A new method to evaluate staircase phenomenon in skeletal muscle using piezoelectric sensor

IF 2 Q3 NEUROSCIENCES
Bungo Hirose , Tomihiro Imai , Kazuna Ikeda , Emiko Tsuda , Rika Yamauchi , Tatsuya Abe , Shin Hisahara
{"title":"A new method to evaluate staircase phenomenon in skeletal muscle using piezoelectric sensor","authors":"Bungo Hirose ,&nbsp;Tomihiro Imai ,&nbsp;Kazuna Ikeda ,&nbsp;Emiko Tsuda ,&nbsp;Rika Yamauchi ,&nbsp;Tatsuya Abe ,&nbsp;Shin Hisahara","doi":"10.1016/j.cnp.2024.12.002","DOIUrl":null,"url":null,"abstract":"<div><h3>Objective</h3><div>The staircase phenomenon, which refers to the increases in the force of contraction with repetitive stimulation of the muscle, has been studied for many years, but the method is difficult and not widely used. Our objective was to evaluate the staircase phenomenon in skeletal muscle using a piezoelectric sensor.</div></div><div><h3>Methods</h3><div>Thirty-five subjects without neuromuscular diseases (normal controls), 11 patients with Becker muscular dystrophy (BMD), and 19 patients with myotonic dystrophy type 1 (MyD) were studied. Compound muscle action potential (CMAP) and movement-related potential (MRP) waveforms were recorded using piezoelectric sensors during repetitive stimulation of the median nerve, and the amplitudes and durations were measured. Excitation-contraction (E-C) coupling time (ECCT) was calculated from the difference between onset latencies of CMAP and MRP.</div></div><div><h3>Results</h3><div>In normal controls, MRP amplitude ratio (relative to baseline) increased significantly with increase in stimulation duration and with increase in stimulation frequency. In BMD and MyD, however, MRP amplitude ratio did not change significantly with increase in stimulation duration. Especially, in MyD, there was no change in MRP amplitude ratio with increase in frequency.</div></div><div><h3>Conclusion</h3><div>Staircase phenomenon abnormalities can be evaluated easily using piezoelectric sensors, indicating their potential utility for evaluating E-C coupling impairment in myopathies.</div></div><div><h3>Significance</h3><div>Piezoelectric sensors may be a useful tool to evaluate staircase phenomenon in skeletal muscle.</div></div>","PeriodicalId":45697,"journal":{"name":"Clinical Neurophysiology Practice","volume":"10 ","pages":"Pages 1-9"},"PeriodicalIF":2.0000,"publicationDate":"2025-01-01","publicationTypes":"Journal Article","fieldsOfStudy":null,"isOpenAccess":false,"openAccessPdf":"https://www.ncbi.nlm.nih.gov/pmc/articles/PMC11730597/pdf/","citationCount":"0","resultStr":null,"platform":"Semanticscholar","paperid":null,"PeriodicalName":"Clinical Neurophysiology Practice","FirstCategoryId":"1085","ListUrlMain":"https://www.sciencedirect.com/science/article/pii/S2467981X24000337","RegionNum":0,"RegionCategory":null,"ArticlePicture":[],"TitleCN":null,"AbstractTextCN":null,"PMCID":null,"EPubDate":"","PubModel":"","JCR":"Q3","JCRName":"NEUROSCIENCES","Score":null,"Total":0}
引用次数: 0

Abstract

Objective

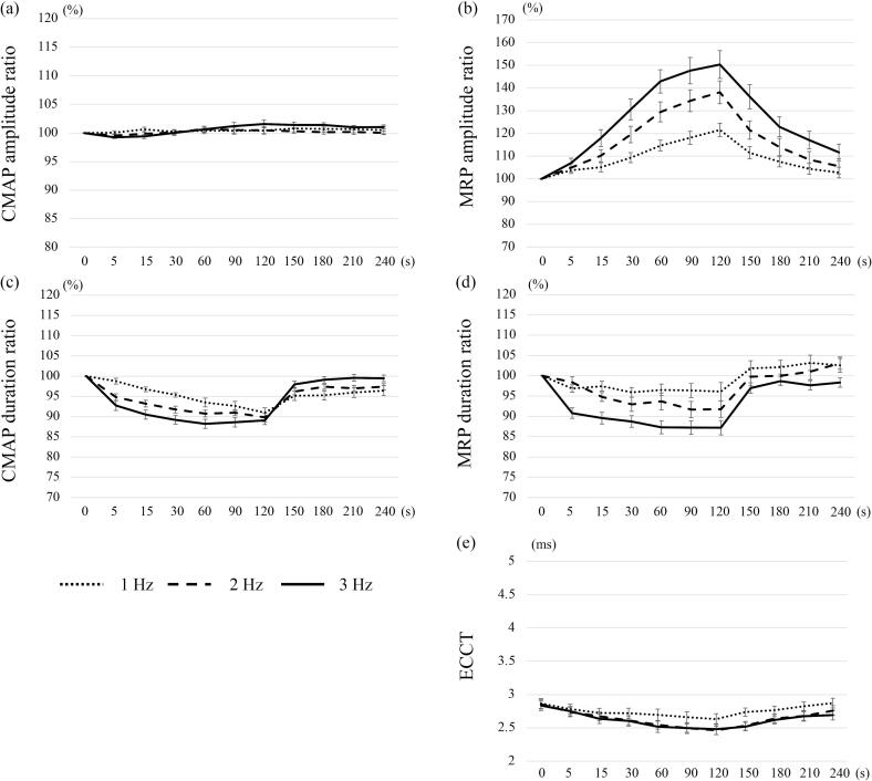
The staircase phenomenon, which refers to the increases in the force of contraction with repetitive stimulation of the muscle, has been studied for many years, but the method is difficult and not widely used. Our objective was to evaluate the staircase phenomenon in skeletal muscle using a piezoelectric sensor.

Methods

Thirty-five subjects without neuromuscular diseases (normal controls), 11 patients with Becker muscular dystrophy (BMD), and 19 patients with myotonic dystrophy type 1 (MyD) were studied. Compound muscle action potential (CMAP) and movement-related potential (MRP) waveforms were recorded using piezoelectric sensors during repetitive stimulation of the median nerve, and the amplitudes and durations were measured. Excitation-contraction (E-C) coupling time (ECCT) was calculated from the difference between onset latencies of CMAP and MRP.

Results

In normal controls, MRP amplitude ratio (relative to baseline) increased significantly with increase in stimulation duration and with increase in stimulation frequency. In BMD and MyD, however, MRP amplitude ratio did not change significantly with increase in stimulation duration. Especially, in MyD, there was no change in MRP amplitude ratio with increase in frequency.

Conclusion

Staircase phenomenon abnormalities can be evaluated easily using piezoelectric sensors, indicating their potential utility for evaluating E-C coupling impairment in myopathies.

Significance

Piezoelectric sensors may be a useful tool to evaluate staircase phenomenon in skeletal muscle.

Abstract Image

Abstract Image

Abstract Image

一种利用压电传感器评价骨骼肌阶梯现象的新方法。
目的:楼梯现象是指随着肌肉的反复刺激收缩力的增加,这一现象已被研究多年,但方法难度大,应用不广泛。我们的目的是利用压电传感器来评估骨骼肌的阶梯现象。方法:选取35例无神经肌肉疾病(正常对照)、11例贝克肌营养不良症(BMD)和19例1型肌强直性营养不良症(MyD)患者作为研究对象。利用压电传感器记录正中神经重复刺激过程中复合肌肉动作电位(CMAP)和运动相关电位(MRP)波形,并测量其振幅和持续时间。根据CMAP和MRP发作潜伏期的差值计算兴奋-收缩耦合时间(ECCT)。结果:在正常对照中,MRP振幅比(相对于基线)随刺激持续时间的增加和刺激频率的增加而显著增加。然而,在BMD和MyD中,MRP振幅比随刺激时间的增加没有显著变化。特别是在MyD中,MRP振幅比没有随频率的增加而变化。结论:利用压电传感器可以很容易地评估楼梯现象异常,表明其在评估肌病E-C偶联损伤方面的潜在用途。意义:压电传感器可作为评估骨骼肌阶梯现象的有效工具。
本文章由计算机程序翻译,如有差异,请以英文原文为准。
求助全文
约1分钟内获得全文 求助全文
来源期刊
CiteScore
3.90
自引率
0.00%
发文量
47
审稿时长
71 days
期刊介绍: Clinical Neurophysiology Practice (CNP) is a new Open Access journal that focuses on clinical practice issues in clinical neurophysiology including relevant new research, case reports or clinical series, normal values and didactic reviews. It is an official journal of the International Federation of Clinical Neurophysiology and complements Clinical Neurophysiology which focuses on innovative research in the specialty. It has a role in supporting established clinical practice, and an educational role for trainees, technicians and practitioners.
×
引用
GB/T 7714-2015
复制
MLA
复制
APA
复制
导出至
BibTeX EndNote RefMan NoteFirst NoteExpress
×
提示
您的信息不完整,为了账户安全,请先补充。
现在去补充
×
提示
您因"违规操作"
具体请查看互助需知
我知道了
×
提示
确定
请完成安全验证×
copy
已复制链接
快去分享给好友吧!
我知道了
右上角分享
点击右上角分享
0
联系我们:info@booksci.cn Book学术提供免费学术资源搜索服务,方便国内外学者检索中英文文献。致力于提供最便捷和优质的服务体验。 Copyright © 2023 布克学术 All rights reserved.
京ICP备2023020795号-1
ghs 京公网安备 11010802042870号
Book学术文献互助
Book学术文献互助群
群 号:604180095
Book学术官方微信