Faster implicit motor sequence learning of new sequences compatible in terms of movement transitions.

IF 3 1区 心理学 Q1 EDUCATION & EDUCATIONAL RESEARCH
Susanne Dyck, Christian Klaes
{"title":"Faster implicit motor sequence learning of new sequences compatible in terms of movement transitions.","authors":"Susanne Dyck, Christian Klaes","doi":"10.1038/s41539-025-00296-4","DOIUrl":null,"url":null,"abstract":"<p><p>New information that is compatible with pre-existing knowledge can be learned faster. Such schema memory effect has been reported in declarative memory and in explicit motor sequence learning (MSL). Here, we investigated if sequences of key presses that were compatible to previously trained ones, could be learned faster in an implicit MSL task. Participants trained a motor sequence before switching to a completely new sequence, to a compatible sequence with high overlap in ordinal positions, or to an incompatible sequence with low overlap, while the compatible and incompatible sequences had the same overlap in movement transitions. We observed accelerated learning in the Compatible and Incompatible groups compared to the New group, if participants trained for 3 sessions before switching to the altered sequence. Overall, our study suggests facilitative learning of implicit motor sequences that are compatible in movement transitions, if the previous sequence has been trained extensively.</p>","PeriodicalId":48503,"journal":{"name":"npj Science of Learning","volume":"10 1","pages":"3"},"PeriodicalIF":3.0000,"publicationDate":"2025-01-16","publicationTypes":"Journal Article","fieldsOfStudy":null,"isOpenAccess":false,"openAccessPdf":"https://www.ncbi.nlm.nih.gov/pmc/articles/PMC11739496/pdf/","citationCount":"0","resultStr":null,"platform":"Semanticscholar","paperid":null,"PeriodicalName":"npj Science of Learning","FirstCategoryId":"102","ListUrlMain":"https://doi.org/10.1038/s41539-025-00296-4","RegionNum":1,"RegionCategory":"心理学","ArticlePicture":[],"TitleCN":null,"AbstractTextCN":null,"PMCID":null,"EPubDate":"","PubModel":"","JCR":"Q1","JCRName":"EDUCATION & EDUCATIONAL RESEARCH","Score":null,"Total":0}
引用次数: 0

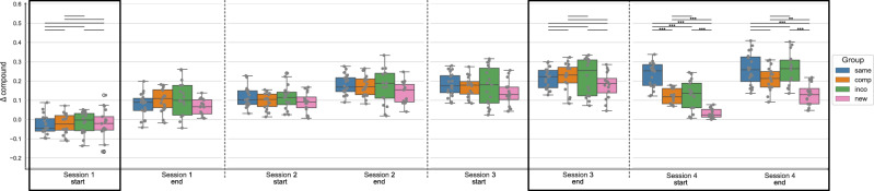
Abstract

New information that is compatible with pre-existing knowledge can be learned faster. Such schema memory effect has been reported in declarative memory and in explicit motor sequence learning (MSL). Here, we investigated if sequences of key presses that were compatible to previously trained ones, could be learned faster in an implicit MSL task. Participants trained a motor sequence before switching to a completely new sequence, to a compatible sequence with high overlap in ordinal positions, or to an incompatible sequence with low overlap, while the compatible and incompatible sequences had the same overlap in movement transitions. We observed accelerated learning in the Compatible and Incompatible groups compared to the New group, if participants trained for 3 sessions before switching to the altered sequence. Overall, our study suggests facilitative learning of implicit motor sequences that are compatible in movement transitions, if the previous sequence has been trained extensively.

Abstract Image

Abstract Image

Abstract Image

更快的内隐运动序列学习新序列在运动转换方面兼容。
与已有知识兼容的新信息可以更快地学习。图式记忆效应在陈述性记忆和外显动作序列学习(MSL)中均有报道。在这里,我们研究了与先前训练的按键序列兼容的按键序列是否可以在隐式MSL任务中更快地学习。被试先训练一个动作序列,然后切换到一个全新的动作序列、顺序位置高重叠的相容序列、低重叠的不相容序列,而相容序列和不相容序列在动作转换中有相同的重叠。我们观察到兼容组和不兼容组的学习速度比新组更快,如果参与者在切换到改变的序列之前训练了3次。总的来说,我们的研究表明,如果先前的动作序列得到了广泛的训练,那么内隐动作序列在运动转换中是兼容的,可以促进学习。
本文章由计算机程序翻译,如有差异,请以英文原文为准。
求助全文
约1分钟内获得全文 求助全文
来源期刊
CiteScore
5.40
自引率
7.10%
发文量
29
×
引用
GB/T 7714-2015
复制
MLA
复制
APA
复制
导出至
BibTeX EndNote RefMan NoteFirst NoteExpress
×
提示
您的信息不完整,为了账户安全,请先补充。
现在去补充
×
提示
您因"违规操作"
具体请查看互助需知
我知道了
×
提示
确定
请完成安全验证×
copy
已复制链接
快去分享给好友吧!
我知道了
右上角分享
点击右上角分享
0
联系我们:info@booksci.cn Book学术提供免费学术资源搜索服务,方便国内外学者检索中英文文献。致力于提供最便捷和优质的服务体验。 Copyright © 2023 布克学术 All rights reserved.
京ICP备2023020795号-1
ghs 京公网安备 11010802042870号
Book学术文献互助
Book学术文献互助群
群 号:604180095
Book学术官方微信