The feasibility of a multi-site, clinic-supported, and tailored neuro-oncology exercise program.

IF 2.5 Q2 CLINICAL NEUROLOGY
Neuro-oncology practice Pub Date : 2024-10-10 eCollection Date: 2025-02-01 DOI:10.1093/nop/npae093
Julia T Daun, Lauren C Capozzi, Tana Dhruva, Gloria Roldan Urgoiti, Meghan H McDonough, Emma McLaughlin, Mannat Bansal, Allan Brett, Jacob C Easaw, Margaret L McNeely, George J Francis, Tanya Williamson, Jessica Danyluk, Paula A Ospina, Christine Lesiuk, Paula de Robles, Catriona Leckie, S Nicole Culos-Reed
{"title":"The feasibility of a multi-site, clinic-supported, and tailored neuro-oncology exercise program.","authors":"Julia T Daun, Lauren C Capozzi, Tana Dhruva, Gloria Roldan Urgoiti, Meghan H McDonough, Emma McLaughlin, Mannat Bansal, Allan Brett, Jacob C Easaw, Margaret L McNeely, George J Francis, Tanya Williamson, Jessica Danyluk, Paula A Ospina, Christine Lesiuk, Paula de Robles, Catriona Leckie, S Nicole Culos-Reed","doi":"10.1093/nop/npae093","DOIUrl":null,"url":null,"abstract":"<p><strong>Background: </strong>To address the lack of access to supportive cancer care resources, the purpose of this study was to examine the feasibility of a tailored exercise program for neuro-oncology patients.</p><p><strong>Methods: </strong>Patients with a primary brain tumor diagnosis, >18 years, and able to consent in English were recruited at 2 tertiary cancer centers in Alberta. Recruitment occurred via the electronic medical record as well as self-referral. A 12-week, tailored exercise intervention with health coaching was delivered in both one-on-one and group-based formats, either in-person or online. Measures of feasibility included tracking referral, enrollment, intervention completion and adherence, measurement completion, fidelity, participant satisfaction, and safety. Participant-reported outcomes and functional fitness were assessed at baseline and 12 weeks. Objective physical activity was tracked via a Garmin activity tracker.</p><p><strong>Results: </strong>Recruitment occurred between April 2021-December 2022. <i>N</i> = 70 patients enrolled in the study and <i>n</i> = 51 completed the intervention. The referral rate was 31%, the enrollment rate was 66%, and intervention completion and adherence rates were 82.3% and 89.7%. At baseline and 12 weeks, measurement completion rates were 100% and 77.4% for patient-reported outcomes, and 98.4% and 75.8% for functional fitness. The average wear-time for the activity tracker was 72.8%. Fidelity of intervention delivery was 100% for exercise sessions and 87.8% for health coaching. Overall participant satisfaction was 86.5%. No major and 4 minor adverse events occurred.</p><p><strong>Conclusions: </strong>Delivery of a tailored neuro-oncology exercise program with referral included via the electronic medical record is feasible. Future work is needed to optimize tailored programming as well as to address factors critical for implementation into standard cancer care.</p><p><strong>Clinical trials registration: </strong>NCT04831190 (https://clinicaltrials.gov/ct2/show/NCT04831190).</p>","PeriodicalId":19234,"journal":{"name":"Neuro-oncology practice","volume":"12 1","pages":"131-142"},"PeriodicalIF":2.5000,"publicationDate":"2024-10-10","publicationTypes":"Journal Article","fieldsOfStudy":null,"isOpenAccess":false,"openAccessPdf":"https://www.ncbi.nlm.nih.gov/pmc/articles/PMC11798609/pdf/","citationCount":"0","resultStr":null,"platform":"Semanticscholar","paperid":null,"PeriodicalName":"Neuro-oncology practice","FirstCategoryId":"1085","ListUrlMain":"https://doi.org/10.1093/nop/npae093","RegionNum":0,"RegionCategory":null,"ArticlePicture":[],"TitleCN":null,"AbstractTextCN":null,"PMCID":null,"EPubDate":"2025/2/1 0:00:00","PubModel":"eCollection","JCR":"Q2","JCRName":"CLINICAL NEUROLOGY","Score":null,"Total":0}
引用次数: 0

Abstract

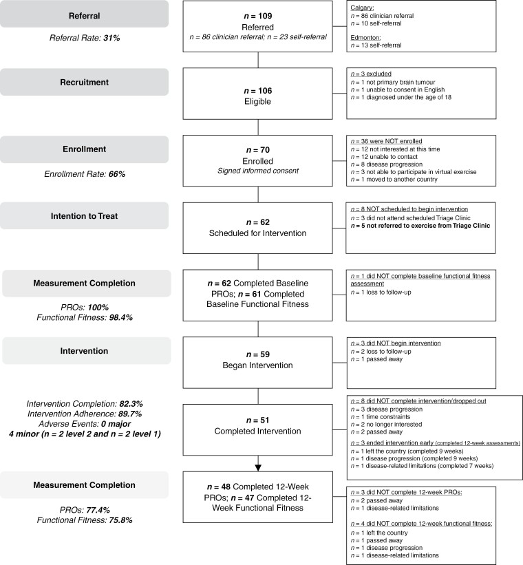
Background: To address the lack of access to supportive cancer care resources, the purpose of this study was to examine the feasibility of a tailored exercise program for neuro-oncology patients.

Methods: Patients with a primary brain tumor diagnosis, >18 years, and able to consent in English were recruited at 2 tertiary cancer centers in Alberta. Recruitment occurred via the electronic medical record as well as self-referral. A 12-week, tailored exercise intervention with health coaching was delivered in both one-on-one and group-based formats, either in-person or online. Measures of feasibility included tracking referral, enrollment, intervention completion and adherence, measurement completion, fidelity, participant satisfaction, and safety. Participant-reported outcomes and functional fitness were assessed at baseline and 12 weeks. Objective physical activity was tracked via a Garmin activity tracker.

Results: Recruitment occurred between April 2021-December 2022. N = 70 patients enrolled in the study and n = 51 completed the intervention. The referral rate was 31%, the enrollment rate was 66%, and intervention completion and adherence rates were 82.3% and 89.7%. At baseline and 12 weeks, measurement completion rates were 100% and 77.4% for patient-reported outcomes, and 98.4% and 75.8% for functional fitness. The average wear-time for the activity tracker was 72.8%. Fidelity of intervention delivery was 100% for exercise sessions and 87.8% for health coaching. Overall participant satisfaction was 86.5%. No major and 4 minor adverse events occurred.

Conclusions: Delivery of a tailored neuro-oncology exercise program with referral included via the electronic medical record is feasible. Future work is needed to optimize tailored programming as well as to address factors critical for implementation into standard cancer care.

Clinical trials registration: NCT04831190 (https://clinicaltrials.gov/ct2/show/NCT04831190).

Abstract Image

Abstract Image

Abstract Image

多地点、临床支持和量身定制的神经肿瘤学锻炼计划的可行性。
背景:为了解决缺乏支持性癌症护理资源的问题,本研究的目的是研究为神经肿瘤患者量身定制锻炼计划的可行性。方法:在阿尔伯塔省的2个三级癌症中心招募原发性脑肿瘤患者,年龄在18岁左右,能用英语表示同意。通过电子病历和自我转诊进行招聘。一项为期12周的量身定制的运动干预和健康指导以一对一和小组为基础的形式进行,既可以面对面,也可以在线进行。可行性测量包括跟踪转诊、入组、干预完成和依从性、测量完成、保真度、参与者满意度和安全性。参与者报告的结果和功能适应度在基线和12周时进行评估。通过Garmin活动追踪器追踪客观的身体活动。结果:招募时间为2021年4月至2022年12月。N = 70例患者入组研究,N = 51例患者完成干预。转诊率为31%,入组率为66%,干预完成率和依从率分别为82.3%和89.7%。在基线和12周时,患者报告结果的测量完成率分别为100%和77.4%,功能适应度的测量完成率分别为98.4%和75.8%。运动追踪器的平均佩戴时间为72.8%。运动训练的干预交付保真度为100%,健康指导的干预交付保真度为87.8%。总体参与者满意度为86.5%。无重大不良事件发生,4例轻微不良事件发生。结论:通过电子病历转诊,提供量身定制的神经肿瘤学锻炼计划是可行的。未来的工作需要优化量身定制的程序,以及解决实施标准癌症治疗的关键因素。临床试验注册:NCT04831190 (https://clinicaltrials.gov/ct2/show/NCT04831190)。
本文章由计算机程序翻译,如有差异,请以英文原文为准。
求助全文
约1分钟内获得全文 求助全文
来源期刊
Neuro-oncology practice
Neuro-oncology practice CLINICAL NEUROLOGY-
CiteScore
5.30
自引率
11.10%
发文量
92
期刊介绍: Neuro-Oncology Practice focuses on the clinical aspects of the subspecialty for practicing clinicians and healthcare specialists from a variety of disciplines including physicians, nurses, physical/occupational therapists, neuropsychologists, and palliative care specialists, who have focused their careers on clinical patient care and who want to apply the latest treatment advances to their practice. These include: Applying new trial results to improve standards of patient care Translating scientific advances such as tumor molecular profiling and advanced imaging into clinical treatment decision making and personalized brain tumor therapies Raising awareness of basic, translational and clinical research in areas of symptom management, survivorship, neurocognitive function, end of life issues and caregiving
×
引用
GB/T 7714-2015
复制
MLA
复制
APA
复制
导出至
BibTeX EndNote RefMan NoteFirst NoteExpress
×
提示
您的信息不完整,为了账户安全,请先补充。
现在去补充
×
提示
您因"违规操作"
具体请查看互助需知
我知道了
×
提示
确定
请完成安全验证×
copy
已复制链接
快去分享给好友吧!
我知道了
右上角分享
点击右上角分享
0
联系我们:info@booksci.cn Book学术提供免费学术资源搜索服务,方便国内外学者检索中英文文献。致力于提供最便捷和优质的服务体验。 Copyright © 2023 布克学术 All rights reserved.
京ICP备2023020795号-1
ghs 京公网安备 11010802042870号
Book学术文献互助
Book学术文献互助群
群 号:604180095
Book学术官方微信