Inflammation and Immune-Based Scores Predict Prognosis for Patients with Hepatocellular Carcinoma: A Pilot Single-Center Study.

IF 1.6 4区 医学 Q4 GASTROENTEROLOGY & HEPATOLOGY
Merve Guzel Dirim, Asli Cifcibasi Ormeci, Bilger Cavus, Arzu Poyanli, Kursat Rahmi Serin, Filiz Akyuz, Kadir Demir, Selman Fatih Besisik, Sabahattin Kaymakoglu
{"title":"Inflammation and Immune-Based Scores Predict Prognosis for Patients with Hepatocellular Carcinoma: A Pilot Single-Center Study.","authors":"Merve Guzel Dirim, Asli Cifcibasi Ormeci, Bilger Cavus, Arzu Poyanli, Kursat Rahmi Serin, Filiz Akyuz, Kadir Demir, Selman Fatih Besisik, Sabahattin Kaymakoglu","doi":"10.5152/tjg.2025.24407","DOIUrl":null,"url":null,"abstract":"<p><strong>Background/aims: </strong>Hepatocellular carcinoma (HCC) ranks as a major contributor to cancer-related deaths. Systemic inflammation plays a pivotal role in HCC development and progression. Thus, we aimed to determine the impact of inflammation- and immune-based scores in predicting the prognosis of HCC.</p><p><strong>Materials and methods: </strong>In this retrospective study, patients with HCC were enrolled between 2010 and 2020. The purpose of this retrospective study was to evaluate the impact of various biomarkers, including baseline alpha-fetoprotein (AFP) levels, C-reactive protein (CRP)-albumin-lymphocyte (CALLY) index, neutrophil-to-CRP (N/CRP) ratio, systemic immune-inflammation index (SII), albumin-bilirubin (ALBI) score, neutrophil-to-lymphocyte ratio (NLR), and aspartate aminotransferase (AST)-to-alanine aminotransferase (ALT) (AST/ALT) ratio (AAR), on survival, invasion of vascular tracts, metastasis, and treatment responses.</p><p><strong>Results: </strong>A total of 199 patients with complete (n = 44) and non-complete (n = 145) treatment response groups were enrolled in the study. All scores for the non-complete response group were statistically significant (P < .05). The areas under the curves for predicting a non-complete response group were 0.651, 0.649, 0.636, 0.625, 0.613, 0.609, and 0.600 for AFP, CALLY index, AAR, SII, N/CRP ratio, ALBI score, and NLR, respectively. These results are consistent with the assessment of mortality and HCC progression.</p><p><strong>Conclusion: </strong>Our results indicate that these biomarkers could serve as powerful prognostic tools for HCC.</p>","PeriodicalId":51205,"journal":{"name":"Turkish Journal of Gastroenterology","volume":"36 4","pages":"219-228"},"PeriodicalIF":1.6000,"publicationDate":"2025-01-06","publicationTypes":"Journal Article","fieldsOfStudy":null,"isOpenAccess":false,"openAccessPdf":"https://www.ncbi.nlm.nih.gov/pmc/articles/PMC12001462/pdf/","citationCount":"0","resultStr":null,"platform":"Semanticscholar","paperid":null,"PeriodicalName":"Turkish Journal of Gastroenterology","FirstCategoryId":"3","ListUrlMain":"https://doi.org/10.5152/tjg.2025.24407","RegionNum":4,"RegionCategory":"医学","ArticlePicture":[],"TitleCN":null,"AbstractTextCN":null,"PMCID":null,"EPubDate":"","PubModel":"","JCR":"Q4","JCRName":"GASTROENTEROLOGY & HEPATOLOGY","Score":null,"Total":0}
引用次数: 0

Abstract

Background/aims: Hepatocellular carcinoma (HCC) ranks as a major contributor to cancer-related deaths. Systemic inflammation plays a pivotal role in HCC development and progression. Thus, we aimed to determine the impact of inflammation- and immune-based scores in predicting the prognosis of HCC.

Materials and methods: In this retrospective study, patients with HCC were enrolled between 2010 and 2020. The purpose of this retrospective study was to evaluate the impact of various biomarkers, including baseline alpha-fetoprotein (AFP) levels, C-reactive protein (CRP)-albumin-lymphocyte (CALLY) index, neutrophil-to-CRP (N/CRP) ratio, systemic immune-inflammation index (SII), albumin-bilirubin (ALBI) score, neutrophil-to-lymphocyte ratio (NLR), and aspartate aminotransferase (AST)-to-alanine aminotransferase (ALT) (AST/ALT) ratio (AAR), on survival, invasion of vascular tracts, metastasis, and treatment responses.

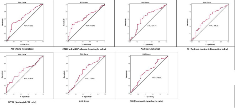
Results: A total of 199 patients with complete (n = 44) and non-complete (n = 145) treatment response groups were enrolled in the study. All scores for the non-complete response group were statistically significant (P < .05). The areas under the curves for predicting a non-complete response group were 0.651, 0.649, 0.636, 0.625, 0.613, 0.609, and 0.600 for AFP, CALLY index, AAR, SII, N/CRP ratio, ALBI score, and NLR, respectively. These results are consistent with the assessment of mortality and HCC progression.

Conclusion: Our results indicate that these biomarkers could serve as powerful prognostic tools for HCC.

Abstract Image

Abstract Image

基于炎症和免疫的评分预测肝细胞癌患者的预后:一项试点单中心研究。
背景/目的:肝细胞癌(HCC)是癌症相关死亡的主要原因。全身性炎症在HCC的发生发展中起关键作用。因此,我们的目的是确定炎症和免疫评分对预测HCC预后的影响。材料和方法:本回顾性研究纳入2010 - 2020年HCC患者。本回顾性研究的目的是评估各种生物标志物,包括基线甲胎蛋白(AFP)水平、c -反应蛋白(CRP)-白蛋白淋巴细胞(CALLY)指数、中性粒细胞-CRP (N/CRP)比率、全身免疫炎症指数(SII)、白蛋白-胆红素(ALBI)评分、中性粒细胞-淋巴细胞比率(NLR)、天冬氨酸转氨酶(AST)-丙氨酸转氨酶(ALT) (AST/ALT)比率(AAR)对生存、血管管侵袭、转移和预后的影响。以及治疗反应。结果:199例患者共分为完全缓解组(n = 44)和非完全缓解组(n = 145)纳入研究。非完全缓解组各评分均有统计学意义(P < 0.05)。AFP、CALLY指数、AAR、SII、N/CRP比值、ALBI评分和NLR预测非完全缓解组的曲线下面积分别为0.651、0.649、0.636、0.625、0.613、0.609和0.600。这些结果与死亡率和HCC进展的评估一致。结论:我们的研究结果表明,这些生物标志物可以作为HCC的有力预后工具。
本文章由计算机程序翻译,如有差异,请以英文原文为准。
求助全文
约1分钟内获得全文 求助全文
来源期刊
Turkish Journal of Gastroenterology
Turkish Journal of Gastroenterology 医学-胃肠肝病学
CiteScore
1.90
自引率
0.00%
发文量
127
审稿时长
6 months
期刊介绍: The Turkish Journal of Gastroenterology (Turk J Gastroenterol) is the double-blind peer-reviewed, open access, international publication organ of the Turkish Society of Gastroenterology. The journal is a bimonthly publication, published on January, March, May, July, September, November and its publication language is English. The Turkish Journal of Gastroenterology aims to publish international at the highest clinical and scientific level on original issues of gastroenterology and hepatology. The journal publishes original papers, review articles, case reports and letters to the editor on clinical and experimental gastroenterology and hepatology.
×
引用
GB/T 7714-2015
复制
MLA
复制
APA
复制
导出至
BibTeX EndNote RefMan NoteFirst NoteExpress
×
提示
您的信息不完整,为了账户安全,请先补充。
现在去补充
×
提示
您因"违规操作"
具体请查看互助需知
我知道了
×
提示
确定
请完成安全验证×
copy
已复制链接
快去分享给好友吧!
我知道了
右上角分享
点击右上角分享
0
联系我们:info@booksci.cn Book学术提供免费学术资源搜索服务,方便国内外学者检索中英文文献。致力于提供最便捷和优质的服务体验。 Copyright © 2023 布克学术 All rights reserved.
京ICP备2023020795号-1
ghs 京公网安备 11010802042870号
Book学术文献互助
Book学术文献互助群
群 号:604180095
Book学术官方微信