Association between dietary inflammatory index and cardiovascular-kidney-metabolic syndrome risk: a cross-sectional study.

IF 3.8 2区 医学 Q1 NUTRITION & DIETETICS
Chuanwei Zhao, Mu Lin, Yane Yang, Haijie Yang, Zhengqian Gao, Zijie Yan, Chunxin Liu, Shumeng Yu, Ying Zhang
{"title":"Association between dietary inflammatory index and cardiovascular-kidney-metabolic syndrome risk: a cross-sectional study.","authors":"Chuanwei Zhao, Mu Lin, Yane Yang, Haijie Yang, Zhengqian Gao, Zijie Yan, Chunxin Liu, Shumeng Yu, Ying Zhang","doi":"10.1186/s12937-025-01127-3","DOIUrl":null,"url":null,"abstract":"<p><strong>Background: </strong>Dietary inflammation has been linked to various diseases. The dietary inflammatory index (DII) is a tool used to assess the inflammatory potential of a diet. The aim of this study was to explore the relationship between the DII and the risk of developing cardiovascular-kidney-metabolic syndrome (CKMS) in a U.S.</p><p><strong>Population: </strong></p><p><strong>Methods: </strong>Cross-sectional data from the National Health and Nutrition Examination Survey (NHANES) from 2001 to 2020, which included 24,071 participants, were analyzed. CKMS was defined as the coexistence of cardiometabolic syndrome (CMS) and chronic kidney disease (CKD). The DII was calculated on the basis of the anti-inflammatory and pro-inflammatory scores of foods and nutrients. Weighted multivariable logistic regression models were used to estimate the associations between the DII and the risk of developing CKMS. Restricted cubic spline (RCS) regression was conducted to test nonlinear relationships. Subgroup analyses were performed by sex, age, race, smoking status, and alcohol consumption status.</p><p><strong>Results: </strong>After adjusting for confounders, compared with those of the lowest quartile of the DII, the adjusted odds ratios (ORs) and 95% confidence intervals (CIs) for higher DII quartiles were 1.17 (0.93-1.47), 1.43 (1.13-1.81), and 1.76 (1.42-2.18), respectively. Each one-unit increase in the DII was associated with a 12% greater risk of developing CKMS (OR: 1.12, 95% CI: [1.08, 1.18]). RCS regression indicated a significant nonlinear positive association between the DII and the risk of developing CKMS.</p><p><strong>Conclusions: </strong>This study revealed a nonlinear positive association between the DII and the risk of developing CKMS in the U.S.</p><p><strong>Population: </strong>Further longitudinal studies are needed to establish causality and explore the underlying biological mechanisms involved.</p>","PeriodicalId":19203,"journal":{"name":"Nutrition Journal","volume":"24 1","pages":"60"},"PeriodicalIF":3.8000,"publicationDate":"2025-04-12","publicationTypes":"Journal Article","fieldsOfStudy":null,"isOpenAccess":false,"openAccessPdf":"https://www.ncbi.nlm.nih.gov/pmc/articles/PMC11992876/pdf/","citationCount":"0","resultStr":null,"platform":"Semanticscholar","paperid":null,"PeriodicalName":"Nutrition Journal","FirstCategoryId":"3","ListUrlMain":"https://doi.org/10.1186/s12937-025-01127-3","RegionNum":2,"RegionCategory":"医学","ArticlePicture":[],"TitleCN":null,"AbstractTextCN":null,"PMCID":null,"EPubDate":"","PubModel":"","JCR":"Q1","JCRName":"NUTRITION & DIETETICS","Score":null,"Total":0}
引用次数: 0

Abstract

Background: Dietary inflammation has been linked to various diseases. The dietary inflammatory index (DII) is a tool used to assess the inflammatory potential of a diet. The aim of this study was to explore the relationship between the DII and the risk of developing cardiovascular-kidney-metabolic syndrome (CKMS) in a U.S.

Population:

Methods: Cross-sectional data from the National Health and Nutrition Examination Survey (NHANES) from 2001 to 2020, which included 24,071 participants, were analyzed. CKMS was defined as the coexistence of cardiometabolic syndrome (CMS) and chronic kidney disease (CKD). The DII was calculated on the basis of the anti-inflammatory and pro-inflammatory scores of foods and nutrients. Weighted multivariable logistic regression models were used to estimate the associations between the DII and the risk of developing CKMS. Restricted cubic spline (RCS) regression was conducted to test nonlinear relationships. Subgroup analyses were performed by sex, age, race, smoking status, and alcohol consumption status.

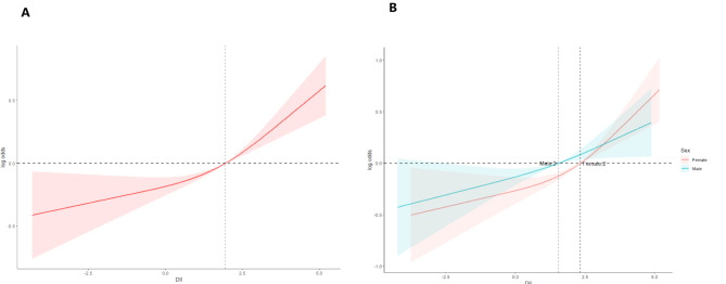
Results: After adjusting for confounders, compared with those of the lowest quartile of the DII, the adjusted odds ratios (ORs) and 95% confidence intervals (CIs) for higher DII quartiles were 1.17 (0.93-1.47), 1.43 (1.13-1.81), and 1.76 (1.42-2.18), respectively. Each one-unit increase in the DII was associated with a 12% greater risk of developing CKMS (OR: 1.12, 95% CI: [1.08, 1.18]). RCS regression indicated a significant nonlinear positive association between the DII and the risk of developing CKMS.

Conclusions: This study revealed a nonlinear positive association between the DII and the risk of developing CKMS in the U.S.

Population: Further longitudinal studies are needed to establish causality and explore the underlying biological mechanisms involved.

Abstract Image

Abstract Image

Abstract Image

饮食炎症指数与心血管-肾脏-代谢综合征风险之间的关系:一项横断面研究。
背景:饮食炎症与多种疾病有关。饮食炎症指数(DII)是一种用于评估饮食炎症潜力的工具。本研究的目的是探讨美国人群中DII与发生心血管-肾-代谢综合征(CKMS)风险之间的关系。方法:分析2001年至2020年国家健康和营养检查调查(NHANES)的横断面数据,其中包括24,071名参与者。CKMS被定义为心脏代谢综合征(CMS)和慢性肾脏疾病(CKD)共存。DII是根据食物和营养素的抗炎和促炎评分来计算的。使用加权多变量logistic回归模型来估计DII与发生CKMS风险之间的关系。采用限制三次样条(RCS)回归对非线性关系进行检验。亚组分析按性别、年龄、种族、吸烟状况和饮酒状况进行。结果:调整混杂因素后,与DII最低四分位数相比,高DII四分位数的校正优势比(ORs)和95%置信区间(CIs)分别为1.17(0.93-1.47)、1.43(1.13-1.81)和1.76(1.42-2.18)。DII每增加一个单位,发生CKMS的风险增加12% (OR: 1.12, 95% CI:[1.08, 1.18])。RCS回归显示DII与发生CKMS的风险之间存在显著的非线性正相关。结论:本研究揭示了美国人群中DII与CKMS发生风险之间的非线性正相关关系:需要进一步的纵向研究来确定因果关系并探索潜在的生物学机制。
本文章由计算机程序翻译,如有差异,请以英文原文为准。
求助全文
约1分钟内获得全文 求助全文
来源期刊
Nutrition Journal
Nutrition Journal NUTRITION & DIETETICS-
CiteScore
9.80
自引率
0.00%
发文量
68
审稿时长
4-8 weeks
期刊介绍: Nutrition Journal publishes surveillance, epidemiologic, and intervention research that sheds light on i) influences (e.g., familial, environmental) on eating patterns; ii) associations between eating patterns and health, and iii) strategies to improve eating patterns among populations. The journal also welcomes manuscripts reporting on the psychometric properties (e.g., validity, reliability) and feasibility of methods (e.g., for assessing dietary intake) for human nutrition research. In addition, study protocols for controlled trials and cohort studies, with an emphasis on methods for assessing dietary exposures and outcomes as well as intervention components, will be considered. Manuscripts that consider eating patterns holistically, as opposed to solely reductionist approaches that focus on specific dietary components in isolation, are encouraged. Also encouraged are papers that take a holistic or systems perspective in attempting to understand possible compensatory and differential effects of nutrition interventions. The journal does not consider animal studies. In addition to the influence of eating patterns for human health, we also invite research providing insights into the environmental sustainability of dietary practices. Again, a holistic perspective is encouraged, for example, through the consideration of how eating patterns might maximize both human and planetary health.
×
引用
GB/T 7714-2015
复制
MLA
复制
APA
复制
导出至
BibTeX EndNote RefMan NoteFirst NoteExpress
×
提示
您的信息不完整,为了账户安全,请先补充。
现在去补充
×
提示
您因"违规操作"
具体请查看互助需知
我知道了
×
提示
确定
请完成安全验证×
copy
已复制链接
快去分享给好友吧!
我知道了
右上角分享
点击右上角分享
0
联系我们:info@booksci.cn Book学术提供免费学术资源搜索服务,方便国内外学者检索中英文文献。致力于提供最便捷和优质的服务体验。 Copyright © 2023 布克学术 All rights reserved.
京ICP备2023020795号-1
ghs 京公网安备 11010802042870号
Book学术文献互助
Book学术文献互助群
群 号:604180095
Book学术官方微信