Investigating the Prevalence of Neurological Soft Signs in Children with Autism Spectrum Disorder and their Siblings: A Cross-Sectional Study.

IF 0.9 Q4 CLINICAL NEUROLOGY
Iranian Journal of Child Neurology Pub Date : 2025-01-01 Epub Date: 2025-01-07 DOI:10.22037/ijcn.v19i1.44589
Katayoon Razjouyan, Abbas Babazadeh Dezfoly, Rozita Davari Ashtiani, Mojgan Khademi, Fariba Arabgol, Mohammad Javad Nasiri, Nahid Piri, Mohammad Ali Miri
{"title":"Investigating the Prevalence of Neurological Soft Signs in Children with Autism Spectrum Disorder and their Siblings: A Cross-Sectional Study.","authors":"Katayoon Razjouyan, Abbas Babazadeh Dezfoly, Rozita Davari Ashtiani, Mojgan Khademi, Fariba Arabgol, Mohammad Javad Nasiri, Nahid Piri, Mohammad Ali Miri","doi":"10.22037/ijcn.v19i1.44589","DOIUrl":null,"url":null,"abstract":"<p><strong>Objectives: </strong>Autism is determined by children's inability to communicate with others through language. More studies have shown that neurological soft signs (NSS) can be one of the symptoms of psychiatric disorders, including schizophrenia. However, complete and proven evidence regarding the role of NSS in the pathogenesis of autism has not been determined. For this purpose, this research investigated the prevalence of NSS in children with autism spectrum and their siblings and compared it with the control group.</p><p><strong>Materials & methods: </strong>The current study was cross-sectional. In this study, thirty-two children aged 7-17 who had been referred to the pediatric psychiatry clinics of Imam Hossein Hospital and the Autism Charitable Association in Tehran, Iran, were entered; they were diagnosed with an autism disorder by a child and adolescent psychiatrist based on the DSM-5 diagnostic criteria. Furthermore, thirty-two siblings of children with autism in the age group of 7-17 years who did not have any neurological and mental disorders were included; thirty-two healthy individuals (controls) who did not have any disorders were evaluated with the K-SADS checklist. Gilliam Autism Rating Scale 3rd Edition (GARS-3) was also used to confirm the diagnosis and severity of the disease.</p><p><strong>Results: </strong>The results showed that the incidence of NSS in the patient group was higher than in the other two groups, which was statistically significant (p<0.05). Furthermore, the results indicated that these signs had a high diagnostic value in identifying patients from healthy people.</p><p><strong>Conclusion: </strong>In general, using the NSS score in patients with autism can be considered a prediction factor compared to their siblings. In addition, the score had no effect on the prediction between sibling and control subjects.</p>","PeriodicalId":14537,"journal":{"name":"Iranian Journal of Child Neurology","volume":"19 1","pages":"25-35"},"PeriodicalIF":0.9000,"publicationDate":"2025-01-01","publicationTypes":"Journal Article","fieldsOfStudy":null,"isOpenAccess":false,"openAccessPdf":"https://www.ncbi.nlm.nih.gov/pmc/articles/PMC11781334/pdf/","citationCount":"0","resultStr":null,"platform":"Semanticscholar","paperid":null,"PeriodicalName":"Iranian Journal of Child Neurology","FirstCategoryId":"1085","ListUrlMain":"https://doi.org/10.22037/ijcn.v19i1.44589","RegionNum":0,"RegionCategory":null,"ArticlePicture":[],"TitleCN":null,"AbstractTextCN":null,"PMCID":null,"EPubDate":"2025/1/7 0:00:00","PubModel":"Epub","JCR":"Q4","JCRName":"CLINICAL NEUROLOGY","Score":null,"Total":0}
引用次数: 0

Abstract

Objectives: Autism is determined by children's inability to communicate with others through language. More studies have shown that neurological soft signs (NSS) can be one of the symptoms of psychiatric disorders, including schizophrenia. However, complete and proven evidence regarding the role of NSS in the pathogenesis of autism has not been determined. For this purpose, this research investigated the prevalence of NSS in children with autism spectrum and their siblings and compared it with the control group.

Materials & methods: The current study was cross-sectional. In this study, thirty-two children aged 7-17 who had been referred to the pediatric psychiatry clinics of Imam Hossein Hospital and the Autism Charitable Association in Tehran, Iran, were entered; they were diagnosed with an autism disorder by a child and adolescent psychiatrist based on the DSM-5 diagnostic criteria. Furthermore, thirty-two siblings of children with autism in the age group of 7-17 years who did not have any neurological and mental disorders were included; thirty-two healthy individuals (controls) who did not have any disorders were evaluated with the K-SADS checklist. Gilliam Autism Rating Scale 3rd Edition (GARS-3) was also used to confirm the diagnosis and severity of the disease.

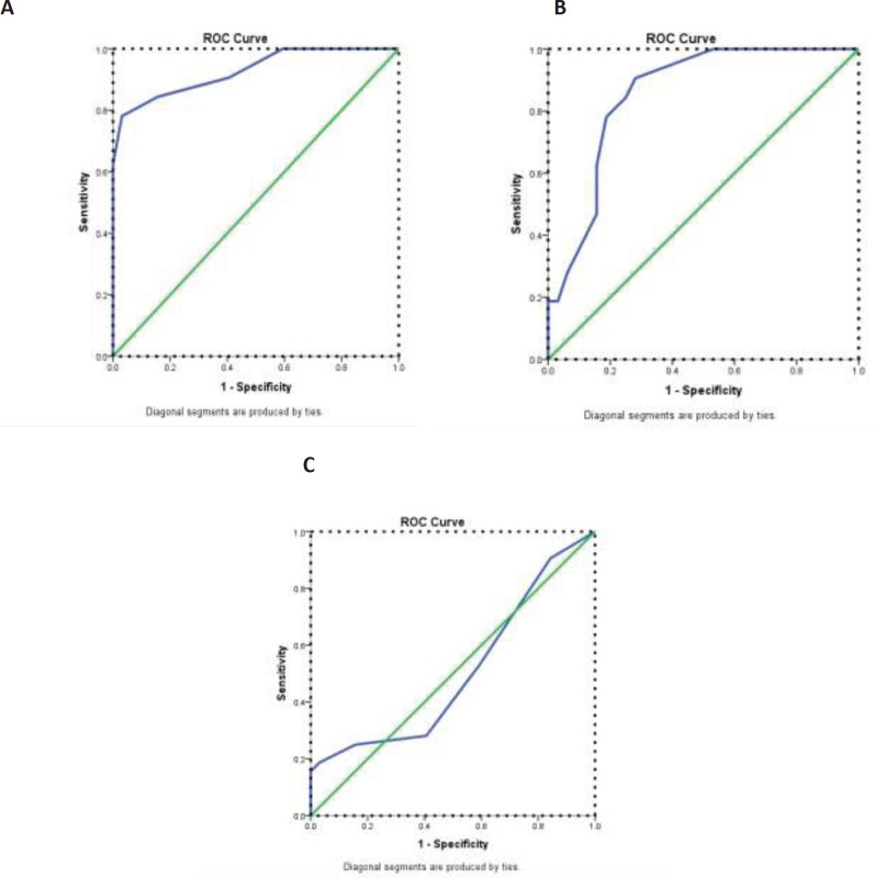
Results: The results showed that the incidence of NSS in the patient group was higher than in the other two groups, which was statistically significant (p<0.05). Furthermore, the results indicated that these signs had a high diagnostic value in identifying patients from healthy people.

Conclusion: In general, using the NSS score in patients with autism can be considered a prediction factor compared to their siblings. In addition, the score had no effect on the prediction between sibling and control subjects.

Abstract Image

Abstract Image

调查自闭症谱系障碍儿童及其兄弟姐妹中神经系统软症状的患病率:一项横断面研究。
目的:自闭症是由儿童无法通过语言与他人交流确定的。更多的研究表明,神经软症状(NSS)可能是精神疾病的症状之一,包括精神分裂症。然而,关于NSS在自闭症发病机制中的作用的完整和可靠的证据尚未确定。为此,本研究调查了自闭症谱系儿童及其兄弟姐妹中NSS的患病率,并与对照组进行了比较。材料与方法:本研究为横断面研究。在这项研究中,32名7-17岁的儿童被转介到伊朗德黑兰伊玛目侯赛因医院和自闭症慈善协会的儿科精神病学诊所;他们被儿童和青少年精神病学家根据DSM-5诊断标准诊断为自闭症。此外,研究还包括32名年龄在7-17岁的自闭症儿童的兄弟姐妹,他们没有任何神经和精神障碍;使用K-SADS检查表对32名无任何疾病的健康个体(对照组)进行评估。Gilliam自闭症评定量表第三版(GARS-3)也被用来确认疾病的诊断和严重程度。结果:患者组NSS发生率高于其他两组,差异有统计学意义(p)结论:总的来说,自闭症患者与其兄弟姐妹相比,使用NSS评分可以考虑作为预测因素。此外,该分数对兄弟姐妹和对照组之间的预测没有影响。
本文章由计算机程序翻译,如有差异,请以英文原文为准。
求助全文
约1分钟内获得全文 求助全文
来源期刊
CiteScore
1.40
自引率
0.00%
发文量
35
×
引用
GB/T 7714-2015
复制
MLA
复制
APA
复制
导出至
BibTeX EndNote RefMan NoteFirst NoteExpress
×
提示
您的信息不完整,为了账户安全,请先补充。
现在去补充
×
提示
您因"违规操作"
具体请查看互助需知
我知道了
×
提示
确定
请完成安全验证×
copy
已复制链接
快去分享给好友吧!
我知道了
右上角分享
点击右上角分享
0
联系我们:info@booksci.cn Book学术提供免费学术资源搜索服务,方便国内外学者检索中英文文献。致力于提供最便捷和优质的服务体验。 Copyright © 2023 布克学术 All rights reserved.
京ICP备2023020795号-1
ghs 京公网安备 11010802042870号
Book学术文献互助
Book学术文献互助群
群 号:604180095
Book学术官方微信