Impacts of hippotherapy simulation on balance, postural control, and spasticity of thigh adductor muscles in children with spastic bilateral Cerebral Palsy: A single-blind clinical trial study.

IF 0.9 Q4 CLINICAL NEUROLOGY
Kiana Ramezani, Minoo Kalantari, Marzieh Pashmdarfard, Alireza Akbarzadeh Baghba, Ghodrat Khavari
{"title":"Impacts of hippotherapy simulation on balance, postural control, and spasticity of thigh adductor muscles in children with spastic bilateral Cerebral Palsy: A single-blind clinical trial study.","authors":"Kiana Ramezani, Minoo Kalantari, Marzieh Pashmdarfard, Alireza Akbarzadeh Baghba, Ghodrat Khavari","doi":"10.22037/ijcn.v19i1.46567","DOIUrl":null,"url":null,"abstract":"<p><strong>Objectives: </strong>Cerebral Palsy (CP) is a group of movement disorders. A recently proposed occupational therapy approach to reduce spasticity and improve balance and postural control is Hippotherapy Simulation (HS). The present study attempts to investigate how HS impacts balance, postural control, and spasticity of adductor muscles in children with spastic bilateral CP.</p><p><strong>Materials & methods: </strong>Thirty-one children with bilateral spastic CP, five to nine years old, were selected via availability sampling and divided into the intervention group (n=16) and the control (n=15) through stratified block randomization. Assessment tools, including Pediatric Balance Scale (PBS), Trunk Control Measurement Scale (TCMS), Modified Ashworth Scale (MAS), Gross Motor Function Measure (GMFM), Pediatric Evaluation of Disability Inventory (PEDI), and goniometry, were completed by an assessor unaware of the children's grouping.</p><p><strong>Results: </strong>After the intervention, the average total scores of all variables in the HS group significantly exceeded those in the control group (P<0.01). However, no significant differences were observed between the groups at follow-up, underlining the necessity of providing long-term or recurrent interventions to maintain improvements in gross motor function. This approach also constructively influenced postural control and mitigated the spasticity of adductor thigh muscles.</p><p><strong>Conclusion: </strong>This study showed the multimodal effect of simulated hippotherapy combined with occupational therapy routine exercises on the physical performance of children with bilateral spastic CP.</p>","PeriodicalId":14537,"journal":{"name":"Iranian Journal of Child Neurology","volume":"19 1","pages":"79-96"},"PeriodicalIF":0.9000,"publicationDate":"2025-01-01","publicationTypes":"Journal Article","fieldsOfStudy":null,"isOpenAccess":false,"openAccessPdf":"https://www.ncbi.nlm.nih.gov/pmc/articles/PMC11781343/pdf/","citationCount":"0","resultStr":null,"platform":"Semanticscholar","paperid":null,"PeriodicalName":"Iranian Journal of Child Neurology","FirstCategoryId":"1085","ListUrlMain":"https://doi.org/10.22037/ijcn.v19i1.46567","RegionNum":0,"RegionCategory":null,"ArticlePicture":[],"TitleCN":null,"AbstractTextCN":null,"PMCID":null,"EPubDate":"","PubModel":"","JCR":"Q4","JCRName":"CLINICAL NEUROLOGY","Score":null,"Total":0}
引用次数: 0

Abstract

Objectives: Cerebral Palsy (CP) is a group of movement disorders. A recently proposed occupational therapy approach to reduce spasticity and improve balance and postural control is Hippotherapy Simulation (HS). The present study attempts to investigate how HS impacts balance, postural control, and spasticity of adductor muscles in children with spastic bilateral CP.

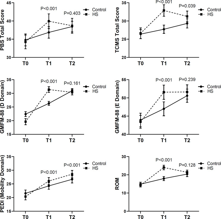
Materials & methods: Thirty-one children with bilateral spastic CP, five to nine years old, were selected via availability sampling and divided into the intervention group (n=16) and the control (n=15) through stratified block randomization. Assessment tools, including Pediatric Balance Scale (PBS), Trunk Control Measurement Scale (TCMS), Modified Ashworth Scale (MAS), Gross Motor Function Measure (GMFM), Pediatric Evaluation of Disability Inventory (PEDI), and goniometry, were completed by an assessor unaware of the children's grouping.

Results: After the intervention, the average total scores of all variables in the HS group significantly exceeded those in the control group (P<0.01). However, no significant differences were observed between the groups at follow-up, underlining the necessity of providing long-term or recurrent interventions to maintain improvements in gross motor function. This approach also constructively influenced postural control and mitigated the spasticity of adductor thigh muscles.

Conclusion: This study showed the multimodal effect of simulated hippotherapy combined with occupational therapy routine exercises on the physical performance of children with bilateral spastic CP.

Abstract Image

Abstract Image

Abstract Image

海马疗法模拟对痉挛型双侧脑瘫患儿平衡、体位控制和大腿内收肌痉挛的影响:一项单盲临床试验研究
目的:脑瘫(CP)是一组运动障碍。最近提出的一种减轻痉挛、改善平衡和姿势控制的职业治疗方法是Hippotherapy Simulation (HS)。本研究旨在探讨HS对痉挛性双侧CP患儿平衡、姿势控制和内收肌痉挛的影响。材料与方法:采用可得性抽样方法,选取5 ~ 9岁的双侧痉挛性CP患儿31例,采用分层块随机法分为干预组(n=16)和对照组(n=15)。评估工具包括儿童平衡量表(PBS)、躯干控制量表(TCMS)、改良Ashworth量表(MAS)、大运动功能量表(GMFM)、儿童残疾评估量表(PEDI)和角形测量法,由不知道儿童分组的评估员完成。结果:干预后,HS组各变量平均总分均显著高于对照组(p)。结论:本研究显示模拟海马疗法联合职业治疗常规练习对双侧痉挛性脑瘫患儿体能表现的多模态影响。
本文章由计算机程序翻译,如有差异,请以英文原文为准。
求助全文
约1分钟内获得全文 求助全文
来源期刊
CiteScore
1.40
自引率
0.00%
发文量
35
×
引用
GB/T 7714-2015
复制
MLA
复制
APA
复制
导出至
BibTeX EndNote RefMan NoteFirst NoteExpress
×
提示
您的信息不完整,为了账户安全,请先补充。
现在去补充
×
提示
您因"违规操作"
具体请查看互助需知
我知道了
×
提示
确定
请完成安全验证×
copy
已复制链接
快去分享给好友吧!
我知道了
右上角分享
点击右上角分享
0
联系我们:info@booksci.cn Book学术提供免费学术资源搜索服务,方便国内外学者检索中英文文献。致力于提供最便捷和优质的服务体验。 Copyright © 2023 布克学术 All rights reserved.
京ICP备2023020795号-1
ghs 京公网安备 11010802042870号
Book学术文献互助
Book学术文献互助群
群 号:604180095
Book学术官方微信