Influence of Mind Wandering and Increased Attentional Demands on Multitasking and Implicit Learning.

IF 2.1 Q2 PSYCHOLOGY, MULTIDISCIPLINARY
Europes Journal of Psychology Pub Date : 2025-02-28 eCollection Date: 2025-02-01 DOI:10.5964/ejop.14605
Cameron G Wittschen, Christopher A Was
{"title":"Influence of Mind Wandering and Increased Attentional Demands on Multitasking and Implicit Learning.","authors":"Cameron G Wittschen, Christopher A Was","doi":"10.5964/ejop.14605","DOIUrl":null,"url":null,"abstract":"<p><p>The goal of the current study was to replicate resent findings that suggest mind wandering is associated with impaired explicit learning but not implicit learning, and to extend those finding by investigating whether explicit learning is impaired under attentional load, but implicit learning is not. We used a sequential learning task, specifically a serial reaction task (SRT), to determine if mind wandering would interfere with learning a task that does not require attentional resources (implicit learning). Participants completed the serial reaction time task while watching a 13-minute video lecture. At the end of the video participants answered 10 multiple-choice questions regarding the content presented in the video. At specific intervals during the task, participants responded to mind wandering probes. The probes required participants to report where their attention was in the moments before the probe appeared. Implicit learning was measured by decreased reaction time over the course of several blocks of trials of the SRT. In two experiments, it was observed that participants implicitly learned a sequence of 12 items, regardless of their performance on the multiple-choice item regarding the concurrent video content. Even those who appeared to actively engage with the video and performed well on the multiple-choice questions showed improved performance on the implicit learning task (SRT). These results suggest implicit learning can occur when one is engaged in a concurrent explicit learning task.</p>","PeriodicalId":47113,"journal":{"name":"Europes Journal of Psychology","volume":"21 1","pages":"65-76"},"PeriodicalIF":2.1000,"publicationDate":"2025-02-28","publicationTypes":"Journal Article","fieldsOfStudy":null,"isOpenAccess":false,"openAccessPdf":"https://www.ncbi.nlm.nih.gov/pmc/articles/PMC11960560/pdf/","citationCount":"0","resultStr":null,"platform":"Semanticscholar","paperid":null,"PeriodicalName":"Europes Journal of Psychology","FirstCategoryId":"1085","ListUrlMain":"https://doi.org/10.5964/ejop.14605","RegionNum":0,"RegionCategory":null,"ArticlePicture":[],"TitleCN":null,"AbstractTextCN":null,"PMCID":null,"EPubDate":"2025/2/1 0:00:00","PubModel":"eCollection","JCR":"Q2","JCRName":"PSYCHOLOGY, MULTIDISCIPLINARY","Score":null,"Total":0}
引用次数: 0

Abstract

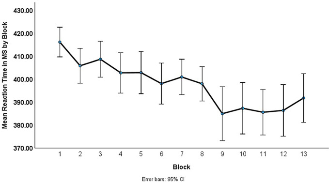
The goal of the current study was to replicate resent findings that suggest mind wandering is associated with impaired explicit learning but not implicit learning, and to extend those finding by investigating whether explicit learning is impaired under attentional load, but implicit learning is not. We used a sequential learning task, specifically a serial reaction task (SRT), to determine if mind wandering would interfere with learning a task that does not require attentional resources (implicit learning). Participants completed the serial reaction time task while watching a 13-minute video lecture. At the end of the video participants answered 10 multiple-choice questions regarding the content presented in the video. At specific intervals during the task, participants responded to mind wandering probes. The probes required participants to report where their attention was in the moments before the probe appeared. Implicit learning was measured by decreased reaction time over the course of several blocks of trials of the SRT. In two experiments, it was observed that participants implicitly learned a sequence of 12 items, regardless of their performance on the multiple-choice item regarding the concurrent video content. Even those who appeared to actively engage with the video and performed well on the multiple-choice questions showed improved performance on the implicit learning task (SRT). These results suggest implicit learning can occur when one is engaged in a concurrent explicit learning task.

Abstract Image

Abstract Image

Abstract Image

走神和注意力需求增加对多任务处理和内隐学习的影响。
当前研究的目的是重复最近的研究结果,即走神与外显学习受损有关,而与内隐学习无关,并通过调查外显学习是否在注意力负荷下受损,而内隐学习没有受损来扩展这些发现。我们使用连续学习任务,特别是连续反应任务(SRT)来确定走神是否会干扰学习不需要注意资源的任务(内隐学习)。参与者在观看一段13分钟的视频讲座的同时完成了一系列反应时间任务。在视频结束时,参与者回答了10个关于视频内容的选择题。在任务期间的特定时间间隔,参与者对走神探测做出反应。这些探针要求参与者报告在探针出现之前他们的注意力在哪里。内隐学习是通过在SRT的几组试验过程中减少反应时间来测量的。在两个实验中,我们观察到参与者内隐学习了一系列的12个项目,而不管他们在选择题上的表现如何。即使是那些积极参与视频并在多项选择题中表现良好的人,在内隐学习任务(SRT)中的表现也有所提高。这些结果表明,当一个人同时从事外显学习任务时,内隐学习可能发生。
本文章由计算机程序翻译,如有差异,请以英文原文为准。
求助全文
约1分钟内获得全文 求助全文
来源期刊
Europes Journal of Psychology
Europes Journal of Psychology PSYCHOLOGY, MULTIDISCIPLINARY-
CiteScore
3.90
自引率
0.00%
发文量
27
审稿时长
31 weeks
×
引用
GB/T 7714-2015
复制
MLA
复制
APA
复制
导出至
BibTeX EndNote RefMan NoteFirst NoteExpress
×
提示
您的信息不完整,为了账户安全,请先补充。
现在去补充
×
提示
您因"违规操作"
具体请查看互助需知
我知道了
×
提示
确定
请完成安全验证×
copy
已复制链接
快去分享给好友吧!
我知道了
右上角分享
点击右上角分享
0
联系我们:info@booksci.cn Book学术提供免费学术资源搜索服务,方便国内外学者检索中英文文献。致力于提供最便捷和优质的服务体验。 Copyright © 2023 布克学术 All rights reserved.
京ICP备2023020795号-1
ghs 京公网安备 11010802042870号
Book学术文献互助
Book学术文献互助群
群 号:604180095
Book学术官方微信