Meat and fish consumption, genetic risk and risk of severe metabolic-associated fatty liver disease: a prospective cohort of 487,875 individuals.

IF 3.8 2区 医学 Q1 NUTRITION & DIETETICS
Jianjin Wang, Jianshu Mo, Xuzhi Wan, Yilei Fan, Pan Zhuang
{"title":"Meat and fish consumption, genetic risk and risk of severe metabolic-associated fatty liver disease: a prospective cohort of 487,875 individuals.","authors":"Jianjin Wang, Jianshu Mo, Xuzhi Wan, Yilei Fan, Pan Zhuang","doi":"10.1186/s12937-025-01134-4","DOIUrl":null,"url":null,"abstract":"<p><strong>Background: </strong>Diet, specifically meat consumption, has been implicated as a modifiable risk factor in the development of metabolic-associated fatty liver disease (MAFLD). This study aimed to investigate the associations between various types of meat intake and the risk of severe MAFLD and to examine whether genetic risk influences these associations.</p><p><strong>Methods: </strong>This research utilized data from the UK Biobank, which initially enrolled over 500,000 participants between 2006 and 2010, of whom 487,875 were eligible for our analyses. Meat intake, including unprocessed red meat, processed meat, poultry, and fish, was evaluated through a validated touchscreen questionnaire. Cox proportional hazards models were used to analyze the relationship between meat consumption and severe MAFLD risk, adjusting for potential confounders. Genetic risk scores (GRS) were calculated using five MAFLD-associated SNPs, allowing for analyses of gene-diet interactions.</p><p><strong>Results: </strong>During a follow-up period totaling 6,036,554 person-years (mean duration: 12.1 years), 5,731 new cases of severe MAFLD were identified. High intakes of total meat, processed meat, unprocessed red meat and poultry were associated with increased MAFLD risk, with adjusted hazard ratios (HR) of 1.76 (95% CI: 1.33-2.33), 1.19 (1.02-1.40), 1.34 (1.17-1.53), and 1.21 (0.98-1.49), respectively, for the highest versus lowest intake categories. In contrast, oily fish intake showed a protective association (HR: 0.72; 95% CI: 0.53-0.97). No significant interaction was observed between meat intake and GRS for any meat subtype, suggesting that the associations were independent of genetic predisposition.</p><p><strong>Conclusions: </strong>High consumption of red and processed meat was associated with an increased risk of severe MAFLD, while oily fish intake showed an inverse association with the risk of MAFLD. These effects were consistent across genetic risk levels for MAFLD. Our findings reinforce dietary recommendations to limit red and processed meat and encourage oily fish intake for MAFLD prevention, irrespective of individual genetic risk.</p>","PeriodicalId":19203,"journal":{"name":"Nutrition Journal","volume":"24 1","pages":"65"},"PeriodicalIF":3.8000,"publicationDate":"2025-04-25","publicationTypes":"Journal Article","fieldsOfStudy":null,"isOpenAccess":false,"openAccessPdf":"https://www.ncbi.nlm.nih.gov/pmc/articles/PMC12023461/pdf/","citationCount":"0","resultStr":null,"platform":"Semanticscholar","paperid":null,"PeriodicalName":"Nutrition Journal","FirstCategoryId":"3","ListUrlMain":"https://doi.org/10.1186/s12937-025-01134-4","RegionNum":2,"RegionCategory":"医学","ArticlePicture":[],"TitleCN":null,"AbstractTextCN":null,"PMCID":null,"EPubDate":"","PubModel":"","JCR":"Q1","JCRName":"NUTRITION & DIETETICS","Score":null,"Total":0}
引用次数: 0

Abstract

Background: Diet, specifically meat consumption, has been implicated as a modifiable risk factor in the development of metabolic-associated fatty liver disease (MAFLD). This study aimed to investigate the associations between various types of meat intake and the risk of severe MAFLD and to examine whether genetic risk influences these associations.

Methods: This research utilized data from the UK Biobank, which initially enrolled over 500,000 participants between 2006 and 2010, of whom 487,875 were eligible for our analyses. Meat intake, including unprocessed red meat, processed meat, poultry, and fish, was evaluated through a validated touchscreen questionnaire. Cox proportional hazards models were used to analyze the relationship between meat consumption and severe MAFLD risk, adjusting for potential confounders. Genetic risk scores (GRS) were calculated using five MAFLD-associated SNPs, allowing for analyses of gene-diet interactions.

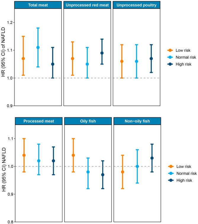
Results: During a follow-up period totaling 6,036,554 person-years (mean duration: 12.1 years), 5,731 new cases of severe MAFLD were identified. High intakes of total meat, processed meat, unprocessed red meat and poultry were associated with increased MAFLD risk, with adjusted hazard ratios (HR) of 1.76 (95% CI: 1.33-2.33), 1.19 (1.02-1.40), 1.34 (1.17-1.53), and 1.21 (0.98-1.49), respectively, for the highest versus lowest intake categories. In contrast, oily fish intake showed a protective association (HR: 0.72; 95% CI: 0.53-0.97). No significant interaction was observed between meat intake and GRS for any meat subtype, suggesting that the associations were independent of genetic predisposition.

Conclusions: High consumption of red and processed meat was associated with an increased risk of severe MAFLD, while oily fish intake showed an inverse association with the risk of MAFLD. These effects were consistent across genetic risk levels for MAFLD. Our findings reinforce dietary recommendations to limit red and processed meat and encourage oily fish intake for MAFLD prevention, irrespective of individual genetic risk.

Abstract Image

Abstract Image

肉类和鱼类消费、遗传风险和严重代谢相关脂肪性肝病风险:487,875人的前瞻性队列
背景:饮食,特别是肉类消费,已被认为是代谢性脂肪性肝病(MAFLD)发展的一个可改变的危险因素。本研究旨在调查不同类型的肉类摄入量与严重mald风险之间的关系,并检查遗传风险是否影响这些关系。方法:本研究利用了英国生物银行的数据,该数据最初在2006年至2010年期间招募了50多万参与者,其中487,875人符合我们的分析条件。肉类摄入量,包括未加工的红肉、加工肉类、家禽和鱼类,通过有效的触摸屏问卷进行评估。Cox比例风险模型用于分析肉类消费与严重mald风险之间的关系,并对潜在混杂因素进行调整。遗传风险评分(GRS)使用5个mafld相关snp计算,允许分析基因-饮食相互作用。结果:在总共6036554人年(平均持续时间:12.1年)的随访期间,发现了5731例新的严重MAFLD病例。总肉类、加工肉类、未加工红肉和家禽的高摄入量与mald风险增加相关,最高和最低摄入量类别的调整风险比(HR)分别为1.76 (95% CI: 1.33-2.33)、1.19(1.02-1.40)、1.34(1.17-1.53)和1.21(0.98-1.49)。相比之下,油性鱼类摄取量表现出保护性关联(HR: 0.72;95% ci: 0.53-0.97)。没有观察到肉类摄入量与任何肉类亚型的GRS之间存在显著的相互作用,这表明这种关联与遗传易感性无关。结论:大量食用红肉和加工肉类与严重MAFLD的风险增加有关,而摄入油性鱼类与MAFLD的风险呈负相关。这些影响在mald的遗传风险水平上是一致的。我们的研究结果加强了饮食建议,即限制红肉和加工肉,鼓励摄入油性鱼类,以预防mald,而不考虑个人遗传风险。
本文章由计算机程序翻译,如有差异,请以英文原文为准。
求助全文
约1分钟内获得全文 求助全文
来源期刊
Nutrition Journal
Nutrition Journal NUTRITION & DIETETICS-
CiteScore
9.80
自引率
0.00%
发文量
68
审稿时长
4-8 weeks
期刊介绍: Nutrition Journal publishes surveillance, epidemiologic, and intervention research that sheds light on i) influences (e.g., familial, environmental) on eating patterns; ii) associations between eating patterns and health, and iii) strategies to improve eating patterns among populations. The journal also welcomes manuscripts reporting on the psychometric properties (e.g., validity, reliability) and feasibility of methods (e.g., for assessing dietary intake) for human nutrition research. In addition, study protocols for controlled trials and cohort studies, with an emphasis on methods for assessing dietary exposures and outcomes as well as intervention components, will be considered. Manuscripts that consider eating patterns holistically, as opposed to solely reductionist approaches that focus on specific dietary components in isolation, are encouraged. Also encouraged are papers that take a holistic or systems perspective in attempting to understand possible compensatory and differential effects of nutrition interventions. The journal does not consider animal studies. In addition to the influence of eating patterns for human health, we also invite research providing insights into the environmental sustainability of dietary practices. Again, a holistic perspective is encouraged, for example, through the consideration of how eating patterns might maximize both human and planetary health.
×
引用
GB/T 7714-2015
复制
MLA
复制
APA
复制
导出至
BibTeX EndNote RefMan NoteFirst NoteExpress
×
提示
您的信息不完整,为了账户安全,请先补充。
现在去补充
×
提示
您因"违规操作"
具体请查看互助需知
我知道了
×
提示
确定
请完成安全验证×
copy
已复制链接
快去分享给好友吧!
我知道了
右上角分享
点击右上角分享
0
联系我们:info@booksci.cn Book学术提供免费学术资源搜索服务,方便国内外学者检索中英文文献。致力于提供最便捷和优质的服务体验。 Copyright © 2023 布克学术 All rights reserved.
京ICP备2023020795号-1
ghs 京公网安备 11010802042870号
Book学术文献互助
Book学术文献互助群
群 号:604180095
Book学术官方微信