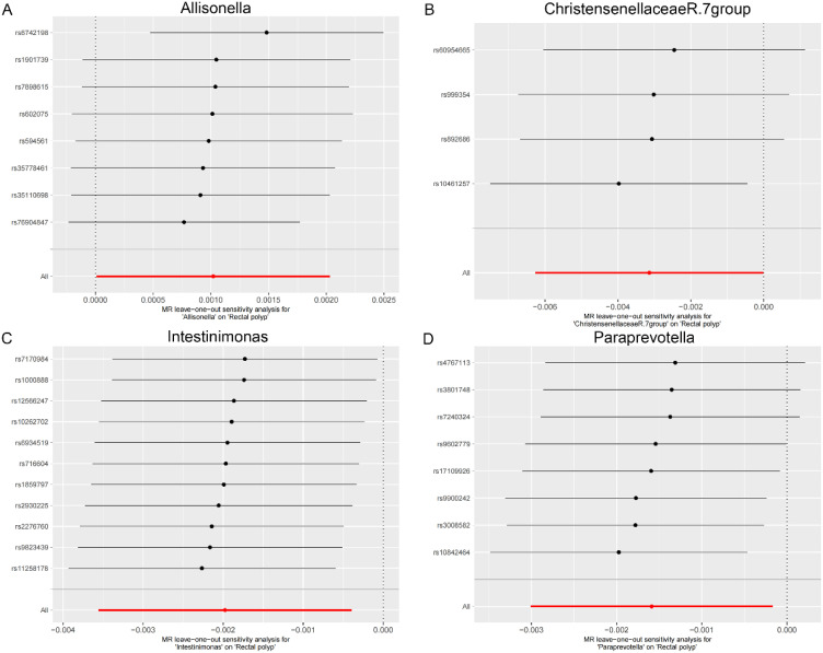
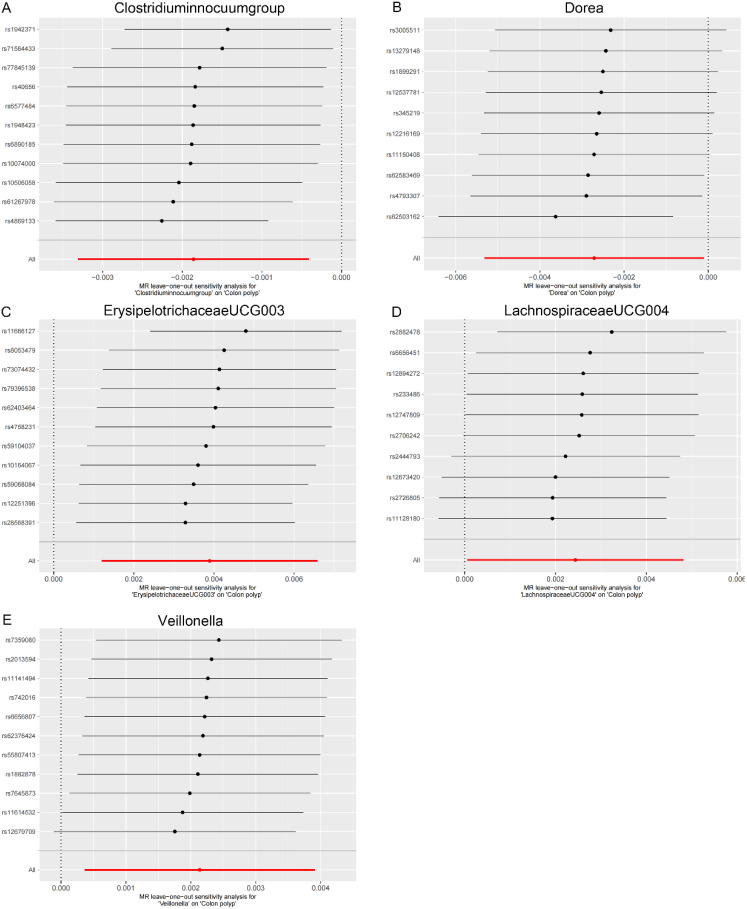
Results: We determined that Lachnospiraceae UCG004, Erysipelotrichaceae UCG003, and Veillonella increased the risk of colon polyps. However, Dorea and Clostridium innocuum group act as protective factors for colon polyps. Allisonella increases the risk of rectal polyps. In contrast, Christensenellaceae R.7 group, Parasutterella, and Intestinimonas are protective factors for rectal polyps. Lachnospiraceae FCS020 group, Intestinibacter, Ruminococcaceae UCG003, and Parasutterella act as risk factors for stomach and duodenum polyps.

Conclusions: Our research establishes a causal link between gut microbiota dysbiosis and the formation of gastrointestinal polyps. Nonetheless, additional studies are necessary to explore the mechanisms through which bacterial taxa influence the development of these polyps.

Abstract Image

Abstract Image

Abstract Image

肠道菌群与胃肠道息肉的因果关系:一项孟德尔随机研究。
背景/目的:大量研究证实肠道菌群与胃肠道息肉的发生发展密切相关。然而,它们之间确切的因果关系还有待澄清。本研究试图通过孟德尔随机化(MR)确定肠道微生物群与胃、十二指肠、结肠和直肠息肉之间的因果关系。材料和方法:我们采用公开的全基因组关联研究汇总数据进行MR分析。肠道菌群数据来自国际MiBioGen联盟,胃肠道息肉数据来自MRC-IEU联盟。根据符合条件的单核苷酸多态性选择工具变量。为了评估因果关系,我们使用了MR-Egger、加权中位数、方差逆加权、简单模式和加权模式技术。异质性和多效性通过Cochran’s Q检验、MR-Egger截距检验和留一分析进行评估。结果:我们确定毛缕菌科UCG004、丹毒科UCG003和细络菌增加结肠息肉的风险。而Dorea和无害梭菌群是结肠息肉的保护因子。大蒜菌会增加直肠息肉的风险。相反,Christensenellaceae R.7组、Parasutterella和肠单胞菌是直肠息肉的保护因子。毛螺科FCS020组、无肠杆菌、瘤胃球菌科UCG003组和副菌属是胃、十二指肠息肉的危险因素。结论:我们的研究建立了肠道菌群失调与胃肠道息肉形成之间的因果关系。尽管如此,还需要进一步的研究来探索细菌类群影响这些息肉发育的机制。
本文章由计算机程序翻译,如有差异,请以英文原文为准。
求助全文
约1分钟内获得全文 求助全文
来源期刊
Turkish Journal of Gastroenterology
Turkish Journal of Gastroenterology 医学-胃肠肝病学
CiteScore
1.90
自引率
0.00%
发文量
127
审稿时长
6 months
期刊介绍: The Turkish Journal of Gastroenterology (Turk J Gastroenterol) is the double-blind peer-reviewed, open access, international publication organ of the Turkish Society of Gastroenterology. The journal is a bimonthly publication, published on January, March, May, July, September, November and its publication language is English. The Turkish Journal of Gastroenterology aims to publish international at the highest clinical and scientific level on original issues of gastroenterology and hepatology. The journal publishes original papers, review articles, case reports and letters to the editor on clinical and experimental gastroenterology and hepatology.
×
引用
GB/T 7714-2015
复制
MLA
复制
APA
复制
导出至
BibTeX EndNote RefMan NoteFirst NoteExpress
×
提示
您的信息不完整,为了账户安全,请先补充。
现在去补充
×
提示
您因"违规操作"
具体请查看互助需知
我知道了
×
提示
确定
请完成安全验证×
copy
已复制链接
快去分享给好友吧!
我知道了
右上角分享
点击右上角分享
0
联系我们:info@booksci.cn Book学术提供免费学术资源搜索服务,方便国内外学者检索中英文文献。致力于提供最便捷和优质的服务体验。 Copyright © 2023 布克学术 All rights reserved.
京ICP备2023020795号-1
ghs 京公网安备 11010802042870号
Book学术文献互助
Book学术文献互助群
群 号:604180095
Book学术官方微信