HER2 Status in Gastric and Gastroesophageal Carcinomas: Evaluation of Histopathological Fingings, Paired ResectionBiopsy Specimens, and the Effect of Neoadjuvant Therapy: A Single Center Study.

IF 1.6 4区 医学 Q4 GASTROENTEROLOGY & HEPATOLOGY
Resmiye Irmak Yuzuguldu, Ozgul Sagol, Mehtat Unlu, Merve Keskinkilic, Serhan Derici, Hale Akpinar, Sulen Sarioglu
{"title":"HER2 Status in Gastric and Gastroesophageal Carcinomas: Evaluation of Histopathological Fingings, Paired ResectionBiopsy Specimens, and the Effect of Neoadjuvant Therapy: A Single Center Study.","authors":"Resmiye Irmak Yuzuguldu, Ozgul Sagol, Mehtat Unlu, Merve Keskinkilic, Serhan Derici, Hale Akpinar, Sulen Sarioglu","doi":"10.5152/tjg.2025.24488","DOIUrl":null,"url":null,"abstract":"<p><strong>Background/aims: </strong>Accurately determining the human epidermal growth factor receptor 2 (HER2) status is crucial in identifying suitable candidates for targeted therapy in gastric cancer, considering the cost and potential side effects of anti-HER2 treatments. This study aimed to assess HER2 overexpression/amplification prevalence in gastric and gastroesophageal cancer patients, its correlation with clinicopathological characteristics, and the consistency of HER2 status between biopsy and radical specimens.</p><p><strong>Materials and methods: </strong>We analyzed data from 667 specimens of 600 gastric/gastroesophageal cancer patients at Dokuz Eylül University Faculty of Medicine from 2012 to 2021. The correlation of HER2 expression and amplification status and clinicopathological parameters were assessed. Furthermore, we compared HER2 status concordance between paired biopsy-radical specimens when both endoscopic and radical materials were present. Additionally, we compared HER2 status before and after treatment in patients receiving neoadjuvant chemotherapy.</p><p><strong>Results: </strong>In our study, +3 HER2 immunohistochemistry results were more common in gastroesophageal junction tumors (23%). Human epidermal growth factor receptor 2 immunohistochemistry positivity and HER2 gene amplification were found to be significantly more common in males, people over 65 years of age, and intestinal morphology. Overall concordance of HER2 status between radical and biopsy materials was 95.5%.</p><p><strong>Conclusion: </strong>The high HER2 concordance between the paired biopsy and radical samples holds significant importance in clinical management. This finding is particularly noteworthy since the HER2 assessment can generally be conducted on small/limited biopsy materials in routine practice. Our study is the most extensive series from Türkiye and the Balkans, which will shed light on our country's data by investigating the relationship of HER2 with clinicopathological parameters in gastric/gastroesophageal carcinomas.</p>","PeriodicalId":51205,"journal":{"name":"Turkish Journal of Gastroenterology","volume":" ","pages":"357-370"},"PeriodicalIF":1.6000,"publicationDate":"2025-01-13","publicationTypes":"Journal Article","fieldsOfStudy":null,"isOpenAccess":false,"openAccessPdf":"https://www.ncbi.nlm.nih.gov/pmc/articles/PMC12147396/pdf/","citationCount":"0","resultStr":null,"platform":"Semanticscholar","paperid":null,"PeriodicalName":"Turkish Journal of Gastroenterology","FirstCategoryId":"3","ListUrlMain":"https://doi.org/10.5152/tjg.2025.24488","RegionNum":4,"RegionCategory":"医学","ArticlePicture":[],"TitleCN":null,"AbstractTextCN":null,"PMCID":null,"EPubDate":"","PubModel":"","JCR":"Q4","JCRName":"GASTROENTEROLOGY & HEPATOLOGY","Score":null,"Total":0}
引用次数: 0

Abstract

Background/aims: Accurately determining the human epidermal growth factor receptor 2 (HER2) status is crucial in identifying suitable candidates for targeted therapy in gastric cancer, considering the cost and potential side effects of anti-HER2 treatments. This study aimed to assess HER2 overexpression/amplification prevalence in gastric and gastroesophageal cancer patients, its correlation with clinicopathological characteristics, and the consistency of HER2 status between biopsy and radical specimens.

Materials and methods: We analyzed data from 667 specimens of 600 gastric/gastroesophageal cancer patients at Dokuz Eylül University Faculty of Medicine from 2012 to 2021. The correlation of HER2 expression and amplification status and clinicopathological parameters were assessed. Furthermore, we compared HER2 status concordance between paired biopsy-radical specimens when both endoscopic and radical materials were present. Additionally, we compared HER2 status before and after treatment in patients receiving neoadjuvant chemotherapy.

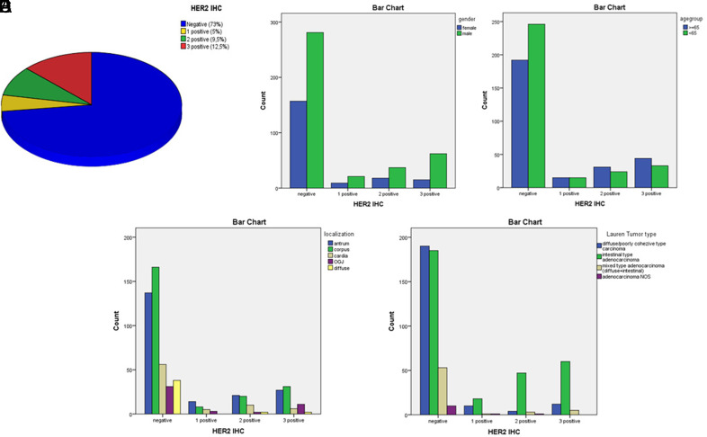
Results: In our study, +3 HER2 immunohistochemistry results were more common in gastroesophageal junction tumors (23%). Human epidermal growth factor receptor 2 immunohistochemistry positivity and HER2 gene amplification were found to be significantly more common in males, people over 65 years of age, and intestinal morphology. Overall concordance of HER2 status between radical and biopsy materials was 95.5%.

Conclusion: The high HER2 concordance between the paired biopsy and radical samples holds significant importance in clinical management. This finding is particularly noteworthy since the HER2 assessment can generally be conducted on small/limited biopsy materials in routine practice. Our study is the most extensive series from Türkiye and the Balkans, which will shed light on our country's data by investigating the relationship of HER2 with clinicopathological parameters in gastric/gastroesophageal carcinomas.

Abstract Image

Abstract Image

Abstract Image

HER2在胃癌和胃食管癌中的地位:组织病理学指征、配对切除活检标本的评估和新辅助治疗的效果:一项单中心研究。
背景/目的:考虑到抗HER2治疗的成本和潜在副作用,准确测定人表皮生长因子受体2 (HER2)状态对于确定胃癌靶向治疗的合适候选药物至关重要。本研究旨在评估HER2过表达/扩增在胃癌和胃食管癌患者中的患病率、与临床病理特征的相关性,以及活检和根治标本中HER2状态的一致性。材料和方法:我们分析了2012年至2021年Dokuz eyyl大学医学院600例胃/胃食管癌患者667例标本的数据。评估HER2表达及扩增情况与临床病理参数的相关性。此外,我们比较了内镜和根治材料同时存在时成对活检根治标本之间的HER2状态一致性。此外,我们比较了接受新辅助化疗患者治疗前后的HER2状态。结果:在我们的研究中,+3 HER2免疫组化结果在胃食管交界处肿瘤中更为常见(23%)。人类表皮生长因子受体2免疫组化阳性和HER2基因扩增在男性、65岁以上人群和肠道形态中更为常见。HER2状态在根治和活检材料之间的总体一致性为95.5%。结论:配对活检标本与根治性标本HER2高一致性对临床治疗具有重要意义。这一发现特别值得注意,因为在常规实践中,HER2评估通常可以在小/有限的活检材料上进行。我们的研究是来自 rkiye和巴尔干半岛最广泛的系列研究,将通过调查胃/胃食管癌中HER2与临床病理参数的关系来阐明我国的数据。
本文章由计算机程序翻译,如有差异,请以英文原文为准。
求助全文
约1分钟内获得全文 求助全文
来源期刊
Turkish Journal of Gastroenterology
Turkish Journal of Gastroenterology 医学-胃肠肝病学
CiteScore
1.90
自引率
0.00%
发文量
127
审稿时长
6 months
期刊介绍: The Turkish Journal of Gastroenterology (Turk J Gastroenterol) is the double-blind peer-reviewed, open access, international publication organ of the Turkish Society of Gastroenterology. The journal is a bimonthly publication, published on January, March, May, July, September, November and its publication language is English. The Turkish Journal of Gastroenterology aims to publish international at the highest clinical and scientific level on original issues of gastroenterology and hepatology. The journal publishes original papers, review articles, case reports and letters to the editor on clinical and experimental gastroenterology and hepatology.
×
引用
GB/T 7714-2015
复制
MLA
复制
APA
复制
导出至
BibTeX EndNote RefMan NoteFirst NoteExpress
×
提示
您的信息不完整,为了账户安全,请先补充。
现在去补充
×
提示
您因"违规操作"
具体请查看互助需知
我知道了
×
提示
确定
请完成安全验证×
copy
已复制链接
快去分享给好友吧!
我知道了
右上角分享
点击右上角分享
0
联系我们:info@booksci.cn Book学术提供免费学术资源搜索服务,方便国内外学者检索中英文文献。致力于提供最便捷和优质的服务体验。 Copyright © 2023 布克学术 All rights reserved.
京ICP备2023020795号-1
ghs 京公网安备 11010802042870号
Book学术文献互助
Book学术文献互助群
群 号:604180095
Book学术官方微信