Emotion recognition in deaf individuals: evidence from event-related potentials.

IF 1.4 3区 教育学 Q2 EDUCATION, SPECIAL
Sun-Mee Kang, Lily S Apar, Richard Hurtado
{"title":"Emotion recognition in deaf individuals: evidence from event-related potentials.","authors":"Sun-Mee Kang, Lily S Apar, Richard Hurtado","doi":"10.1093/jdsade/enaf011","DOIUrl":null,"url":null,"abstract":"<p><p>Previous studies have found that deaf signers exhibited lower accuracy when recognizing emotional expressions from top-half faces compared to hearing non-signers. This suggests that the lack of emotional information from the oral region has a greater impact on deaf signers due to differences in their gaze patterns. The current study aimed to replicate and extend these findings by measuring recognition accuracy under varied facial conditions and analyzing late positive potential (LPP) amplitudes. Based on previous research, it was hypothesized that deaf signers would show reduced recognition accuracy and lower LPP amplitude compared to hearing non-signers in a top-half face condition. To test these hypotheses, 22 deaf signers and 37 hearing non-signers made emotion judgments of faces presented as intact wholes or isolated top or bottom halves, while event-related potentials were recorded. The results supported the main hypotheses, showing that the deaf signers exhibited lower recognition accuracy and reduced LPP amplitudes in the top-half face condition compared to hearing non-signers. These findings were discussed in terms of the challenges deaf signers faced during the COVID-19 pandemic, particularly in contexts where facial masks obscured the mouth.</p>","PeriodicalId":47768,"journal":{"name":"Journal of Deaf Studies and Deaf Education","volume":" ","pages":"324-331"},"PeriodicalIF":1.4000,"publicationDate":"2025-06-20","publicationTypes":"Journal Article","fieldsOfStudy":null,"isOpenAccess":false,"openAccessPdf":"https://www.ncbi.nlm.nih.gov/pmc/articles/PMC12191635/pdf/","citationCount":"0","resultStr":null,"platform":"Semanticscholar","paperid":null,"PeriodicalName":"Journal of Deaf Studies and Deaf Education","FirstCategoryId":"95","ListUrlMain":"https://doi.org/10.1093/jdsade/enaf011","RegionNum":3,"RegionCategory":"教育学","ArticlePicture":[],"TitleCN":null,"AbstractTextCN":null,"PMCID":null,"EPubDate":"","PubModel":"","JCR":"Q2","JCRName":"EDUCATION, SPECIAL","Score":null,"Total":0}
引用次数: 0

Abstract

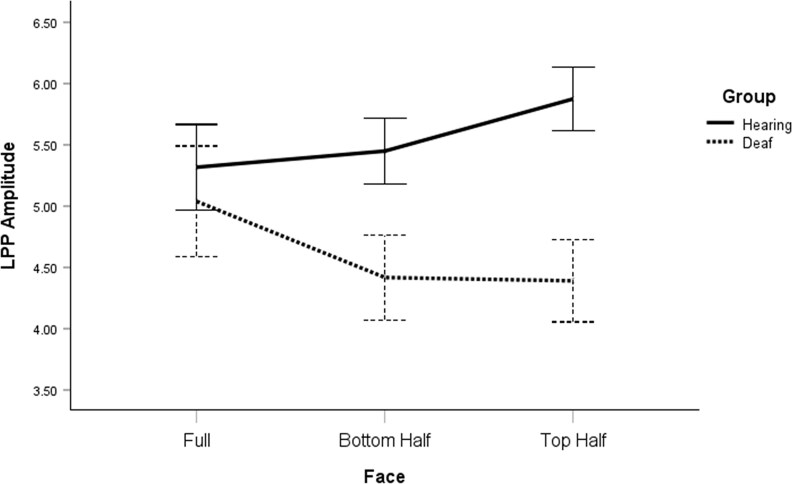
Previous studies have found that deaf signers exhibited lower accuracy when recognizing emotional expressions from top-half faces compared to hearing non-signers. This suggests that the lack of emotional information from the oral region has a greater impact on deaf signers due to differences in their gaze patterns. The current study aimed to replicate and extend these findings by measuring recognition accuracy under varied facial conditions and analyzing late positive potential (LPP) amplitudes. Based on previous research, it was hypothesized that deaf signers would show reduced recognition accuracy and lower LPP amplitude compared to hearing non-signers in a top-half face condition. To test these hypotheses, 22 deaf signers and 37 hearing non-signers made emotion judgments of faces presented as intact wholes or isolated top or bottom halves, while event-related potentials were recorded. The results supported the main hypotheses, showing that the deaf signers exhibited lower recognition accuracy and reduced LPP amplitudes in the top-half face condition compared to hearing non-signers. These findings were discussed in terms of the challenges deaf signers faced during the COVID-19 pandemic, particularly in contexts where facial masks obscured the mouth.

Abstract Image

Abstract Image

Abstract Image

聋人情绪识别:来自事件相关电位的证据。
先前的研究发现,与听力正常的非手语者相比,失聪的手语者在识别上半张脸的情绪表情时表现出较低的准确性。这表明,由于聋哑人凝视模式的差异,缺乏来自口腔区域的情感信息对他们的影响更大。目前的研究旨在通过测量不同面部条件下的识别准确性和分析晚期正电位(LPP)振幅来复制和扩展这些发现。基于先前的研究,我们假设在上半脸条件下,聋人手语识别的准确性和LPP振幅比听力正常的非手语识别的低。为了验证这些假设,22名失聪的手语者和37名听力正常的非手语者对完整的面部或孤立的上半部分或下半部分进行情绪判断,同时记录事件相关电位。结果支持了主要假设,表明与听力正常的非手语者相比,聋哑人在上半脸条件下表现出更低的识别准确率和更低的LPP振幅。这些发现是根据聋哑人在COVID-19大流行期间面临的挑战进行讨论的,特别是在口罩遮挡口腔的情况下。
本文章由计算机程序翻译,如有差异,请以英文原文为准。
求助全文
约1分钟内获得全文 求助全文
来源期刊
CiteScore
3.40
自引率
10.00%
发文量
40
期刊介绍: The Journal of Deaf Studies and Deaf Education is a peer-reviewed scholarly journal integrating and coordinating basic and applied research relating to individuals who are deaf, including cultural, developmental, linguistic, and educational topics. JDSDE addresses issues of current and future concern to allied fields, encouraging interdisciplinary discussion. The journal promises a forum that is timely, of high quality, and accessible to researchers, educators, and lay audiences. Instructions for contributors appear at the back of each issue.
×
引用
GB/T 7714-2015
复制
MLA
复制
APA
复制
导出至
BibTeX EndNote RefMan NoteFirst NoteExpress
×
提示
您的信息不完整,为了账户安全,请先补充。
现在去补充
×
提示
您因"违规操作"
具体请查看互助需知
我知道了
×
提示
确定
请完成安全验证×
copy
已复制链接
快去分享给好友吧!
我知道了
右上角分享
点击右上角分享
0
联系我们:info@booksci.cn Book学术提供免费学术资源搜索服务,方便国内外学者检索中英文文献。致力于提供最便捷和优质的服务体验。 Copyright © 2023 布克学术 All rights reserved.
京ICP备2023020795号-1
ghs 京公网安备 11010802042870号
Book学术文献互助
Book学术文献互助群
群 号:604180095
Book学术官方微信