Association of mitochondrial RNA expression levels in saliva and plasma with interferon signature gene expression and disease activity in patients with Sjögren disease.

IF 4.7 2区 医学 Q1 RHEUMATOLOGY
You-Jung Ha, Yong Seok Choi, Se Rim Choi, Jimin Yoon, Doyeong Ku, Yoosik Kim, Eun Ha Kang, Keun-Suh Kim, Woo-Jin Jeong, Joon Young Hyon, Seunghee Cha, Yun Jong Lee
{"title":"Association of mitochondrial RNA expression levels in saliva and plasma with interferon signature gene expression and disease activity in patients with Sjögren disease.","authors":"You-Jung Ha, Yong Seok Choi, Se Rim Choi, Jimin Yoon, Doyeong Ku, Yoosik Kim, Eun Ha Kang, Keun-Suh Kim, Woo-Jin Jeong, Joon Young Hyon, Seunghee Cha, Yun Jong Lee","doi":"10.1136/rmdopen-2024-005166","DOIUrl":null,"url":null,"abstract":"<p><strong>Objective: </strong>To unveil the clinical implications of mitochondrial RNAs (mt-RNAs) in Sjögren disease (SjD), this study evaluated mt-RNA expression levels in the plasma and saliva of patients with SS and their association with SjD-related features.</p><p><strong>Methods: </strong>Plasma, saliva and/or peripheral blood mononuclear cells (PBMCs) were collected from 111 patients with SjD and 35 healthy controls (HCs), with 40 rheumatoid arthritis (RA) and 40 systemic lupus erythematosus (SLE) disease controls. The expression levels of mt-RNAs and interferon-stimulated genes (ISGs) were quantified by real-time PCR. Composite mt-RNA and ISG scores were calculated using logistic regression models. Their discriminative power was evaluated using receiver operating characteristic curve analyses, and correlations with clinical data were explored.</p><p><strong>Results: </strong>Altered mt-RNA expression in saliva or plasma and ISG expression in PBMCs were detected in patients with SjD, compared with HCs. Saliva and plasma mt-RNA scores showed better discriminative ability (area under the curve values=0.847 and 0.789, respectively) than ISG scores in distinguishing SjD from HCs. Plasma mt-RNA scores were significantly higher in patients with SjD than in those with RA and SLE (p<0.05). Saliva mt-RNA scores were positively associated with objective disease activity measures and Raynaud phenomenon in patients with SjD, whereas plasma mt-RNA scores did not show this association. RA and SLE disease activity correlated with plasma mt-RNA scores.</p><p><strong>Conclusions: </strong>Extracellular mt-RNA burden is elevated in SjD, and mt-RNA scores effectively discriminated patients with SjD from HCs. Saliva mt-RNA levels were associated with SjD disease activity, suggesting their potential utility in disease monitoring and stratification of SjD.</p>","PeriodicalId":21396,"journal":{"name":"RMD Open","volume":"11 2","pages":""},"PeriodicalIF":4.7000,"publicationDate":"2025-05-13","publicationTypes":"Journal Article","fieldsOfStudy":null,"isOpenAccess":false,"openAccessPdf":"https://www.ncbi.nlm.nih.gov/pmc/articles/PMC12083325/pdf/","citationCount":"0","resultStr":null,"platform":"Semanticscholar","paperid":null,"PeriodicalName":"RMD Open","FirstCategoryId":"3","ListUrlMain":"https://doi.org/10.1136/rmdopen-2024-005166","RegionNum":2,"RegionCategory":"医学","ArticlePicture":[],"TitleCN":null,"AbstractTextCN":null,"PMCID":null,"EPubDate":"","PubModel":"","JCR":"Q1","JCRName":"RHEUMATOLOGY","Score":null,"Total":0}
引用次数: 0

Abstract

Objective: To unveil the clinical implications of mitochondrial RNAs (mt-RNAs) in Sjögren disease (SjD), this study evaluated mt-RNA expression levels in the plasma and saliva of patients with SS and their association with SjD-related features.

Methods: Plasma, saliva and/or peripheral blood mononuclear cells (PBMCs) were collected from 111 patients with SjD and 35 healthy controls (HCs), with 40 rheumatoid arthritis (RA) and 40 systemic lupus erythematosus (SLE) disease controls. The expression levels of mt-RNAs and interferon-stimulated genes (ISGs) were quantified by real-time PCR. Composite mt-RNA and ISG scores were calculated using logistic regression models. Their discriminative power was evaluated using receiver operating characteristic curve analyses, and correlations with clinical data were explored.

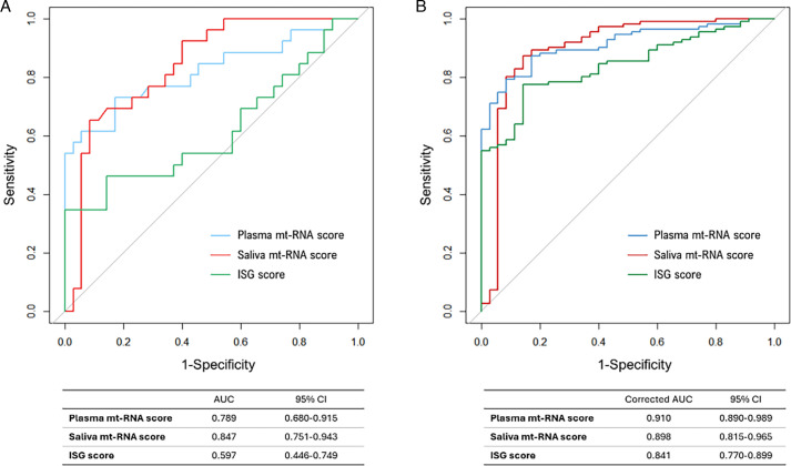
Results: Altered mt-RNA expression in saliva or plasma and ISG expression in PBMCs were detected in patients with SjD, compared with HCs. Saliva and plasma mt-RNA scores showed better discriminative ability (area under the curve values=0.847 and 0.789, respectively) than ISG scores in distinguishing SjD from HCs. Plasma mt-RNA scores were significantly higher in patients with SjD than in those with RA and SLE (p<0.05). Saliva mt-RNA scores were positively associated with objective disease activity measures and Raynaud phenomenon in patients with SjD, whereas plasma mt-RNA scores did not show this association. RA and SLE disease activity correlated with plasma mt-RNA scores.

Conclusions: Extracellular mt-RNA burden is elevated in SjD, and mt-RNA scores effectively discriminated patients with SjD from HCs. Saliva mt-RNA levels were associated with SjD disease activity, suggesting their potential utility in disease monitoring and stratification of SjD.

Abstract Image

Abstract Image

Abstract Image

Sjögren疾病患者唾液和血浆中线粒体RNA表达水平与干扰素标志基因表达和疾病活动性的关系
目的:为了揭示线粒体rna (mt-RNA)在Sjögren疾病(SjD)中的临床意义,本研究评估了SS患者血浆和唾液中mt-RNA的表达水平及其与SjD相关特征的关系。方法:收集111例SjD患者、35例健康对照(hc)、40例类风湿关节炎(RA)和40例系统性红斑狼疮(SLE)疾病对照的血浆、唾液和/或外周血单个核细胞(PBMCs)。实时荧光定量PCR检测mt- rna和干扰素刺激基因(ISGs)的表达水平。采用logistic回归模型计算mt-RNA和ISG综合评分。采用受试者工作特征曲线分析评估其辨别力,并探讨其与临床资料的相关性。结果:与hcc患者相比,SjD患者唾液或血浆中mt-RNA表达和PBMCs中ISG表达发生改变。唾液和血浆mt-RNA评分比ISG评分区分SjD和hc的能力更强(曲线下面积分别为0.847和0.789)。SjD患者血浆mt-RNA评分明显高于RA和SLE患者(结论:SjD患者细胞外mt-RNA负担升高,mt-RNA评分可有效区分SjD患者和hc患者。唾液mt-RNA水平与SjD疾病活动相关,提示其在SjD疾病监测和分层中的潜在效用。
本文章由计算机程序翻译,如有差异,请以英文原文为准。
求助全文
约1分钟内获得全文 求助全文
来源期刊
RMD Open
RMD Open RHEUMATOLOGY-
CiteScore
7.30
自引率
6.50%
发文量
205
审稿时长
14 weeks
期刊介绍: RMD Open publishes high quality peer-reviewed original research covering the full spectrum of musculoskeletal disorders, rheumatism and connective tissue diseases, including osteoporosis, spine and rehabilitation. Clinical and epidemiological research, basic and translational medicine, interesting clinical cases, and smaller studies that add to the literature are all considered.
×
引用
GB/T 7714-2015
复制
MLA
复制
APA
复制
导出至
BibTeX EndNote RefMan NoteFirst NoteExpress
×
提示
您的信息不完整,为了账户安全,请先补充。
现在去补充
×
提示
您因"违规操作"
具体请查看互助需知
我知道了
×
提示
确定
请完成安全验证×
copy
已复制链接
快去分享给好友吧!
我知道了
右上角分享
点击右上角分享
0
联系我们:info@booksci.cn Book学术提供免费学术资源搜索服务,方便国内外学者检索中英文文献。致力于提供最便捷和优质的服务体验。 Copyright © 2023 布克学术 All rights reserved.
京ICP备2023020795号-1
ghs 京公网安备 11010802042870号
Book学术文献互助
Book学术文献互助群
群 号:604180095
Book学术官方微信