The Importance of Self-Selection and Childcare Leave Length for Child Penalty.

IF 2.6 2区 社会学 Q2 DEMOGRAPHY
Eva Österbacka, Tapio Räsänen
{"title":"The Importance of Self-Selection and Childcare Leave Length for Child Penalty.","authors":"Eva Österbacka, Tapio Räsänen","doi":"10.1007/s10680-024-09726-2","DOIUrl":null,"url":null,"abstract":"<p><p>Childbirth has consequences for mothers' labour market outcomes which in turn has consequences for gender differences in pay. In the Finnish context, earnings-related parental leave can be extended with home care allowance which enables mothers to choose their childcare leave length with varying benefit levels. We empirically test the importance of choice of childcare leave length for the subsequent child penalty. We apply Finnish register data with information on the length of childcare leave at the individual and workplace levels. By using workplace comparisons, we can account for some of the endogeneity in choices of workplace, parity, and childcare leave length. By instrumenting the leave length with varying home care allowance levels, we categorise always-takers, never-takers, and compliers. We find that the child penalty is heterogeneous and highly related to the choice of leave length. Always-takers use longer leaves than the workplace average and are penalised, while never-takers use shorter leaves than the workplace average and experience only a mild child penalty. Compliers adjust their leave lengths to the allowance level and experience child penalties in between. These results support that self-selection of childcare leave length has implications for post-birth outcomes and in addition, that family policy can affect the child penalty and the gender gap in pay.</p>","PeriodicalId":51496,"journal":{"name":"European Journal of Population-Revue Europeenne De Demographie","volume":"41 1","pages":"3"},"PeriodicalIF":2.6000,"publicationDate":"2025-01-15","publicationTypes":"Journal Article","fieldsOfStudy":null,"isOpenAccess":false,"openAccessPdf":"https://www.ncbi.nlm.nih.gov/pmc/articles/PMC11735715/pdf/","citationCount":"0","resultStr":null,"platform":"Semanticscholar","paperid":null,"PeriodicalName":"European Journal of Population-Revue Europeenne De Demographie","FirstCategoryId":"90","ListUrlMain":"https://doi.org/10.1007/s10680-024-09726-2","RegionNum":2,"RegionCategory":"社会学","ArticlePicture":[],"TitleCN":null,"AbstractTextCN":null,"PMCID":null,"EPubDate":"","PubModel":"","JCR":"Q2","JCRName":"DEMOGRAPHY","Score":null,"Total":0}
引用次数: 0

Abstract

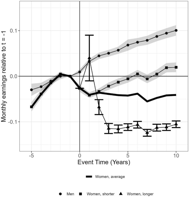
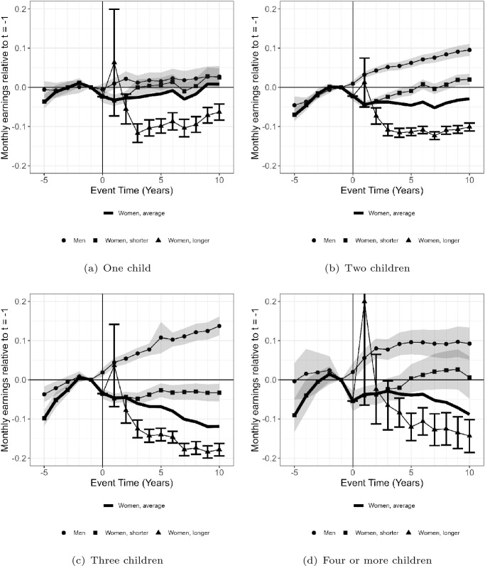
Childbirth has consequences for mothers' labour market outcomes which in turn has consequences for gender differences in pay. In the Finnish context, earnings-related parental leave can be extended with home care allowance which enables mothers to choose their childcare leave length with varying benefit levels. We empirically test the importance of choice of childcare leave length for the subsequent child penalty. We apply Finnish register data with information on the length of childcare leave at the individual and workplace levels. By using workplace comparisons, we can account for some of the endogeneity in choices of workplace, parity, and childcare leave length. By instrumenting the leave length with varying home care allowance levels, we categorise always-takers, never-takers, and compliers. We find that the child penalty is heterogeneous and highly related to the choice of leave length. Always-takers use longer leaves than the workplace average and are penalised, while never-takers use shorter leaves than the workplace average and experience only a mild child penalty. Compliers adjust their leave lengths to the allowance level and experience child penalties in between. These results support that self-selection of childcare leave length has implications for post-birth outcomes and in addition, that family policy can affect the child penalty and the gender gap in pay.

Abstract Image

Abstract Image

Abstract Image

自我选择和育儿假长度对儿童处罚的重要性。
生育对母亲的劳动力市场结果有影响,而劳动力市场结果反过来又会对薪酬方面的性别差异产生影响。在芬兰,与收入相关的育儿假可以通过家庭护理津贴来延长,这使得母亲们可以选择不同福利水平的育儿假长度。我们通过实证方法检验了选择育儿假时间长短对后续子女惩罚的重要性。我们采用了芬兰的登记数据,其中包含个人和工作场所层面的育儿假时间信息。通过工作场所比较,我们可以解释工作场所、平价和育儿假长度选择中的部分内生性。通过用不同的家庭护理津贴水平来衡量育儿假的长短,我们对总是休育儿假者、从不休育儿假者和遵守规定者进行了分类。我们发现,子女惩罚是异质的,与假期长短的选择高度相关。总是请假者的假期长于工作场所的平均水平,会受到惩罚,而从不请假者的假期短于工作场所的平均水平,只会受到轻微的子女惩罚。遵守规定者会根据津贴水平调整休假时间,在两者之间会受到子女惩罚。这些结果证明,育儿假长短的自我选择会对生育后的结果产生影响,此外,家庭政策也会影响子女惩罚和两性薪酬差距。
本文章由计算机程序翻译,如有差异,请以英文原文为准。
求助全文
约1分钟内获得全文 求助全文
来源期刊
CiteScore
4.20
自引率
8.00%
发文量
44
期刊介绍: European Journal of Population addresses a broad public of researchers, policy makers and others concerned with population processes and their consequences. Its aim is to improve understanding of population phenomena by giving priority to work that contributes to the development of theory and method, and that spans the boundaries between demography and such disciplines as sociology, anthropology, economics, geography, history, political science, epidemiology and other sciences contributing to public health. The Journal is open to authors from all over the world, and its articles cover European and non-European countries (specifically including developing countries) alike.
×
引用
GB/T 7714-2015
复制
MLA
复制
APA
复制
导出至
BibTeX EndNote RefMan NoteFirst NoteExpress
×
提示
您的信息不完整,为了账户安全,请先补充。
现在去补充
×
提示
您因"违规操作"
具体请查看互助需知
我知道了
×
提示
确定
请完成安全验证×
copy
已复制链接
快去分享给好友吧!
我知道了
右上角分享
点击右上角分享
0
联系我们:info@booksci.cn Book学术提供免费学术资源搜索服务,方便国内外学者检索中英文文献。致力于提供最便捷和优质的服务体验。 Copyright © 2023 布克学术 All rights reserved.
京ICP备2023020795号-1
ghs 京公网安备 11010802042870号
Book学术文献互助
Book学术文献互助群
群 号:604180095
Book学术官方微信